Ответ на вопрос по физике №953526: 3.27. Видимую часть спектра излучения атома водорода описывает формула... 1) 2) 3) 4) 3.27. Видимую часть спектра излучения атома водорода - Ответ на вопрос по физике №9535263.27. Видимую часть спектра излучения атома водорода - Ответ на вопрос по физике №953526
2025-08-292025-08-29СтудИзба
3.27. Видимую часть спектра излучения атома водорода - Ответ на вопрос по физике №953526
Вопрос
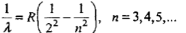
3.27. Видимую часть спектра излучения атома водорода описывает формула...- 1)
![]()
- 2)
![]()
- 3)
![]()
- 4)
![]()
Ответ
Этот вопрос в коллекциях

🎓Помощь студентам Ивановских ВУЗов🎓 ❤️ Каждая приобретенная работа служит стимулом для добавления новых материалов и упрощает учебный процесс.






















