РПЗ (954023), страница 8
Текст из файла (страница 8)
Рассмотрим эти варианты.
Считаем, что в исходном состоянии без использования репликаций, базы данных размещаются оптимально в соответствии с вариантом 4, приведенным в таблице 7.5.
Дальнейшая оптимизация работы базы данных предусматривает уменьшение суммарного количества обращений ко всем БД за счет создания реплик БД Рассматриваем следующие варианты создания реплик:
Вариант 1а - создаем только одну реплику для той БД, которая дает наибольший выигрыш в уменьшении суммарного количества обращений ко всем БД.
Вариант 1б - создаем три реплики для тех БД, которые дают наибольший выигрыш в уменьшения суммарного количества обращений ко всем БД в сети.
Вариант 1в - создаем только одну реплику для каждой БД
Вариант 1а
Создаем только одну реплику для той БД, которая дает наибольший выигрыш в уменьшении суммарного количества обращений ко всем БД.
Таблица 7.11
Вариант размещения БД и одной реплики по узлам сети
|
| БД1 | БД2 | БД3 | БД4 | БД5 | БД6 | БД7 | БД8 | БД9 | БД10 | Оценка |
| Узел | У5 | У2 | У4 | У3 | У5 | У2 | У5 | У6 | У5 | У5 |
|
| Число обр. | 239,5 | 840 | 1425 | 210 | 402 | 280 | 2500 | 1110 | 240 | 1386,5 | 8633 |
| Реплики |
|
|
|
|
|
| У7 |
|
|
|
|
| Число обр. | 239,5 | 840 | 1425 | 210 | 402 | 280 | 1724,2 | 1110 | 240 | 1386,5 | 7857,173 |
Суммарное количество обращений к базам данных в сети снизилось на 8,99%
Вариант 1б
Создаем только три реплики для тех БД, которые дают наибольший выигрыш в уменьшения суммарного количества обращений ко всем БД в сети.
Таблица 7.12
Вариант размещения БД и трех реплик по узлам сети
|
| БД1 | БД2 | БД3 | БД4 | БД5 | БД6 | БД7 | БД8 | БД9 | БД10 | Оценка |
| Узел | У5 | У2 | У4 | У3 | У5 | У2 | У5 | У6 | У5 | У5 |
|
| Число обр. | 239,5 | 840 | 1425 | 210 | 402 | 280 | 2500 | 1110 | 240 | 1386,5 | 8633 |
| Реплики |
|
|
|
|
|
| У7, У3 | У5 |
|
|
|
| Число обр. | 239,5 | 840 | 1425 | 210 | 402 | 280 | 1291,0 | 686,3 | 240 | 1386,5 | 7000,209 |
Суммарное количество обращений к базам данных в сети снизилось на 18,91%
Вариант 1в
Для каждой БД создаем только одну реплику, которая дает наибольший выигрыш в уменьшения суммарного количества обращений ко всем БД.
Таблица 7.13
Вариант размещения БД и одной их реплики по узлам сети
|
| БД1 | БД2 | БД3 | БД4 | БД5 | БД6 | БД7 | БД8 | БД9 | БД10 | Оценка |
| Узел | У5 | У2 | У4 | У3 | У5 | У2 | У5 | У6 | У5 | У5 |
|
| Число обр. | 239,5 | 840 | 1425 | 210 | 402 | 280 | 2500 | 1110 | 240 | 1386,5 | 8633 |
| Реплики | У3 | У4 | У5 | У5 | У7 | У4 | У7 | У5 | У3 | У3 |
|
| Число обр. | 172,1 | 591,8 | 1104,2 | 152,1 | 270,5 | 197,3 | 1724,2 | 686,3 | 176,4 | 1115,6 | 6190,422 |
Суммарное количество обращений к базам данных в сети снизилось на 28,29%
-
Аналитическое моделирование сети
-
Исходные данные
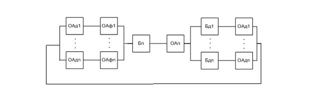
Формализованная схема РСОД в виде сети массового обслуживания (СМО) приведена на рисунке 8.1. В нее входят 14 рабочих станций и сервер (ЦП и диски).
Рис. 8.1. Формализованная схема РСОД в виде СМО
В схеме используются следующие обозначения:
- обслуживающий аппарат, имитирующий дообработку на i-той рабочей станции сети запроса от этой станции к серверу после обработки запроса на сервере;
- обслуживающий аппарат, имитирующий формирование запроса от i-той рабочей станции к серверу (
);
- буфер, имитирующий очередь запросов к процессору;
- обслуживающий аппарат, имитирующий работу процессора.
- буфер, имитирующий очередь запросов к i-му диску;
- обслуживающий аппарат, имитирующий работу i-го диска.
Обслуживание заявок во всех ОА подчиняется экспоненциальному закону.
Исходными данными аналитической модели являются:
Таблица 8.1
| Обозначение | Описание |
| N | число рабочих станций сети |
| Т0 | среднее значение времени дообработки на рабочей станции сети запроса от этой станции к базе данных на сервере |
| Тр | среднее значение времени формирования запроса от рабочей станции сети к базе данных на сервере |
| С | число процессоров сервера |
| tцп | среднее значение времени обработки запроса в ЦП сервера |
| tдi | среднее значение времени обработки запроса в диске сервера |
| Рi | вероятность обращения запроса к i диску сервера после обработки запроса в процессоре |
Выходными характеристиками аналитической модели являются:
Таблица 8.2
| Обозначение | Описание |
| Треак | среднее значение времени реакции системы |
| rпрi | коэффициент загрузки ОА, имитирующего работу i–ого процессора сервера |
| rдi | коэффициент загрузки ОА, имитирующего работу i–ого диска сервера |
Введём следующие обозначения:
lф1 – среднее значение суммарной интенсивности фонового потока запросов, выходящих из ОА, имитирующих работу рабочих станций, в канал
















