Сборник ответов к экзаменационному тесту Дискретная математика ММА.
Описание
✔️ Приобрести ответы можно как по отдельности, так и целиком всю коллекцию.
👁️🗨️ В демо-файлах представлен скрин с результатом тестирования.
🔥🔥🔥Посмотреть другие готовые ответы на тесты ММА можно по ссылке:
👉 ГОТОВЫЕ ОТВЕТЫПоказать/скрыть дополнительное описание
Вопрос 1 Сколько всего рёбер в графе, степени вершин которого равны 3, 4, 5, 3, 4, 5, 3, 4, 5? a. 18 b. 20 c. 10 Вопрос 2 Раздел математики, посвященный изучению математических доказательств и вопросов оснований математики: a. Функция истинности b. Логика c. Высказывание d. Математическая логика Вопрос 3 Равносильность – это: a. Дизъюнкция b. Конъюнкция c. Эквиваленция d. Импликация Вопрос 4 Функция истинности: a. Функция, принимающая значение «истина» b. Функция, которая на множестве всех высказываний, каждому высказыванию ставит в соответствие значения 0 и 1 c. Функция, которая на множестве всех высказываний, каждому высказыванию ставит в соответствие единственное значение 0 или 1 d.
Функция, принимающая значения «истина», «ложь», «ни истина, ни ложь» Вопрос 5 Формула высказываний – это: a. выражение, составленное из высказывательных переменных b. выражение, составленное из высказывательных переменных с помощью операций над высказываниями и обращающееся в конкретное высказывание при подстановке вместо этих переменных конкретных высказываний c. выражение, обращающееся в конкретное высказывание при подстановке вместо переменных конкретных высказываний d. выражение, составленное из высказывательных переменных, обращающееся в конкретное высказывание при подстановке вместо этих переменных конкретных высказываний Вопрос 6 Последовательность ребер, в которой каждые два соседних ребра имеют общую вершину, и никакое ребро не встречается более одного раза – это: a.
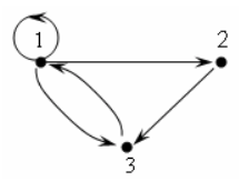
Проекция b. Дорога c. Путь d. Цикл Вопрос 7 Графом называется: a. множество линий, соединяющих некоторые пары точек b. пара двух конечных множеств: множество точек и множество линий, соединяющих некоторые пары точек c. пара двух конечных множеств: множество точек и множество линий d. пара двух бесконечных множеств: множество точек и множество линий, соединяющих некоторые пары точек Вопрос 8 На множестве A = {a,b,c,d} задано бинарное отношение R = {(a,b),(a,c),(b,c),(c,d)}. Какие пары нужно добавить к R, чтобы получить его транзитивное замыкание? a. (a,d), (b,d) b. (d,a) c. никакие, так как R транзитивно d. (a,d) Вопрос 9 Соответствие G между множествами A = {a,b,c,d} и B = {1,2,3,4} задано множеством пар G = {(a,1),(b,2),(b,3),(c,1),(d,3)}.
Отметьте верное утверждение: a. G функционально b. G сюръективно c. G всюду определено Вопрос 10 Каким может быть дополнение к отношению строгого порядка? a. Симметричным b. Рефлексивным c. Антисимметричным Вопрос 11 Граф содержит 7 дуг. Его эйлеров цикл будет состоять из: a. 7 дуг b. 6 дуг c. 8 дуг d. 5 дуг Вопрос 12 Эйлеров цикл: a. содержит каждое ребро только один раз b. проходит через все вершины и ребра графа только один раз c. содержит каждую вершину только один раз Вопрос 13 Соответствие G между множествами A = {a,b,c,d,e} и B = {1,2,3,4} задано множеством пар G = {(a,2),(a,3),(b,3),(c,1),(e,3),(e,4)}. Какое из множеств является прообразом элемента 3 при этом соответствии? a.
{a,c} b. {a,b,e} c. {a,b,c,e} Вопрос 14 Логическое сложение – это: a. Эквиваленция b. Импликация c. Дизъюнкция d. Конъюнкция Вопрос 15 Даны множества A = {a,b,d,e,f}, B = {b,c,e,g}, С = {a,d,f}. Отметьте верное равенство: a. С = BA b. С = A∪B c. С = AB d. С = A∩B Вопрос 16 Какое из множеств является конечным? a. множество всех рациональных чисел b. действительные числа отрезка [0,1] c. множество всех натуральных чисел d. множество {1,2,3} Вопрос 17 Формула называется тавтологией, если для всех наборов значений переменных: a. формула верна b. формула принимает значение истинности, равное 1или 0 c. формула принимает одно и тоже значение, равное 0 d. формула принимает одно и тоже значение истинности, равное 1 Вопрос 18 Способы задания графа: a.
Перечисление ребер b. Матричный c. Геометрический d. Указание вершин Вопрос 19 Множества A, B, C выражены через три других множества D, E, F следующими равенствами (знак пересечения опущен): A = D(E∪F), B = DE∪DF, C = (DE)∩(DF). Отметьте верное равенство: a. A=B b. A=C c. B=C Вопрос 20 Какой из циклов графа с множеством вершин {a,b,c,d,e,f} является гамильтоновым? a. fbecdf b. abeca c. abecdfa d. abcdfca Новые вопросы 2025 Вопрос 1 Задать множество натуральных четных чисел с помощью характеристического свойства a. b. c. d. Вопрос 2 Какое множество является подмножеством любого другого множества? a. натуральные числа b. пустое множество c. рациональные числа d.
положительные числа Вопрос 3 n- местная функция, определенная на произвольном множестве М и принимающая в качестве значений элементы из двухэлементного множества {0, 1}, 0 и 1 интерпретируются как ложь и истина соответственно, называется … a. сюръекция b. предикат c. отображение d. биекция Вопрос 4 Какой символ используется для обозначения множества? a. [ ] b. ( ) c. < > d. { } Вопрос 5 Найти декартово произведение множеств А = {a, s, h}, B = {a} a. b. c. d. Вопрос 6 Приведите в соответствие Вопрос 7 Способы задания графа: a. Геометрический b. Матричный c. Перечисление ребер d. Указание вершин Вопрос 8 Найти А2, если А = {s, h} a. A2= b. A2= c. A2= d. A2= Вопрос 9 Отношение ««быть старше»: «х старше у»» является … a.
транзитивным b. рефлексивным c. симметричным d. антисимметричным Вопрос 10 Если даны два высказывания - S1 («Если треугольники равны, то равны их стороны») и S2 («Стороны треугольников равны тогда и только тогда, когда равны треугольники»), - то можно утверждать, что … a. из S2 следует S1 b. ни одно из высказываний не следует из другого c. из S1 следует S2 d. обоюдное следование Вопрос 11 Найти веса следующего набора a=(110)ϵB^3 a. 8 b. 4 c. 2 Вопрос 12 Города A, B, C, D и E попарно соединены дорогой. Сколько разных маршрутов путешествия из города A в город E c посещением ещё двух городов можно составить? Предполагается, что в маршруте каждый город присутствует не более одного раза, и маршруты, отличающиеся порядком следования городов, различны.
a. A^2/6 = 12 b. A^2/3 = 6 c. A^2/4 = 8 Вопрос 13 Какое понятие не относится к числовым промежуткам? a. полуинтервал b. полуотрезок c. луч d. открытый луч Вопрос 14 Какое из утверждений верно для функции инъекции? a. она всегда возрастает b. она различным элементам области определения ставит в соответствие различные элементы области значений c. у нее нет обратной функции d. она всегда принимает одно и то же значение Вопрос 15 Дана матрица: a. это не матрица отношения b. R = {(a, b)| b делит a} c. R = {(a, b)| а делит b} d. R = {(a, b)} Вопрос 16 Пусть A – множество из k элементов. Сколько можно определить различных свойств на множестве A. a. 2^k-1 b. 2^k c. 2^k+1 Вопрос 17 Что такое биекция в теории множеств? a.
случайное преобразование элементов множества b. отображение, при котором каждому элементу из множества A соответствуете менее одного элемента из множества B c. взаимно однозначное отображение между элементами А и В d. отображение, при котором каждому элементу из множества A соответствуете более одного элемента из множества B Вопрос 18 Задать множество рациональных чисел с числителем 1 a. b. c. d. Вопрос 19 К способам задания множества относят: a. описание характеристического свойства b. фигурные скобки c. угловые скобки d. диаграмму Эйлера-Венна Вопрос 20 … - это отрасль математики, занимающаяся подсчетом и комбинированием объектов. Ответ: Вопрос 21 Если отношение А на множестве М рефлексивно, симметрично и транзитивно, то разбить множество М на непересекающиеся классы … a.
нельзя b. можно c. можно, но не всегда d. можно только в том случае, если А - отношение порядка Вопрос 22 Если из высказывания S1 следует S2 и, наоборот, из S2 следует S1 , то высказывания S1 и S2 … эквивалентными a. могут являться, а могут не являться b. являются c. неопределенный случай d. не являются Вопрос 23 Матрица бинарного отношения R ⊂А2, где А = {1, 2, 3}, заданного на рисунке: имеет вид: a. (1 1 1 0 0 1 1 0 1) b. (1 0 1 0 0 1 1 0 0) c. (1 0 1 0 0 1 1 1 1) d. (1 1 1 0 0 1 1 0 0) Вопрос 24 Найти общее решение линейного однородного рекуррентного уравнения x_n-2x_(n-1)=0 Вопрос 10 Ответ a. C_1 • 2^n-1 b. C_1 • 2^n c. C_1 • 2^n+1 Вопрос 25 Найти общее решение линейного однородного рекуррентного уравнения x_n-6x_(n-1)+11x_(n-2)-6x_(n-3)=0 a.
C_1+C_2 2^(n-1)+C_3 3^n b. C_1+C_2 2^n+C_3 3^(n-1) c. C_1+C_2 2^n+C_3 3^n Вопрос 26 Найти мощность объединения двух множеств А и В, если A = {1, 5, 6}, B = {7, 5, 2} a. =3 b. =6 c. =4 d. =5 Вопрос 27 Отношение «х – победитель у» является… a. антисимметричным b. симметричным c. антирефлексивным d. транзитивным Вопрос 28 Какое из следующих утверждений о множествах является верным? a. множество может содержать только числа b. множество не может содержать больше одного элемента c. множество может содержать только буквы d. множество может содержать различные объекты: числа, буквы, символы и прочее Вопрос 29 Что означает символ ∀? a. элемент алфавита малых народов b.
квантор существования c. квантор всеобщности d. символ, который можно использовать в качестве маркера Вопрос 30 Найти неверное определение операции над множествами a. b. c. d..
Файлы условия, демо
Список вопросов
x_n-6x_(n-1)+11x_(n-2)-6x_(n-3)=0
x_n-2x_(n-1)=0
имеет вид:
ММА
studyhelp















