Для студентов МГТУ им. Н.Э.Баумана по предмету Теория функций комплексного переменного (ТФКП)Теория функций комплексного переменногоТеория функций комплексного переменного
4,895261
2021-05-232021-05-23СтудИзба
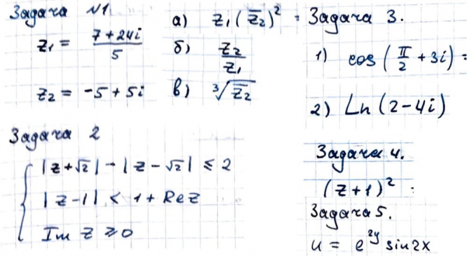
ДЗ 1: Теория функций комплексного переменного вариант 15
Описание
Характеристики домашнего задания
Учебное заведение
Семестр
Номер задания
Вариант
Теги
Просмотров
327
Качество
Скан рукописных листов
Размер
15,4 Mb
Список файлов
ТФКП.pdf
Комментарии
Отзыв
Добротное
МГТУ им. Н.Э.Баумана



















