Для студентов ИДДО НИУ «МЭИ» по предмету ЭконометрикаКурс Эконометрика - КМ-3. Множественная регрессионная модель. ТестированиеКурс Эконометрика - КМ-3. Множественная регрессионная модель. Тестирование
5,0051
2025-01-142025-01-14СтудИзба
💼 База ответов к тесту КМ-3. Множественная регрессионная модель. Тестирование (Курс Эконометрика) 📊
Ответы к заданиям КМ-3: Курс Эконометрика - КМ-3. Множественная регрессионная модель. Тестирование
Описание
Курс Эконометрика - КМ-3. Множественная регрессионная модель. Тестирование
🔴 Другие тесты и КМ по этому предмету 💯
➡️ Помощь со сдачей ⬅️
Показать/скрыть дополнительное описание
🔴 Другие тесты и КМ по этому предмету 💯
➡️ Помощь со сдачей ⬅️

решить тест по КМ-3 множественная регрессионная модель, заказ теста по эконометрике ИДДО, выполнение теста КМ-3 эконометрика, купить ответы на тест КМ-3 множественная регрессионная модель НИУ МЭИ, помощь с решением теста по эконометрике Никифорова Дарья Владимировна, сдача контрольного модуля 3 в ИДДО МН-3-1-Экз, найти ответы на тестирование по множественной регрессионной модели, пройти тест по эконометрике в НИУ МЭИ, тест КМ-3 множественная регрессионная модель с решением, сдача тестов по дисциплине эконометрика, помощь в тестировании по курсу эконометрика ИДДО, ответы на контрольный модуль 3 в системе СДО Прометей..
Список вопросов
Для модели y = a + bx + cx2 формула для F – критерия имеет вид:

По результатам 20 наблюдений получен парный коэффициент корреляции r12 = 0,6. Известно, что x3 занижает связь между x1 и x2. Какое значение может принять частный коэффициент корреляции r12..3:
Уравнению регрессии y = 2,88 - 0,78x1 + 1,53x2 соответствует множественный коэффициент корреляции R = 0,84. Какова доля вариации результативного признака y (в %) объясняется входящими в уравнение регрессии переменными x1 и x2:
Для проверки существенности коэффициента множественной корреляции можно использовать F - критерий, который определяется по формуле:

Уравнение регрессии Y = 3,4 x10,342 x2–8,56 x33,2 показывает, что:
Коэффициент множественной детерминации изменяется в пределах:
Уравнение множественной регрессии имеет вид: y = 2,02 + 1,78x1 - 2,63x2. Параметр b1 = 1,78 означает, что:
Коэффициент эластичности для функции y = a + b/х имеет вид:
Уравнение регрессии Y = 2,5 x10,21 x2–1,54 показывает, что:
Если фактор x увеличится на 1%, то функция y = 2,34x–0,54:
Если для всех случайных ошибок справедливо равенство D(ui) ≠ σ 2 для всех i = 1,…, n, то это свидетельствует:
Укажите, какой признак характеризуют мультиколлинеарность:
Множественный коэффициент корреляции r1.23 = 0,8. Процент дисперсии величины x1 объясняется влиянием величин x2 и x3:
Множественный линейный коэффициент корреляции равен 0,75. Какой процент вариации результативного признака учтен в модели и обусловлен влиянием факторов:
Укажите правильное утверждение:
Квадратическая функция y = b0 + b1x + b2x2 может быть приведена к линейному виду с помощью следующих преобразований:
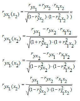
Выборочный частный коэффициент корреляции ryx1(x2) определяется по формуле:

Скорректированный коэффициент детерминации имеет вид:
Частный коэффициент корреляции оценивает:
Характеристики ответов (шпаргалок) к заданиям
Тип
Коллекция: Ответы (шпаргалки) к заданиям
Предмет
Учебное заведение
Номер задания
Теги
Просмотров
17
Качество
Идеальное компьютерное
Количество вопросов
Преподаватели

Гарантия сдачи без лишних хлопот! ✅🎓 Ответы на тесты по любым дисциплинам, базы вопросов, работы и услуги для Синергии, МЭИ и других вузов – всё уже готово! 🚀 🎯📚 Гарантия качества – или возврат денег! 💰✅