РПЗ (954379), страница 6
Текст из файла (страница 6)
;
Т.к. ОС<0,1, то матрица парных сравнений критериев – согласованная.
| Качественная оценка | Отлично | Хорошо | Удовл. | Плохо |
| Количественная оценка | 1 | 0,8 | 0,6 | 0,4 |
| Табл. 3.13 Шкала перевода качественных характеристик в количественные | ||||
| Критерий | Весовой коэффициент | D-link DFL-860E | MikroTik RouterBOARD 750GL | Cisco RV082 |
| Количество портов | 0,31 | 1 | 0,6 | 1 |
| Удобство настройки | 0,09 | 0,8 | 0,6 | 1 |
| Производительность (Мбит/с) | 0,53 | 1 | 0,5 | 1 |
| Стоимость (руб.) | 0,07 | 0,5 | 1 | 0,7 |
| | 0,947 | 0,575 | 0,979 | |
| Табл. 3.14 Таблица нормированных коэффициентов. | ||||
В результате выбираем Cisco RV082.
-
Выбор оборудования сети и особенности его эксплуатации
Выбор оборудования сети проводим на примере выбора сервера ЛВС. Сравнение двухпроцессорных серверных решений будем производить из следующих моделей:
-
HP Proliant ML370 G6
-
IBM x3400 M3
-
PowerEdge T420
Сравнительные характеристики этих серверов представлены в таблице 4.1.
| Параметры сравнения | HP Proliant ML370G6 | IBM x3400 M3 | PowerEdge T420 |
| Максимальное кол-во процессоров | до 2-х | до2-х | до 2-х |
| Тактовая частота ЦП(Ггц) | 2,6 | 2,4 | 2,4 |
| Кэш L3(Мбайт) | 12 | 12 | 10 |
| Объем рабочей ОП(Гбайт) | 6 | 4 | 2 |
| Количество портов PCI | 9 | 8 | 6 |
| Емкость диска(Гбайт) | 500 | 500 | 500 |
| Скорость вращения диска(об./мин) | 10000 | 7200 | 10000 |
| Надежность дисков | Отлично | Отлично | Оч. хорошо |
| Электропитание(Вт) | 750 | 920 | 750 |
| Гарантия(года) | 3 | 3 | 3 |
| Стоимость (тысяча рублей) | 65 | 52 | 47 |
| Табл. 4.1 Сравнительные характеристики серверов | |||
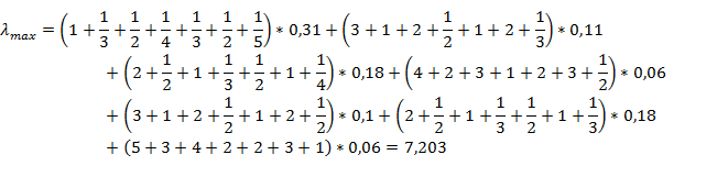
| К1 | К2 | К3 | К4 | К5 | К6 | К7 | Собствен. вектор |
| |
| К1 | 1 | 3 | 2 | 4 | 3 | 2 | 5 | 2,6 | 0,31 |
| К2 | 1/3 | 1 | 1/2 | 2 | 1 | 1/2 | 3 | 0,9 | 0,11 |
| К3 | 1/2 | 2 | 1 | 3 | 2 | 1 | 4 | 1,57 | 0,18 |
| К4 | 1/4 | 1/2 | 1/3 | 1 | 1/2 | 1/3 | 2 | 0,54 | 0,06 |
| К5 | 1/3 | 1 | 1/2 | 2 | 1 | 1/2 | 2 | 0,85 | 0,1 |
| К6 | 1/2 | 2 | 1 | 3 | 2 | 1 | 3 | 1,51 | 0,18 |
| К7 | 1/5 | 1/3 | 1/4 | 1/2 | 1/2 | 1/3 | 1 | 0,39 | 0,06 |
| Табл. 4.2 Матрица парных сравнений критериев | |||||||||
При построение таблицы использовалась следующая вербально-числовая шкала превосходств:
| Равное превосходство | 1 |
| Слабое превосходство | 2 |
| Среднее превосходство | 3 |
| Превосходство выше среднего | 4 |
| Умеренно сильное превосходство | 5 |
| Сильное превосходство | 6 |
| Очень сильное превосходство | 7 |
| Табл. 4.3 Вербально-числовая шкала превосходств | |
Оценим степень согласованности таблицы парных сравнений критериев:
;
Т.к. ОС<0,1, то матрица парных сравнений критериев – согласованная.
| Качественная оценка | Отлично | Хорошо | Удовл. | Плохо |
| Количественная оценка | 1 | 0,8 | 0,6 | 0,4 |
| Табл. 4.4 Шкала перевода качественных характеристик в количественные | ||||
| Критерий | Весовой коэффициент | HP Proliant ML370G6 | IBM x3400 M3 | PowerEdge T420 |
| Тактовая частота ЦП | 0,31 | 1 | 0,5 | 0,5 |
| Кэш L3и Объем ОП | 0,11 | 1 | 0,49 | 0,26 |
| Количество портов PCI | 0,18 | 1 | 1 | 0,5 |
| Скорость вращения диска | 0,06 | 1 | 0,38 | 1 |
| Надежность дисков | 0,1 | 0,9 | 1 | 0,9 |
| Электропитание | 0,18 | 1 | 0,5 | 1 |
| Стоимость | 0,06 | 0,26 | 0,49 | 1 |
| | 0,9456 | 0,6311 | 0,6636 | |
| Табл. 4.4 Таблица нормированных коэффициентов. | ||||
В результате выбираем HP Proliant ML370G6.
-
Настройка рабочих параметров сетевой ОС
Windows Server 2000 – это серверная платформа способна функционировать как сервер файлов, печати, приложений или Web-сервер. В основе Windows 2000 лежит набор служб инфраструктуры, основанный на Active Directory, централизующей управление сетевыми ресурсами, пользователями, группами и службами безопасности. Windows 2000 Server поддерживает системы, включающие до четырех процессоров и ОЗУ объемом до 4 Гб. Также она включает функции для эффективного обслуживания рабочих групп и филиалов организаций и совместного использования серверов файлом, печати, Web-серверов и коммуникационных серверов. Windows Server 2000 идеально подходит для малого и среднего бизнеса.
Настройка параметров, производимая в реестре:
-
В реестре Windows Server 2000 находим “HKLM \SYSTEM\ CurrentControlSet\ Services\ Tcpip\ Parameters\ Interfaces\ interfaceGUID” и устанавливаем MTU (Maximum Transmission Unit) в значение 1500 байт.
-
MSS (Maximum Segment Size - Максимальный Размер Сегмента) определяется разностью MTU и размера заголовков. Оставим по умолчанию = 1460;
Другие настройки:
-
Установив значение LargeSystemCache в 0, тем самым устанавливается стандартный размер кэша файловой системы, который равен приблизительно 8 Мб, максимальный размер кэша файловой системы не будет превышать 512 Мб. Эта установка рекомендуется для таких программ, которые осуществляют кэширование памяти самостоятельно, и к таким программам относится SyBase ASE.
-
Отключим режим экономии энергии, который тоже может замедлять некоторые операции, можно с помощью ключа IdleFrom0Delay.
-
Когда оперативной памяти предостаточно, с помощью установки DisablePagingExecutive можно не позволять SyBase ASE вытеснять в файл подкачки компоненты драйверов привилегированного и непривилегированного режимов, как и компоненты самого ядра ОС.
-
DontVerifyRandomDrivers в единицу позволяет сэкономить несколько процессорных циклов за счёт отключения отладочной проверки драйверов:
[HKEY_LOCAL_MACHINE\SYSTEM\CurrentControlSet\Control\Session Manager\Memory Management]















