Для студентов НИУ «МЭИ» по предмету Численные методы в инженерииВариант 15 - ДЗ №4 "Численные методы решения задачи Коши"Вариант 15 - ДЗ №4 "Численные методы решения задачи Коши"
4,97514371
2023-04-272024-09-05СтудИзба
ДЗ 4: Вариант 15 - ДЗ №4 "Численные методы решения задачи Коши" вариант 15
-43%
Описание
Типовой расчет по численным методам №4, зачтено на максимальный балл
Условие:
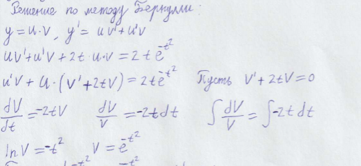
Пример решения:
Показать/скрыть дополнительное описание
Условие:


Численные методы в инженерии кафедра радиотехнических систем МЭИ 3 семестр.
Характеристики домашнего задания
Предмет
Учебное заведение
Семестр
Номер задания
Вариант
Просмотров
4
Качество
Фото рукописных листов
Размер
633,97 Kb
Список файлов
Вариант 15 ЧМ 4 2.pdf

Спасибо за покупку! Я буду очень рад, если поставишь справедливую оценку купленному файлу :3 Ищи больше работ в моём профиле, там много нужного тебе!