Лекции (998707), страница 9
Текст из файла (страница 9)
Среди ПЛМ первого типа наибольшее распространение получили двухуровневые (Рис. 2.27.), которые состоят из двух матриц М1 и М2. Они образуют соответственно первый и второй уровни схемы. Условное обозначение структура представлена на рис. 2.27. б.
М
атрица М1, реализует q элементарных конъюнкций р1, р2, р3 … ,рq переменных х1, х2 …, хs. Матрица М2 позволяет реализовать t элементарных дизъюнкций у1, у2, у3, … уt переменных р1, р2, … рq, поступающих на её входы с выходов матрицы М2. Выводы матрицы М1, соединённые со входами матрицы М2, образуют промежуточные шины ПЛМ. ПЛМ с s входами, t выходами и q промежуточными шинами называются ПЛМ(s,t,q). К выходам матрицы М2 может подключаться слой программируемых инверторов, которой условимся не выделять в отдельный третий уровень. Аналогичные инверторы иногда включаются между матрицами М1 и М2.
Разновидности ПЛМ(s, t, q) направлены на эффективное использование их информационной ёмкости: расширение числа реализуемых функций при заданной площади или сокращение площади при ограничениях на количество реализуемых функций. К ним относятся матрицы ПЛМ (z, q). В ПЛМ (z, q) фиксируется лишь два параметра: число промежуточных шин q и суммарное число входов и выходов z=s+t. Конкретные значения s и t могут выбираться произвольно при настройке ПЛМ(z, q). Например, ПЛМ(6,10) путём соответствующей настройки может быть использована как ПЛМ(3, 3, 10), ПЛМ (5, 1, 10) и т. д.
Трёхуровневые ПЛМ комбинационного типа (рис. 2.28.) в отличие от двухуровневых содержит дополнительный s-входовой блок D.
Число выходов блока D равно числу h горизонтальных шин в матрице М1. Блок D может иметь самую различную внутреннюю структуру, но наиболее часто он состоит из s/2 двухвходовых полных дешифраторов. Они реализуют все конституенты единицы от двух переменных.
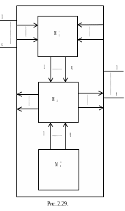
Такие ПЛМ называются ПЛМD(s, t, q). Для ПЛМD(s, t, q) блок D имеет s входов и 2*s выходов: h=2*s. Дополнительные усложнения за счёт введения блока D на практике настолько незначительно, что его можно не учитывать, но при той же площади, что ПЛМ(s, t, q), позволяет реализовать более сложные системы булевых функций. Последующие работы, направленные на повышение эффективности использования площади матриц ПЛМ привели к созданию структуры разрезных ПЛМ – ПЛМР (рис. 2.29.). Она имеет следующие особенности:
1. Матрица М1 разделена на две части :
. Матрица
расположена над матрицей М2, а
- под ней. Это позволяет при необходимости разрезать промежуточные шины в М2 и реализовать на верхней и нижней частях одной и той же промежуточной шины различные элементарные конъюнкции входных переменных.
2. Входы матриц
расположены с двух сторон (справа и слева). Любая горизонтальная шина
разрезается в одном месте, и на одну её часть подаётся переменная (или отрицание переменной) с левого входа матрицы, а на другую – с правого.
3. Выходы матрицы М2 расположены с двух сторон (слева и справа). Любая горизонтальная шина М2 разрезается в одном месте, и на одной её части формируется значения функции для левого выхода матрицы, а на другой – для правого.
4. На кристалле БИС ПЛМ предусмотрена специальная система шин, позволяющая соединять выходы одной матрицы со входами другой. Выполнение разрезов шин и организация необходимых связей между входами и выходами различных матриц осуществляется на этапе настройки ПЛМ на заводе – изготовителе.
В
озможности сокращения площади матриц М1 и М2 при тех же функциональных возможностях при использовании ПЛМР показана на примере, рассмотренном ранее, состоящем в реализации системы.
Информационная площадь приведённой ПЛМР:
S(ПЛМР)=S(
)+S(
)+S(M2)=2*4+2*4+2*4=24 меньше, чем у ПЛМ(4,3,5):
S(ПЛМ)=2*4*5+5*3=55
2.10.3. Другие структуры матричных БИС.
Помимо ПЛМ существуют следующие матричные структуры: постоянные запоминающие устройства (ПЗУ), программируемые матрицы логики (ПМЛ) и программируемые матрицы вентилей (ПМВ).
Постоянные запоминающие устройства (ПЗУ).
П
ЗУ может рассматриваться как двухуровневая ПЛМ, матрица М1 в которой настроена на реализацию функции полного дешифратора (рис. 2.30.)
Схема полного дешифратора программированию не подлежит, поэтому параметр q фиксирован: q=2s. ПЗУ, имеющие s входов и t выходов, назовём ПЗУ(s, t). Поскольку дешифратор по своим выходам реализует конституенты 1, то ПЗУ предназначено для реализации СДНФ.
Пример 2.15.
Реализовать на ПЗУ систему функций.
Получим СДНФ каждой функции.
Реализация ПЗУ показана на рис. 2.31.
С
равним площади ПЛМ(16, 8,48) и ПЗУ (16,8): S(ПЛМ)=1920, S(ПЗУ)=216*8=524288. Отсюда можно сделать вывод, что стандартные интегральные ПЛМ характеризуются значительно большим числом входов s и выходов t по сравнению с ПЗУ на кристалле того же размера.
Программируемая матрица вентилей (ПМВ).
П
МВ это простейший представитель матричной структуры, состоящий из единственной матрицы типа М1. На выходах ПМВ устанавливают программируемые инверторы.
Каждый выход М1 путём программирования выходных вентилей можно передаваться с инверсией или без инверсии.
Программируемые матрицы логики (ПМЛ).
ПМЛ представляет собой матрицу М1, ко входам и выходам которой могут быть подключены различные логические элементы и запоминающие элементы.
Для комбинационных ПМЛ к выходам подключаются логические элементы. В простейших ПМЛ матрица М1 разбита на t секций по числу выходов t. Выходы каждой секции подключены ко входам элементов ИЛИ (рис. 2.33.), число которых t. К выходам секций могут подключаться более сложные логические элементы.
3. Построение цифровых устройств автоматного типа.
3.1. Понятие автомата.
Автомат – цифровое устройство, выходные сигналы которого зависят от последовательности приходящих на его вход сигналов. Это означает, что они являются функцией входных сигналов, как в заданный, так и в предшествующие моменты времени. Таким образом, выходной сигнал автомата зависит от предыстории поведения входных сигналов. Поэтому автомат должен обладать памятью, позволяющей помнить предысторию поведения автомата на ранее пришедшие сигналы. Этим устройства автоматного типа отличаются от комбинационных устройств, не имеющих памяти.
Свойство автомата запоминать прошлое отражается параметром, называемым состоянием автомата. Состояние определяется внутренними сигналами элементов, которые образуют память.
В реальных автоматах в качестве элементов памяти выступают триггеры; теперь можно дать и другое определение автомата. Автомат – цифровое устройство, выходные сигналы которого является функцией входных сигналов и состояния автомата в данный момент времени. Работа автомата рассматривается в дискретные моменты времени t0,t1,t2 … tn …. Эти моменты времени образуют автоматное время. Каждый момент времени можно пронумеровать. Состояние автомата в момент времени t0 будем называть начальным состоянием.
Состояние автомата в произвольное время t будем обозначать через а(t). Для начального состояния а(t0) будем использовать также обозначение а(t0)=a(0).
По способу формирования автоматного времени автоматы делятся на синхронные и асинхронные.
В
синхронных автоматах автоматное время задаётся тактовой последовательностью . Поведение автомата вне автоматного времени не определено (рис.3.1.).
В
асинхронных автоматах автоматное время задаётся моментами изменения входных сигналов (рис.3.2.).
Автомат представляется в двух видах: абстрактном и структурном. Абстрактный автомат – математическая идеализированная модель реального автомата. Абстрактное представление используется для изучения общих свойств, поведения и для описания внешнего функционирования автомата.
Структурный автомат реализуется на конкретной элементной базе: на триггерах и логических элементах. Абстрактный автомат может порождать множество структурных автоматов.
Синтез автомата осуществляется в два этапа:
-
этап синтеза абстрактного автомата (абстрактный синтез);
-
этап синтеза структурного автомата (структурный синтез).
3.2. Синтез абстрактных автоматов.
3.2.1. Определение абстрактного автомата.
Абстрактный автомат задаётся множеством из шести элементов: S={ X, Y, A, f, g, a(0)} где:
X={x1,x2,…,
} – множество входных сигналов (входной алфавит);
Y={y1,y2,…,
} – множество выходных сигналов (выходной алфавит);
А={a1,a2,…,
} – множество состояний (алфавит состояний);















