Отчёт по типовому7 (987908)
Текст из файла
Московский Энергетический Институт
Типовой расчёт
по физике диэлектрических материалов
Выполнил: Михайлец М.С.
Группа: Эл 15 – 03
Проверил: Бородулин В.Н.
Москва 2006 г.
Задание:
1. Исследовать механизм проводимости в плёнке ЦТС-22 МДМ структуры толщиной 0,05 – 0,3 мкм с алюминиевыми электродами. Омические контакты имеют площадь ~1 мм. Вольт – амперные характеристики имеют вид прямых в координатах ln I, A (U1/2 , B1/2 ) ( в координатах по Шоттки), крайние значения которых приведены ниже при различных температурах.
| T, ºC | 100 | 150 | ||
| lg I, A | -8.95 | -7.6 | -8.55 | -7.5 |
| lg U, B | 0.3 | 1.0 | 0.3 | 1.0 |
Найти: 1) величину наклона ВАХ из эксперимента и расчёта - βшэ , βшр ;
2) вычислить высоту барьера - φш, эВ;
3) перестроить исходные ВАХ в координатах по Пулу – Френкелю lnI/U, A (U1/2 , B1/2 ) и найти параметры βп-фэ, βп-фр, φш и величину ε.
Сопоставить полученные данные и дать заключение о механизме токопрохождения.
2. Считая, что в указанной структуре МДП будет наблюдаться тепловой пробой, рассчитать и построить зависимость Eпр = f(T), используя модель тепловой теории пробоя тонких плёнок по Клейну.
Фундаментальные константы:
-
q = 1.602*10-19 Кл - элементарный заряд
-
k = 1.38*10-23 Дж/К = 8.6 * 10-5 Эв/К - постоянная Больцмана
-
ε0 = 8.85*10-12 Ф/м - электрическая постоянная
-
d = 0.7 мкм = 7*10-7 м - толщина плёнки ЦТС-22 *
-
ε = 700 - диэлектрическая проницаемость плёнки ЦТС-22 *
* по данным сайта http://www.elpapiezo.ru/filterresonators.shtml
Решение:
-
Наклон ВАХ из эксперимента и расчёта - βшэ , βшр в координатах по Шоттки;
Координаты по Шоттки имеют вид lg Iш = f(
). Тогда пересчитаем исходные данные:
| T, ºC | 100 | 150 | ||
| lg I, A | -8.95 | -7.6 | -8.55 | -7.5 |
|
| 1.412 | 3.162 | 1.412 | 3.162 |
Построим по двум крайним точкам ВАХ при температуре T1 = 100ºC (T1 = 373 К).
Экспериментальный наклон ВАХ:
Теоретический наклон ВАХ в системе СИ:
Аналогично для T2 = 150 ºC (T2 = 423 К):
Экспериментальный расчёт наклона ВАХ:
Теоретический расчёт ВАХ в системе СИ:
2) Вычислить высоту барьера - φш, эВ;
Найдём уравнения прямых, вида y = b + k*x (lgIш = Сш + βш*
), которые проходят через крайние точки ВАХ, для этого составим систему уравнений:
-
Для T1 = 100 ºC
Решая систему, получим уравнение:
Откуда можно найти высоту потенциального барьера в электронвольтах (система СИ):
-
Для T2 = 150 ºC
Решая вторую систему, получим уравнение:
Высота барьера:
3) Перестроить исходные ВАХ в координатах по Пулу – Френкелю lnI/U, A ( U1/2 , B1/2 ) и найти параметры βп-фэ, βп-фр, φш и величину ε..
Возьмём ещё шесть точек ВАХ по Шоттки из уравнений прямых y1(x) и y2(x):
| T,ºC | 100 | 150 | ||||||||||||||
| lg I, A | -8.95 | -8.76 | -8.56 | -8.37 | -8.18 | -7.98 | -7.79 | -7.6 | -8.55 | -8.4 | -8.25 | -8.1 | -7.95 | -7.8 | -7.65 | -7.5 |
|
| 1.412 | 1.662 | 1.912 | 2.162 | 2.412 | 2.662 | 2.912 | 3.162 | 1.412 | 1.662 | 1.912 | 2.162 | 2.412 | 2.662 | 2.912 | 3.162 |
Перевод в координаты Френкеля – Пула производиться по следующей схеме -
lg I/U = lg I – lg U = lg I – lg (
)2 = f (
), таким образом получаем:
| T,ºC | 100 | 150 | ||||||||||||||
| lg I/U, A/B | -9.25 | -9.2 | -9.13 | -9.04 | -8.95 | -8.84 | -8.72 | -8.6 | -8.85 | -8.84 | -8.81 | -8.77 | -8.72 | -8.65 | -8.58 | -8.5 |
|
| 1.412 | 1.662 | 1.912 | 2.162 | 2.412 | 2.662 | 2.912 | 3.162 | 1.412 | 1.662 | 1.912 | 2.162 | 2.412 | 2.662 | 2.912 | 3.162 |
Где пунктирными линиями обозначены аппроксимационные прямые:
-
Для T1 = 100 ºC
-
Для T2 = 150 ºC
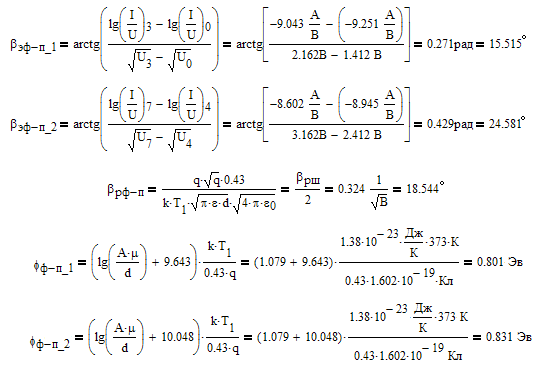
Тогда из уравнений прямых и полученных точек, аналогично пункту 1 и 2 имеем:
-
Для T1 = 100 ºC
-
Для T2 = 150 ºC
Вывод:
При 100 °С |βшэ - βшэ | ~ 0.5 º < |βф-пэ_1,2 – βф-пр_1,2| ~ 3º - 5º шоттковкий механизм токопрохождения более адекватен экспериментальным данным. Значения теоретических величин ближе, измеренным в эксперименте. Для данной плёнки характерна надбарьерная электронная эмиссия.
При 150 °С |βшэ - βшэ | ~ 2 º < |βф-пэ_1 – βф-пр_1| ~ 10 º (для
< 2.25
), что так же доказывает преобладание Шотткивского механизма токопрохождения., однако в более сильных полях (
< 2.25
) |βшэ - βшэ | ~ 2 º > |βф-пэ – βф-пр| ~ 0.5 º. Для этого промежутка более адекватным будет механизм по Пулу – Френкелю.
Решение:
1). Расчёт зависимости Eпр = f(T).
Пересчитаем данные координат по Пулу – Френкелю в lnδ = f(E)
lg(I/U) = lg (γ) = lg (δ*S/d) = lg (δ) + lg (S/d) = 2.3*( lg (δ) + lg (S/d))
E = U/d
| T,ºC | 100 | 150 | ||||||||||||||
| lnδ, 1/Ом*м | -4.09 | -4.07 | -4.04 | -3.99 | -3.96 | -3.91 | -3.86 | -3.81 | -3.92 | -3.91 | -3.89 | -3.88 | -3.85 | -3.82 | -3.80 | -3.76 |
| E, кВ | 2848 | 3946 | 5222 | 6677 | 8311 | 1012 | 1211 | 1428 | 2848 | 3946 | 5222 | 6677 | 8311 | 1012 | 1211 | 1428 |
Температурный коэффициент равен:
Полевой коэффициент равен:
Расчёт зависимости Епр (Т) производиться по трансцендентному уравнению:
Пробивная напряжённость входит в него в не явном виде, для решения данного уравнения была использована вычислительная среда Mathcad 11:
| Епр, кВ | 4.70*105 | 4.60*105 | 4.53*105 | 4.47*105 | 4.42*105 | 4.38*105 | 4.34*105 | 4.30*105 | 4.28*105 | 4.70*105 |
| Т, К | 373 | 378 | 383 | 388 | 393 | 398 | 403 | 408 | 413 | 418 |
График зависимости:
7
Характеристики
Тип файла документ
Документы такого типа открываются такими программами, как Microsoft Office Word на компьютерах Windows, Apple Pages на компьютерах Mac, Open Office - бесплатная альтернатива на различных платформах, в том числе Linux. Наиболее простым и современным решением будут Google документы, так как открываются онлайн без скачивания прямо в браузере на любой платформе. Существуют российские качественные аналоги, например от Яндекса.
Будьте внимательны на мобильных устройствах, так как там используются упрощённый функционал даже в официальном приложении от Microsoft, поэтому для просмотра скачивайте PDF-версию. А если нужно редактировать файл, то используйте оригинальный файл.
Файлы такого типа обычно разбиты на страницы, а текст может быть форматированным (жирный, курсив, выбор шрифта, таблицы и т.п.), а также в него можно добавлять изображения. Формат идеально подходит для рефератов, докладов и РПЗ курсовых проектов, которые необходимо распечатать. Кстати перед печатью также сохраняйте файл в PDF, так как принтер может начудить со шрифтами.
















