Для студентов ИГЭУ им. Ленина по предмету Численные методыЧисленное интегрированиеЧисленное интегрирование
5,00568
2025-04-062025-05-17СтудИзба
Лабораторная работа 2: Численное интегрирование вариант 6
Описание
- Цель работы:
- Задание:

2. Построить графики функций I=F(N)
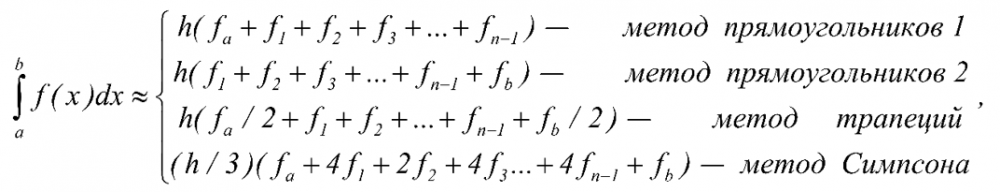
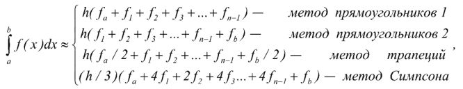
- Математическое описание

- Содержание
Структограмма и текст программы....….....................................................4-7
Результаты расчетов и графики зависимостей y'(x0)=F(Δx)........................8
Вывод.................................................................................................................9
Характеристики лабораторной работы
Предмет
Учебное заведение
Семестр
Номер задания
Вариант
Программы
Теги
Просмотров
8
Качество
Идеальное компьютерное
Размер
194,91 Kb
Преподаватели
Список файлов
лаба 2ЧМ.вариант 6.docx

🎓Помощь студентам Ивановских ВУЗов🎓 ❤️ Каждая приобретенная работа служит стимулом для добавления новых материалов и упрощает учебный процесс.