Для студентов МГТУ им. Н.Э.Баумана по предмету Дифференциальные и разностные уравненияДифференциальные уравненияДифференциальные уравнения
5,0053
2023-08-242025-03-17СтудИзба
Прорешанный РК № 2 "Дифференциальные уравнения - практика" ИБМ вар. 0, 10, 20 ИБМ
Ответы к контрольной работе 2: Дифференциальные уравнения вариант 0, 10, 20
Бестселлер
Описание
В файле решенная практическая часть РК № 2 для ИБМ комплект "для ИБМ-2016" 2 семестр
Билеты были актуальны в 2023 году
Вар. № 0, 10, 20
5 заданий
9 страниц
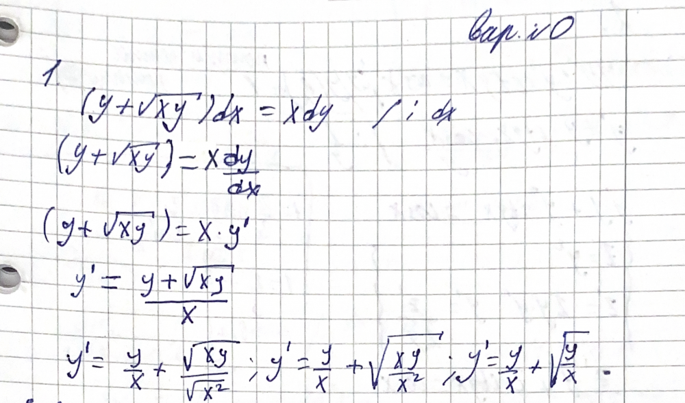
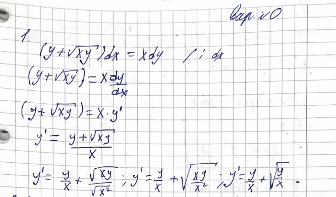
часть работы:
![]()
Билеты были актуальны в 2023 году
Вар. № 0, 10, 20
5 заданий
9 страниц
часть работы:
Характеристики ответов (шпаргалок) к КР
Учебное заведение
Семестр
Номер задания
Просмотров
64
Качество
Скан рукописных листов
Размер
43,55 Mb
Преподаватели
Список файлов
Вар0.pdf
Комментарии
Нет комментариев
Стань первым, кто что-нибудь напишет!
МГТУ им. Н.Э.Баумана



















