лекции по финкреду (931528), страница 9
Текст из файла (страница 9)
1. Определение базовой рентабельности
ожидаемая прибыль запрошлый год Пожид
Гбаз = = 100 /о
полная себестоимость продукции за год Спот
-
исчисление изменения себестоимости в планируемом году, определение прибыли, исходя из базовой рентабельности.
-
Учет влияния на прибыль различных факторов:
-
снижение себестоимости;
-
повышение качества;
-
изменение ассортимента;
-
изменение цен.
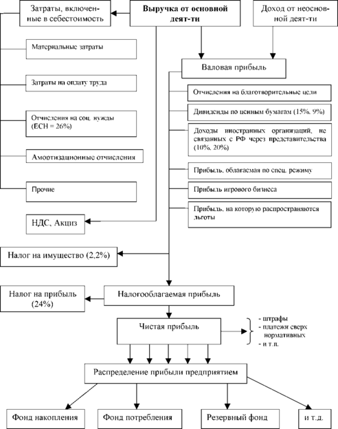
9.10.2 Формирование и распределение прибыли
9.10.3 Распределение прибыли
Распределение прибыли - это процесс, обеспечивающий покрытие потребностей субъектов хозяйствования и формирование доходов государства.
Принципы распределения прибыли
-
Выполнение обязательств перед гос-ом и удовлетворение собственных нужд предприятия.
-
Распределение прибыли должно способствовать увеличению эффективности производства и стимулировать его развитие.
-
Предъявление одинаковых требований к предприятиям различных форм собственности.
-
Использование прибыли по своему усмотрению, кроме той части, которая используется в соответствии с законом.
9.11 Особенности ФП
♦♦♦ Особенности финансов предприятий, осуществляющих некоммерческую деятельность
Гражданский кодекс (ст. 50) дает следующее определение некоммерческих организаций: Некоммерческие организации - организации, не имеющие извлечение прибыли в качестве основной цели и не распределяющие полученную прибыль между участниками. Некоммерческая деятельность - это оказание следующих услуг:
-
социального характера;
-
управленческих;
-
по охране общественного порядка;
-
по обороне страны.
Т.е. это организации образования, здравоохранения, культуры (театры, музеи, библиотеки и др.), военные организации, нотариальные и юридические конторы, органы управления и т.п.
Источники финансирования
Эти организации оказывают услуги как платные, так и бесплатные.
Причем некоторые из них предоставляют только бесплатные услуги (охрана общественного порядка, библиотеки и др.), некоторые только платные услуги (театры, юридические и нотариальные конторы), а некоторые сочетают. Источниками финансирования являются:
-
общегосударственные ресурсы (бюджет и внебюджетные фонды);
-
выручка от основной деятельности;
-
дотации;
-
выручка от сдачи в аренду помещений;
-
добровольные взносы;
-
банковские кредиты (если организация имеет самостоятельный баланс и расчетный счет)
Имеют место следующие варианты финансирования:
-
сметное;
-
самофинансирование и самоокупаемость;
-
сочетание 1 и 2 варианта.
При сметном финансировании:
-
основные услуги бесплатные;
-
финансовые ресурсы: бюджетные и внебюджетные;
-
средства предусматриваются сметой доходов и расходов (у некоторых только сметой расходов).
При самофинансировании: затраты полностью возмещаются реализацией услуг. Бюджетное финансирование осуществляется на основе установленных нормативов на заплату, на фонды производственного и социального назначения и т.п.
Платные услуги предоставляются в соответствии с прейскурантом цен или договором, где оговариваются тарифы.
Средства, полученные в результате оказания платных услуг
-
не являются источником личных доходов;
-
покрывают расходы предприятия;
-
образуют фонд развития;
-
не изымаются у предприятия;
-
не снижают бюджетного финансирования.
Финансовый механизм основан на сочетании всех видов финансирования: бюджетного, платности услуг, оплаты работ по договорам. Система оплаты труда. Предприятие имеет право:
-
в пределах фонда зарплаты самостоятельно устанавливать оклады
-
вводить или отменять поощрительные надбавки
-
устанавливать доплаты за совмещение профессий и т.д. Особенности планирования.
Предприятия разрабатывают свои планы самостоятельно. Но в планировании имеются особенности, заключающиеся в том, что
-
учреждения, финансируемые только из бюджета, составляют смету расходов;
-
учреждения, финансируемые не только из бюджета, составляют сметы доходов и расходов.
Отличие смет от финансового плана заключается в том, что в сметах некоммерческих предприятий расписываются более детально расходы, а доходы отражаются лишь как источники.
При составлении сметы используются:
-
контрольные цифры: количество школьников, количество ставок, количество коек, объем и количество услуг. Контрольные цифры отражают специфику учреждения, не носят директивный характер, являются ориентирами.
-Экономические нормативы: Б. финансирование, образование фондов заработной платы, валютные отчисления и т.д.
♦♦♦ Особенности финансов общественных организаций
Общественные объединения создаются на основе принадлежности людей к одной профессии, общности интересов, решения задач идеологического или общегражданского значения.
Источники финансовых ресурсов
На организацию финансов оказывает влияние, то что эти объединения добровольные и основным источником ресурсов являются членские взносы и добровольные взносы. У данных организаций может быть и неосновная деятельность: они могут иметь подсобные
хозяйства, могут оказывать платные услуги (например, вести курсы кройки и шитья, спортивные секции).
Прибыль не является личным доходом отдельных членов. Она идет на обслуживание деятельности организации и это отражено в уставе.
Общественные объединения, как правило, не имеют финансовых обязательств перед государственным бюджетом. Так, освобождены от уплаты налогов общественные организации инвалидов, ветеранов войн, Общество Красного Креста и красного Полумесяца и др.
Расходы на общественную деятельность осуществляются согласно уставу:
-
Расходы на международные связи (уплата взносов в международные спортивные федерации, заявочные взносы);
-
На приобретение имущества;
-
На содержание зданий, спортивных сооружений;
-
Оказание помощи пострадавшим;
-
Зарплата сотрудникам;
-
Др.
Особенности финансов предприятий, осуществляющих коммерческую деятельность
(см. лекцию по финансам предприятий)
Источники финансовых ресурсов: собственные средства, привлеченные средства (заемные и незаемные).
Первоначальное формирование финансовых ресурсов происходит в момент учреждения предприятия, когда образуется уставный фонд.
Использование средств:
-
Инвестирование средств в производство;
-
Создание денежных фондов производственного и социального назначения;
-
Расчеты с бюджетом;
-
Благотворительность и др.
Финансовое планирование ориентируется на реальное получение средств, осуществляется предприятием самостоятельно и имеет 4 раздела:
-
доходы и поступление средств;
-
расходы и отчисление средств;
-
кредитные взаимоотношения;
-
взаимоотношения с бюджетом.
Субъекты хозяйствования вправе самостоятельно распределять выручку от реализации продукции и услуг.
10. Страхование
10.1 Сущность страхования. Признаки и функции.
Страхование (С.) - совокупность особых перераспределительных отношений между его участниками в связи с формирование целевого страхового фонда за счет Д. взносов участников и в связи с использованием его для возмещения ущерба субъектам хозяйствования или ФЛ при происшедшем событии, который является страховым случаем.
В С. реализуются и индивидуальные и коллективные интересы в защите.
Признаки страхования:
-
Перераспределение ст-ти общественного продукта
-
г
Прераспределительные отношения, обусловленные вероятностью наступления страхового случая
m
►
►
тяжесть
тяжесть последствия
бытовые
авиакатастрофы последствия
m - частота наступления
Треугольник Хайнриха
событие
-
Предусматривается распределение ущерба во времени
-
Замкнутость раскладки ущерба (покрытие ущерба на одной территории)
Функции страхования:
-
Распределительная
-
рисковая
-
сберегательная
-
предупредительная (связана с использованием части ср-в страхового фонда на уменьшение степени последствий или на исключение страхового риска)
-
Контрольная (выражается в строго целевом формировании и использовании ср-в страхового фонда)
-
Предупредительные мероприятия:
-
пожарные
-
по борьбе с болезнями животных
-
профилактика простудных заболеваний
-
ДТП
-
противоселевые и противопаводковые мероприятия 10.2 Понятия и термины в страховании
-
Участники:
-
Страховщики - ЮЛ любой ОПФ
-
Страхователи - ЮЛ и ФЛ, имеющие страховой интерес и вступающие в страховые отношения либо в силу закона, либо добровольно
-
-
Страховой интерес -
-
экономическая потребность в страховании
-
величина страховой суммы, в которую оценивается ущерб в связи с возможными потерями
-
-
Страховая сумма - размер Д. ср-в, на которые фактически застраховано имущество,
жизнь, здоровье
По имущественному страхованию страховая сумма не может превышать реальной стоимости имущества. По личному страхованию - зависит от материальных возможностей страхователя и наличия желания страховаться на ту или иную сумму.
-
Страховое возмещение - причитающаяся к выплате страх, сумма страхователю (шах возмещение < X страхования)
-
Страховой взнос (платеж, премия) - плата в рублях с совокупной страховой суммы (может быть разовой и периодической)
-
Страховая тарифная ставка - цена страхового риска или плата с единицы страховой суммы (единица =100 руб.)
Структура страховой тарифной ставки
Страховая тарифная ставка (Брутто-ставка):
-
Нетто-ставка (идет на все выплаты страховых сумм и возмещений. Для этой цели формируются страховые резервные фонды)
-
Нагрузка (на ведение дела и формирование прибыли страховой компании)
_ Нетто - ставка .
Ьрутто-ставка = , где а - удельный вес нагрузки
1-d
-
Страховая ответственность - обязанность страховщика выплатить страховое возмещение или страховую сумму в оговариваемых случаях.
-
Страховой риск -
-
вероятность нанесения ущерба от страхового случая (вычисляется математически и является основой расчета основных тарифных ставок)
-
конкретный объект страхования по страховой сумме и степени вероятности ущерба.
-
-
Сострахование - разделение крупного риска на несколько страховщиков по договору с целью выравнивания страх, рисков.
-
Перестрахование - передача части отв-ти по взятым рискам другим страховщикам (страхование самого страховщика)
10.3 Источники средств и направления их использования
Источники средств:
-
Основные собственные средства - УК
min УК = 30 млн. руб. К = 1 - для основных видов К = 2 - для страхования жизни (60 млн. руб.) К = 3 - для перестрахования
-
Страховые ср-ва или взносы страхователей (мобильные ср-ва)
-
Доходы от нестраховой деятельности
-
Средства из бюджета (по соц. и мед. страху)
Направления использования ср-в:
-
Выплаты страховых возмещений и сумм, для чего формируются страховые резервные фонды
-
Расходы на ведение дела
-
Расходы на предупредительные мероприятия
Страховые резервные фонды:
-
резерв по страхованию жизни
-
резервы по иным видам страхования
а) резерв незаработанной премии
б) резерв технических убытков
















