Для студентов по предмету Численные методы оптимизацииГрафический методГрафический метод
5,0053216
2023-12-202023-12-20СтудИзба
Задача: Графический метод
Описание
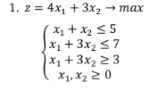
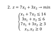
Решить задачи условной оптимизации графическим методом.
![]()


Характеристики решённой задачи
Предмет
Просмотров
1
Размер
209,69 Kb
Список файлов
Графический метод.pdf

Если нужен другой вариант работы или отдельная задача из любой работы, пишите в комментарии