Для студентов МГТУ им. Н.Э.Баумана по предмету Физика ядерных реакторовТеория ФЯР (ч. 2)Теория ФЯР (ч. 2)
5,0057
2024-09-042025-01-14СтудИзба
Ответы к экзамену: Теория ФЯР (ч. 2)
Бестселлер
Описание
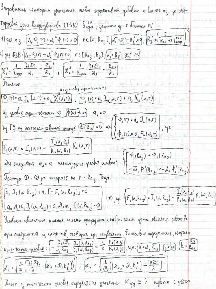
В данном файле: ответы на все теоретические вопросы (36 шт. на 2023/2024 г.) к экзамену по ФЯР ч.2 - по лекциям Столотнюк Я.Д. Почерк посредственный:
![]()
Файлы условия, демо
Характеристики ответов (шпаргалок) к экзамену
Предмет
Учебное заведение
Семестр
Теги
Просмотров
132
Качество
Скан рукописных листов
Размер
12,61 Mb
Преподаватели
Список файлов
1.jpg
2.jpg
3.jpg
4.jpg
5.jpg
6.jpg
7.jpg
8.jpg
9.jpg
10.jpg
11.jpg
12.jpg
13.jpg
14.jpg
15.jpg
16.jpg
17.jpg
18.jpg
19.jpg
20.jpg
21.jpg
22.jpg
23.jpg
24.jpg
25.jpg
26.jpg
27.jpg
28.jpg
29.jpg
30.jpg
31.jpg
МГТУ им. Н.Э.Баумана



















