РПЗ_2 (954223), страница 5
Текст из файла (страница 5)
Попарное сравнение критериев.
| Критерий № | 1 | 2 | 3 | 4 | 5 | 6 | 7 | 8 | ai | Н.В.(Кj) |
| 1 | 1 | 5 | 2 | 7 | 4 | 3 | 5 | 3 | 3,255 | 0,320 |
| 2 | 0,20 | 1 | 0,5 | 5 | 3 | 1 | 5 | 2 | 1,403 | 0,138 |
| 3 | 0,50 | 2 | 1 | 5 | 3 | 3 | 4 | 2 | 2,087 | 0,205 |
| 4 | 0,14 | 0,2 | 0,2 | 1 | 0,25 | 0,33 | 1 | 0,5 | 0,352 | 0,035 |
| 5 | 0,25 | 0,33 | 0,3 | 4 | 1 | 1 | 4 | 1 | 0,901 | 0,089 |
| 6 | 0,33 | 1 | 0,3 | 3 | 1 | 1 | 2 | 2 | 1,035 | 0,102 |
| 7 | 0,20 | 0,2 | 0,3 | 1 | 0,25 | 0,5 | 1 | 2 | 0,473 | 0,046 |
| 8 | 0,33 | 0,5 | 0,5 | 2 | 1 | 0,5 | 0,5 | 1 | 0,672 | 0,066 |
| ∑ | 2,96 | 10,23 | 5,11 | 28,00 | 13,50 | 10,33 | 22,50 | 13,50 | 10,179 | 1,000 |
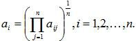
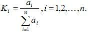
- компоненты собственного вектора матрицы критериев
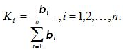
- нормализованные оценки вектора локальных приоритетов криериев
Проверка ограниченности оценок приоритетов необходима, так как не всегда можно исходить из ограниченности всех оценок. Индекс согласованности в каждой матрице и для всей иерархии может быть получен приближенно. Сначала суммируется каждый столбец суждений, затем сумма первого столбца умножается на величину первой компоненты нормализованного вектора приоритетов, сумма второго столбца – на вторую компоненты и т.д. Затем полученные числа суммируются. Таким образом, можно получить величину, характеризующую наибольшее собственное значение матрицы суждений и обозначаемую λmax:
λmax= 2,96*0,32+10,23*0,38+5,11*0,205+…+13,5*0,066=8,555
Индекс согласованности (ИС) определяем по формуле:
Где n– число сравниваемых элементов.
Индекс согласованности сравнивается со случайным индексом (СИ), сгенерированным случайным образом по шкале от 1 до 9 обратно симметричной матрицы с соответствующими обратными величинами элементов.
Среднее значение индекса согласованности (однородности) случайным образом составленной матрицы попарных сравнений, порядок которой равен восьми, составляет 1,40
Отношение ИС к среднему СИ для матриц того же порядка называют отношением согласованности (ОС). Значение ОС ≤ 0,1 считается приемлемым. При этом матрицы сравнения пар с ОС ≤ 0,1 рассматриваются в качестве достаточно ограниченных, а для матриц с ОС > 0,1 следует проводить проверку и пересмотр оценок сравнения пар.
Отношение согласованности суждений равняется:
ОС = 0.077 / 1,40 = 0,057 (5.7%),
который соответствует рекомендуемому требованию, согласно которому данный показатель не должен превышать 10%, то есть суждения являются однородными и логичными.
Д
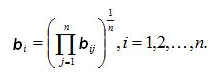
алее представим нормализованные оценки вектора приоритета серверов по указанным выше критериям. Расчет осуществляется таким же образом.
- компоненты собственного вектора матрицы вариантов
- нормализованные оценки вектора вариантов
| Тактовая частота ЦП | Fujitsu Primergy RX300 S6 | HP ProLiant DL380 G7 | Dell PowerEdge R710 | bi | Н.В. (K) |
| Fujitsu Primergy RX300 S6 | 1 | 0,5 | 0,5 | 0,63 | 0,200 |
| HP ProLiant DL380 G7 | 2 | 1 | 1 | 1,26 | 0,400 |
| Dell PowerEdge R710 | 2 | 1 | 1 | 1,26 | 0,400 |
| ∑ | 5,00 | 2,50 | 2,50 | 3,15 | 1 |
| λmax= | 3,00 | ||||
| ИС= | 0,00 | ||||
| ОС= | 0,00 |
| Объем рабочей ОП и КЭШ -2 | Fujitsu Primergy RX300 S6 | HP ProLiant DL380 G7 | Dell PowerEdge R710 | bi | Н.В. |
| Fujitsu Primergy RX300 S6 | 1 | 1 | 0,5 | 0,79 | 0,260 |
| HP ProLiant DL380 G7 | 1 | 1 | 1 | 1 | 0,327 |
| Dell PowerEdge R710 | 2 | 1 | 1 | 1,26 | 0,413 |
| ∑ | 4,00 | 3,00 | 2,50 | 3,05 | 1 |
| λmax= | 3,05 | ИС=0 | ОС= | 0,00 |
| Объем поддерживаемой ОП | Fujitsu Primergy RX300 S6 | HP ProLiant DL380 G7 | Dell PowerEdge R710 | bi | Н.В. |
| Fujitsu Primergy RX300 S6 | 1 | 1 | 1 | 1 | 0,333 |
| HP ProLiant DL380 G7 | 1 | 1 | 1 | 1 | 0,333 |
| Dell PowerEdge R710 | 1 | 1 | 1 | 1 | 0,333 |
| ∑ | 3,00 | 3,00 | 3,00 | 3 | 1 |
| λmax= | 3,00 | ИС= | 0,00 | ОС= | 0,00 |
| Количество портов PCI | Fujitsu Primergy RX300 S6 | HP ProLiant DL380 G7 | Dell PowerEdge R710 | bi | Н.В. | ||||||||
| Fujitsu Primergy RX300 S6 | 1 | 0,5 | 2 | 1 | 0,256 | ||||||||
| HP ProLiant DL380 G7 | 2 | 1 | 4 | 2 | 0,512 | ||||||||
| Dell PowerEdge R710 | 1 | 0,75 | 1 | 0,91 | 0,232 | ||||||||
| ∑ | 4,00 | 2,25 | 7,00 | 3,91 | 1 | ||||||||
| λmax= | 3,80 | ИС= | 0,00 | ОС= | 0,00 | ||||||||
| Емкость диска | Fujitsu Primergy RX300 S6 | HP ProLiant DL380 G7 | Dell PowerEdge R710 | bi | Н.В. | ||||||||
| Fujitsu Primergy RX300 S6 | 1 | 1 | 1 | 1 | 0,333 | ||||||||
| HP ProLiant DL380 G7 | 1 | 1 | 1 | 1 | 0,333 | ||||||||
| Dell PowerEdge R710 | 1 | 1 | 1 | 1 | 0,333 | ||||||||
| ∑ | 3,00 | 3,00 | 3,00 | 3 | 1 | ||||||||
| λmax= | 3,00 | ИС= | 0,00 | ОС= | 0,00 | ||||||||
| Электропитание | Fujitsu Primergy RX300 S6 | HP ProLiant DL380 G7 | Dell PowerEdge R710 | bi | Н.В. | ||||||||
| Fujitsu Primergy RX300 S6 | 1 | 2 | 3 | 1,82 | 0,552 | ||||||||
| HP ProLiant DL380 G7 | 0,5 | 1 | 2 | 1 | 0,304 | ||||||||
| Dell PowerEdge R710 | 0,33 | 0,33 | 1 | 0,48 | 0,145 | ||||||||
| ∑ | 1,83 | 3,33 | 6,00 | 3,29 | 1 | ||||||||
| λmax= | 2,89 | ИС= | 0,00 | ОС= | 0,00 | ||||||||
| Гарантия | Fujitsu Primergy RX300 S6 | HP ProLiant DL380 G7 | Dell PowerEdge R710 | bi | Н.В. | ||||||||
| Fujitsu Primergy RX300 S6 | 1 | 1 | 1 | 1 | 0,333 | ||||||||
| HP ProLiant DL380 G7 | 1 | 1 | 1 | 1 | 0,333 | ||||||||
| Dell PowerEdge R710 | 1 | 1 | 1 | 1 | 0,333 | ||||||||
| ∑ | 3,00 | 3,00 | 3,00 | 3 | 1 | ||||||||
| λmax= | 3,00 | ИС= | 0,00 | ОС= | 0,00 | ||||||||
| Стоимость | Fujitsu Primergy RX300 S6 | HP ProLiant DL380 G7 | Dell PowerEdge R710 | bi | Н.В. | ||||||||
| Fujitsu Primergy RX300 S6 | 1 | 0,5 | 0,33 | 0,55 | 0,124 | ||||||||
| HP ProLiant DL380 G7 | 2 | 1 | 2 | 1,59 | 0,359 | ||||||||
| Dell PowerEdge R710 | 3 | 4 | 1 | 2,29 | 0,517 | ||||||||
| ∑ | 6,00 | 5,50 | 3,33 | 4,43 | 1 | ||||||||
| λmax= | 4,44 | ИС= | 0,00 | ОС= | 0,00 | ||||||||
Окончательный выбор сервера осуществляется на основе результатов аддитивной свертки критериев по каждому из серверов и выбора наибольшего значения
















