Ответы к тесту/контрольной: Задачи ко 2 контрольной работе по физике
Описание
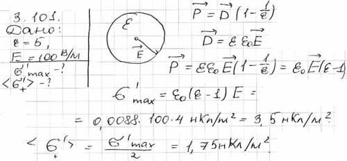
Пример задачи ![]()

Характеристики ответов (шпаргалок) к КР
Предмет
Учебное заведение
Семестр
Просмотров
6
Качество
Скан рукописных листов
Размер
1,21 Mb
Список файлов
3_36.jpg
3_38.jpg
3_40.gif
3_41.jpg
3_42.gif
3_44.gif
3_45.jpg
3_52.jpg
3_53.gif
3_55.gif
3_59.gif
3_60.gif
3_61.jpg
3_62.jpg
3_63.jpg
3_64.gif
3_65.gif
3_66.gif
3_69.jpg
3_70.gif
3_71.jpg
3_77.gif
3_78.jpg
3_79.jpg
3_82.jpg
3_84.jpg
3_85.jpg
3_88.gif
3_89.jpg
3_90.jpg
3_91.jpg
Комментарии
Нет комментариев
Стань первым, кто что-нибудь напишет!
НИЯУ МИФИ
zzyxel














