Для студентов МГТУ им. Н.Э.Баумана по предмету Динамика полётаВариант 14 - ДЗВариант 14 - ДЗ
5,0057
2021-12-202021-12-20СтудИзба
ДЗ: Вариант 14 - ДЗ вариант 14
Бестселлер
Описание
Файлы условия, демо
Характеристики домашнего задания
Предмет
Учебное заведение
Семестр
Вариант
Просмотров
140
Качество
Идеальное компьютерное
Размер
2,37 Mb
Список файлов
ДП
МОИ результаты расчета
Результаты расчета.xlsx
СМ3-5 вариант №14.pdf
AtmosphereGOST4401.py
main.py
Прочитай меня.docx
Прочитай меня.pdf
Комментарии
Нет комментариев
Стань первым, кто что-нибудь напишет!
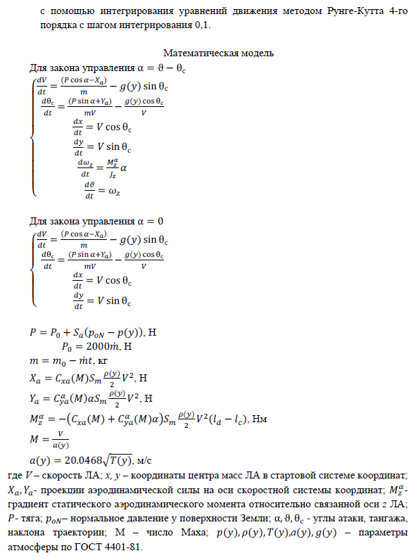
Кусок листинга программы представлен ниже:
МГТУ им. Н.Э.Баумана



















