Для студентов ТГУ по предмету Электроника и электротехникаЭлектроника и электротехника Итоговый, компетентностный тестЭлектроника и электротехника Итоговый, компетентностный тест
5,0052
2025-02-222025-02-22СтудИзба
Ответы к заданиям Итоговый: Электроника и электротехника Итоговый, компетентностный тест
Описание
Крупная база ответов к предмету🔥 Электроника и электротехника 🔥
С помощью данной коллекции вы 100% сдадите ЛЮБОЙ тест.
➡️ Помощь с ЛЮБЫМ тестом ⬅️
➡️ ‼️ Готовые базы ответов на ВСЕ предметы в ТГУ ☢️ ⬅️
➡️ ✔️ Отдельные ответы на вопросы 💯 ⬅️
➡️ Помощь с сессией под ключ ⭐
📕 Помощь с ВКР (любая ДИПЛОМНАЯ работа) 📚 ◀️
⬆️ Жми на нужную ссылку! ⬆️
С помощью данной коллекции вы 100% сдадите ЛЮБОЙ тест.
➡️ Помощь с ЛЮБЫМ тестом ⬅️
➡️ ‼️ Готовые базы ответов на ВСЕ предметы в ТГУ ☢️ ⬅️
➡️ ✔️ Отдельные ответы на вопросы 💯 ⬅️
➡️ Помощь с сессией под ключ ⭐
📕 Помощь с ВКР (любая ДИПЛОМНАЯ работа) 📚 ◀️
⬆️ Жми на нужную ссылку! ⬆️
- Итоговая аттестация
- Итоговый тест
- Компетентностный тест
- Заключение
Список вопросов
В приведенной линейной электрической цепи постоянного тока E = 40 В, Rн = 20 Ом.
В согласованном режиме работы мощность в нагрузке составит … Вт.![]()
В согласованном режиме работы мощность в нагрузке составит … Вт.

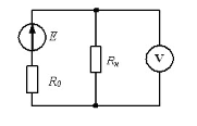
Определить показания вольтметра, если Е = 20, RН = 5, R0 = 5. ![]()

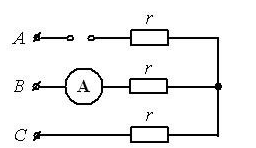
В симметричной трехфазной цепи линейное напряжение UЛ = 100 В. Сопротивление фазы приемника r = 10 Ом. При обрыве провода А показания амперметра электромагнитной системы равны ... А. ![]()

Определить показания вольтметра V, если UV1 = 100, UV2 = 70, UV3 = 40. ![]()

В симметричной трехфазной цепи фазные токи равны Iab = Ibc = Ica = 20 А. После обрыва линейного провода А, фазный ток Iab равен … А. ![]()

Определить I1, если U3 = 20. ![]()

В симметричной трехфазной цепи фазные токи равны Iab = Ibc = Ica = 10 А. После обрыва линейного провода А фазный ток Iab равен … А.
![]()

На рисунке указан участок электрической цепи. Направление токов согласно направлению на рисунке. Ток I 1 = 5 А , ток I 2 = 10 А. Определите ток I 3. ![]()

В нелинейной электрической цепи к сопротивлению R 1 приложено напряжение 10 В . Определите ток, протекающий через сопротивление R 2. ![]()

В симметричной трехфазной цепи линейное напряжение = 100 В Если сопротивление фазы = 80 Ом, то показания амперметра электромагнитной системы равны … А. Ответ округлить до целых чисел. ![]()

В симметричной трехфазной цепи линейное напряжение UЛ = 100 В.После обрыва линейного провода С показания вольтметра электромагнитной системы равны … В. ![]()

Комплексное сопротивление Z при xL = 40 Ом, r = 20 Ом и xС = 30 Ом в алгебраической
форме запишется как

В нелинейной электрической цепи на сопротивление R 2 падает напряжение 10 В. Определите входное напряжение цепи. ![]()

В электрической цепи 2 абсолютно одинаковых сопротивления подключены согласно схеме. Их ВАХ задана графиком. На вход цепи подано напряжение 20 В. Определите неизвестный ток I.
![]()

К нелинейной электрической цепи к сопротивлению R 2 приложено напряжение 5 В. Определите напряжение на сопротивлении R 1.
![]()

К нелинейной электрической цепи приложено напряжение 10 В. Определите неизвестный ток I. ![]()

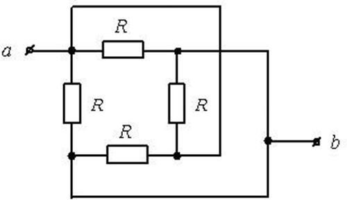
Определить величину эквивалентного сопротивления цепи Rab, если R = 13. ![]()

В симметричной трехфазной цепи линейное напряжение UЛ = 127 В.После обрыва линейного провода В показания вольтметра электродинамической системы равны … В.
![]()

В магнитной цепи с постоянной МДС напряженность магнитного поля H = 300 А/м, а длина средней силовой линии магнитопровода lср = 1 м. Обмотка электромагнита имеет w = 30 витков. Величина тока в обмотке равна … А.
Определить модуль полного сопротивления цепи, если r1 = 2, r2 = 4, xL = 2. ![]()

На рисунке указан участок электрической цепи. Напряжение U 1 на сопротивлении R 1 равно 15 В. Напряжение U 2 на сопротивлении R 2 равно 25 В. Ток через сопротивление R 2 равен 1 А. Определите общее сопротивление R 12. ![]()

На рисунке указан участок электрической цепи. Напряжение U 1 на сопротивлении R 1 равно 15 В. Общее напряжение U = 20 В. Ток через сопротивление R 2 = 2,5 А. Определите величину сопротивления R 2. ![]()

На рисунке указан участок электрической цепи. Направление токов согласно направлению на рисунке. Ток I 1 = 15 А , ток I 3 = 20 А. Определите ток I 2. ![]()

На рисунке указан участок электрической цепи. Напряжение U 1 на сопротивлении R 1 равно 15 В. Сопротивление R 1 = 5 Ом. Сопротивление R 2 = 4 Ом. Определите напряжение U 2 на сопротивлении R 2.
![]()

На рисунке указан участок электрической цепи. Напряжение U 1 на сопротивлении R 1 равно 15 В. Общее напряжение U = 45 В. Определите напряжение U 2 на сопротивлении R 2. ![]()

В симметричной трехфазной цепи линейное напряжение UЛ = 100 В. После обрыва линейного провода В показания вольтметра электродинамической системы равны … В. ![]()

В симметричной трехфазной цепи линейное напряжение UЛ = 200 В.Если сопротивление фазы zф = 20 Ом, то показания амперметра электромагнитной системы равны … А. Ответ округлить до целых чисел. ![]()

Представленной схеме замещения соответствует ![]()

На приведенной потенциальной диаграмме значение напряжения между точками d–e составит … В.
![]()

В симметричной трехфазной цепи линейное напряжение UЛ = 380 В. Сопротивление фазы приемника r = 10 Ом. При обрыве провода А ток в линии В равен ... А.
![]()

В электрической цепи 2 абсолютно одинаковых сопротивления подключены согласно схеме. Их ВАХ задана графиком. На вход подано напряжение 20 В. Определите ток через сопротивление R 1.
![]()

В электрической цепи 2 абсолютно одинаковых сопротивления подключены согласно схеме. Их ВАХ задана графиком. В цепи протекает ток 6 А. Определите входное напряжение. ![]()

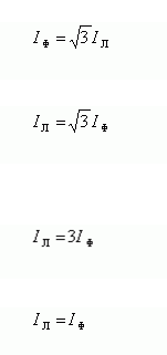
В трехфазной цепи при соединении фаз симметричного приемника треугольником соотношение между токами
![]()

В трехфазной цепи при соединении фаз симметричного приемника звездой соотношения между токами
![]()




К нелинейной электрической цепи приложено напряжение 10 В. Определите ток через сопротивление R 2 ![]()

Указано истинное направление токов в ветвях электрической цепи, источники ЭДС работают в режимах
![]()

В электрической цепи постоянного тока показания амперметров и вольтметра соответственно равны IA1 = 6 A, IA2 = 12 A, UV = 54 В.
Тогда величина сопротивления резистора r равна … Ом.
![]()
Тогда величина сопротивления резистора r равна … Ом.

В трехфазной цепи при соединении фаз симметричного приемника звездой соотношения между напряжениями
![]()


В симметричной трехфазной цепи фазные токи равны Iab = Ibc = Ica = 30 А. После обрыва линейного провода А фазный ток Ibc равен … А. ![]()

Как изменится амплитуда тока в цепи при увеличении частоты питающего напряжения?
![]()

В симметричной трехфазной цепи линейное напряжение UЛ = 50 В. Сопротивление фазы приемника r = 2,5 Ом. При обрыве провода А показания амперметра электромагнитной системы равны … А. ![]()

На рисунке указан участок электрической цепи. Направление токов согласно направлению на рисунке. Ток I 3 = 1 5 А , ток I 2 = 70 А. Определите ток I 1.– 55 ![]()

На рисунке указан участок электрической цепи. Направление токов согласно направлению на рисунке. Ток I 1 = 15 А , ток I 3 = 5 А. Определите ток I 2. ![]()

В симметричной трехфазной цепи линейное напряжение UЛ = 10 В. Сопротивление фазы приемника r = 1 Ом. При обрыве провода А показания амперметра электромагнитной системы равны ... А.
![]()

В симметричной трехфазной цепи линейное напряжение UЛ = 300 В После обрыва линейного провода А показания вольтметра электродинамической системы равны … В. ![]()

В симметричной трехфазной цепи, линейное напряжение UЛ = 10 В.После обрыва линейного провода С, показания вольтметра электродинамической системы равны … В. ![]()

В электрической цепи постоянного тока показания амперметров IA = 4 A, IA2 = 1 A, r1 = 2 Ом. Тогда величина сопротивления резистора r2 равна … Ом. ![]()

В симметричной трехфазной цепи линейное напряжение UЛ = 90 В. Сопротивление фазы приемника z = 15 Ом.При обрыве провода С, ток линии А равен … А. ![]()

В симметричной трехфазной цепи линейное напряжение UЛ = 120 В. Сопротивление фазы приемника r = 10 Ом. После обрыва провод А ток в линии В равен … А. ![]()

В линейной электрической цепи постоянного тока E = 20 В, R0 = 1 Ом.
В согласованном режиме показание амперметра составит …![]()
В согласованном режиме показание амперметра составит …

Указано истинное направление токов в ветвях электрической цепи, источники ЭДС работают в режимах ![]()

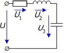
В электрической цепи переменного тока мгновенные значения тока и входного напряжения равны: i (t) = 10 √ 2 • sin (ωt + 20°) A, u (t) = 20 √ 2 • sin (ωt + 20°) B. Напряжение на конденсаторе UC = 50 B.
Величина полного сопротивления цепи z равна … Ом.
![]()
Величина полного сопротивления цепи z равна … Ом.

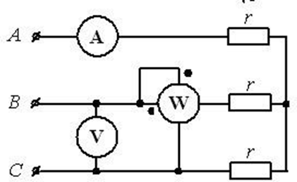
В симметричной трехфазной цепи показания приборов вольтметра и амперметра соответственно равны UV =
В, IA = 2 А. Показания ваттметра равны ... Вт.
![]()


Определить напряжение Uab, если E1 = 5, E2 = 3, I1 = 2, I2 = 1, R1 = 5, R2 = 10. ![]()

На рисунке указан участок электрической цепи. Направление токов согласно направлению на рисунке. Ток I 3 = 15 А , ток I 2 = 1 А. Определите ток I 1.
![]()

Определить величину эквивалентного сопротивления цепи Rab, если R = 20.
![]()

В симметричной трехфазной цепи фазные токи равны Iab = Ibc = Ica = 6 А. После обрыва линейного провода А, фазный ток Iab равен … А. ![]()

На рисунке указан участок электрической цепи. Направление токов согласно направлению на рисунке. Ток I 1 = 15 А , ток I 2 = 70 А. Определите ток I 3. ![]()

В нелинейной электрической цепи на сопротивление R 2 падает напряжение 10 В. Определите напряжение на сопротивлении R 1. ![]()

В электрической цепи 2 абсолютно одинаковых сопротивления подключены согласно схеме. Их ВАХ задана графиком. Через сопротивление R 2 протекает электрический ток 2 А. Определите ток через сопротивление R 1.
![]()

В электрической цепи 2 абсолютно одинаковых сопротивления подключены согласно схеме. Их ВАХ задана графиком. На вход электрической цепи подано напряжение 10 В. Определите ток через сопротивление R 1.
![]()

На вход нелинейной электрической цепи подано напряжение 15 вольт. Найдите ток через сопротивление R 1. ![]()

В симметричной трехфазной цепи фазные токи равны Iab = Ibc = Ica = 4 А. После обрыва линейного провода А фазный ток Iab равен … А. ![]()

Для какой из схем справедлива векторная диаграмма? ![]()

В электрической цепи постоянного тока показания амперметров IA = 12 A, IA1 = 4 A, r1 = 10 Ом.
Тогда величина сопротивления резистора r2 равна … Ом.![]()
Тогда величина сопротивления резистора r2 равна … Ом.

В электрической цепи переменного тока Z1 = 7 – j9 Ом, Z2 = 3 + j9 Ом и мощность, измеряемая ваттметром, равна 200 Вт, тогда полная мощность цепи S равна … В•А. ![]()

Определить активное сопротивление цепи, если закон изменения тока и приложенного напряжения i = 3 sin (ωt + 600), u = 60 sin ωt.
Дана нагрузочная прямая двухполюсника, определить КПД (в %) в рабочем режиме (точка А).
![]()

Определить величину эквивалентного сопротивления цепи Rab, если R = 5. ![]()

В симметричной трехфазной цепи линейное напряжение UЛ = 140 В. Сопротивление фазы приемника r = 7 Ом. При обрыве провода С ток линии А равен ... А. ![]()

Определить активную мощность цепи, если Uab = 200, I = 4, XL = 30. ![]()

Какая векторная диаграмма соответствует схеме, если XC > XL? ![]()

В линейной электрической цепи постоянного тока E = 60 В, Rн = 3 Ом. В согласованном режиме показание амперметра составит … А. ![]()

Дана нагрузочная прямая активного двухполюсника, определить ток короткого замыкания Iк.з.
![]()

Определить модуль полного сопротивления цепи, если r = 2, xL = 4, xC = 4. ![]()

Определить показания вольтметра, если Е = 30, RН = 10, R0 = 5. ![]()

Определить показания амперметра в режиме согласования нагрузки, если Е = 10, R0 = 1. ![]()

В линейной электрической цепи постоянного тока E = 80 В, R0 =2 Ом, Rн = 6 Ом.
Показание амперметра составит … А.![]()
Показание амперметра составит … А.

В электрической цепи переменного тока Uab = 10 B, r1 = 3 Ом, r2 = 2 Ом, xL = xС = 2 Ом, показание ваттметра равно … Вт.
![]()

Определить начальную фазу тока i3 (в градусах), если i1 = 10 sin (wt + 1450), i2 = 5 sin (ωt - 350).
![]()

Если напряжение на индуктивном элементе u (t) = 300•sin 300t B, индуктивность L = 0,2 Гн, то амплитудное значение тока этого элемента равно … А.
Для контура I справедливо уравнение по II закону Кирхгофа ![]()

Для узла 1 справедливо уравнение по I закону Кирхгофа
![]()

В электрической цепи переменного тока показания приборов равны: ваттметра P = 640 Вт, амперметра I = 4 А и вольтметра U = 200 В. Величина сопротивления x равна … Ом. ![]()

На рисунке указан участок электрической цепи. Напряжение U 1 на сопротивлении R 1 равно 15 В. Напряжение U 2 на сопротивление R 2 равно 5 В. Определите общее напряжение U. ![]()

Если действующее значение напряжения U =50√ 2 В, то амплитудное значение напряжения Um равно … В.
Указанной электрической цепи переменного тока, при xC > xL соответствует векторная диаграмма ![]()

Если асинхронный двигатель, имеющий число пар полюсов p = 6, подключен к питающей сети с частотой f = 50 Гц, то синхронная частота вращения магнитного поля n1 равна … об/мин.
Приложенное к цепи напряжение изменяется по закону u (t) = Um•sin (ωt + 450).Закон изменения мгновенного значения тока имеет вид
![]()

В симметричной трехфазной цепи линейное напряжение UЛ = 100 В. Сопротивление фазы приемника r = 10 Ом. При обрыве провода А ток в линии В равен ... А. ![]()

К нелинейной электрической цепи приложено напряжение 10 В. Определите ток через сопротивление R 1 ![]()

Ток первичной обмотки трансформатора I1 = 1 А. Ток на вторичной обмотке I2 = 4 А. Коэффициент трансформации трансформатора равен...
В симметричной трехфазной цепи фазные токи равны Iab = Ibc = Ica = 5 А. После обрыва линейного провода А фазный ток Ibc равен … А. ![]()

Характеристики ответов (шпаргалок) к заданиям
Тип
Коллекция: Ответы (шпаргалки) к заданиям
Предмет
Учебное заведение
Номер задания
Программы
Теги
Просмотров
8
Качество
Идеальное компьютерное
Количество вопросов

Гарантия сдачи без лишних хлопот! ✅🎓 Ответы на тесты по любым дисциплинам, базы вопросов, работы и услуги для Синергии, МЭИ и других вузов – всё уже готово! 🚀 🎯📚 Гарантия качества – или возврат денег! 💰✅