Для студентов МГТУ им. Н.Э.Баумана по предмету Электротехника (ЭлТех)Анализ установившихся и переходных режимов в линейных электрических цепях (Вариант 11)Анализ установившихся и переходных режимов в линейных электрических цепях (Вариант 11)
5,00511
2021-06-032024-09-03СтудИзба
Курсовая работа: Анализ установившихся и переходных режимов в линейных электрических цепях (Вариант 11) вариант 11
Бестселлер
-41%
Описание



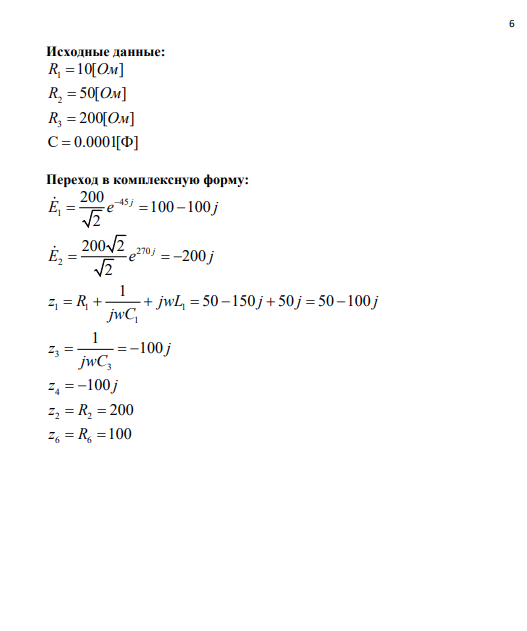
Задание на выполнение курсовой работы 1. Расчёт источника гармонических колебаний (ИГК) 1.1. Выбрать в качестве первичной обмотки воздушного трансформатора одну из катушек индуктивности ИГК. Определить значение тока напряжения первичной обмотки трансформатора методом эквивалентного источника (напряжения или тока). 1.2. Записать мгновенные значения тока и напряжения первичной обмотки трансформатора Т1 и построить волновые диаграммы. 1.3. Определить значения Mnq ,Mпр,Lq,Lp T1 из условия, что индуктивность первичной обмотки Ln известна, U1=5 B, U2=10B. Коэффициент магнитной связи обмоток k следует выбрать самостоятельно в диапазоне 0,5 < k < 0,95 (n,p,q- номера индуктивностей Т1) 2. Расчёт четырёхполюсника 2.1. Рассчитать токи и напряжения методом входного сопротивления (или входной проводимости), построить векторные диаграммы токов и напряжений. 2.2. Записать мгновенные значения u1=u3=uвх, iвх и uвых, определить сдвиг по фазе между входным и выходным напряжениями, а также отношение их действующих значений.
Файлы условия, демо
Характеристики курсовой работы
Предмет
Учебное заведение
Вариант
Просмотров
264
Размер
1,58 Mb
Список файлов
Анализ установившихся и переходных режимов в линейных электрических цепях (Вариант 11).pdf

Друзья, спасибо за доверие! Если вам понравилась работа – поставьте 5⭐ и напишите отзыв. Это поможет другим студентам, а мне даст силы делать ещё больше качественных материалов для вас 🔥