lektsia_perekhodnye_protsessy (824035), страница 3
Текст из файла (страница 3)
Энергия, рассеиваемая в сопротивлении r в течение всего переходного процесса, равна энергии, запасенной в электрическом поле до коммутации:
3. Включение в цепь r, С синусоидальной ЭДС.
При включении в цепь r, С синусоидальной ЭДС
установившееся напряжение на емкости
где
На основании (8.12)
Если предполагать, что конденсатор не был заряжен, то постоянная интегрирования определится по начальному условию
:
откуда
Тогда искомое напряжение на емкости будет:
а ток в цепи
Из написанных выражений видно, что если включение цепи r, С происходит в момент, когда установившийся ток должен достигать максимума – положительного или отрицательного (т. е.
), то свободной составляющей напряжения на емкости не возникает и в цепи сразу же без переходного процесса наступает установившийся режим.
8.4. Переходный процесс в цепи r, L, С
При включении в цепь r, L, С ЭДС
, рис. 8.12, переходный процесс исследуется с помощью дифференциального уравнения (8.4):
Соответствующее ему характеристическое уравнение (8.6)
имеет корни
где
Рис. 8.12. Включение цепи r, L, С.
Свободный ток согласно (8.7) равен:
Ток в цепи определяется суммой установившегося и свободного токов:
(8.18)
Установившийся ток находится в соответствии с заданной ЭДС
. Что касается свободного тока, то его характер зависит от знака подкоренного выражения (8.17).
Включение в цепь r, L, С постоянной ЭДС.
Рассмотрим случай, когда ЭДС источника постоянна
и емкость имеет начальное напряжение
Ввиду наличия индуктивности начальное значение тока
Исходное уравнение
для начального момента записывается в виде
откуда находится начальное значение производной
, которое является зависимым начальным условием, необходимым для вычисления
и
При установившемся режиме ток будет равен нулю, что следует из физического смысла, так как постоянный тон через конденсатор не проходит. Продифференцировав (8.18) с учетом того, что
, получим:
Подставляя в (8.18) и (8.20)
и используя (8.19), получаем:
Из этих уравнений следует:
поэтому
Подставляя корни характеристического уравнения
и
из (8.17) в
(8.21), получим выражение для тока в гиперболической форме
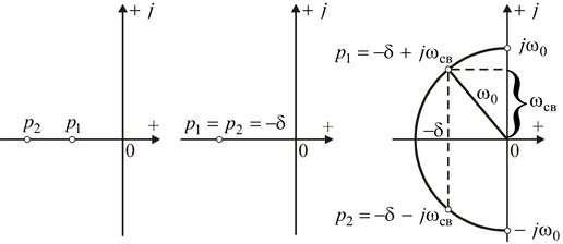
Рассмотрим возможные три случая.
Случай 1.
, т. е.
(апериодический процесс).
Рис. 8.13. Расположение корней характеристического
уравнения на комплексной плоскости.
Согласно (8.17) корни характеристического уравнения
и
- отрицательные действительные числа, рис. 8.13, а. При
, кривая
спадает медленнее, чем
. На рис. 8.14 показана кривая
, построенная по выражению (8.21).
Рис. 8.14. Апериодический процесс в цепи r, L, С.
Случай 2.
, т. е.
(критический случай).
Согласно (8.17) корни характеристического уравнения одинаковы:
(см. рис. 8.13, б).
Воспользоваться общим решением однородного дифференциального уравнения с кратными корнями:
В рассматриваемом случае
Следовательно,
Кривая тока аналогична кривой
на рис. 8.14.
Случай 3.
, т. е.
(колебательный процесс).
Корни характеристического уравнения комплексные и сопряженные:
где
Корни характеристического уравнения располагаются симметрично относительно действительной оси в левой полуплоскости, рис. 8.13, в. Величина
называется угловой частотой свободных или собственных колебаний, а
- периодом этих колебаний.
Общее решение однородного дифференциального уравнения с комплексно-сопряженными корнями:
Учитывая, что
окончательно получаем
Полученное выражение показывает, что в цепи возникают затухающие синусоидальные колебания, причем огибающими кривой тока служат кривые
рис. 8.15.
Рис. 8.15. Колебательный процесс при включении
в цепь r, L, С постоянной ЭДС.
О быстроте затухания колебательного процесса судят по величине
, называемой декрементом затухания, или величине
, называемой логарифмическим декрементом затухания.
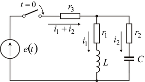
8.5. Расчет переходного процесса в разветвленной цепи
Переходный процесс в разветвленной линейной электрической цепи описывается системой линейных дифференциальных уравнений с постоянными коэффициентами, общее решение которых находится как сумма установившейся и свободной составляющих.
Установившийся режим в цепи зависит от вида источников ЭДС и тока (источники постоянной ЭДС и тока, синусоидальной ЭДС и тока…) и определяется известными методами расчета цепей.
Свободные составляющие представляют собой общее решение системы однородных линейных дифференциальных уравнений. Для нахождения решения составляется характеристическое уравнение. Его корни используются для нахождения в данной цепи свободных составляющих как токов, так и напряжений.
Методика получения характеристического уравнения иллюстрирована ниже на примере двухконтурной схемы, изображенной на рис. 8.16.
Рис. 8.16. Пример двухконтурной схемы.
Составляя уравнения для контуров схемы по второму закону Кирхгофа для мгновенных значений, получим:
Для получения характеристического уравнения применяется следующий прием. Система дифференциальных уравнений для свободных слагающих токов
записывается в символической алгебраической форме, при которой символ р заменяет операцию дифференцирования, а символ 1/р - операцию интегрирования:
Данная система уравнений имеет решение, отличное от нулевого, если определитель системы равен нулю, т. е.
Или
Таким образом, получается характеристическое уравнение второй степени
Характерическое уравнение гораздо легче получить, если воспользоваться «Методом входного сопротивления». Для этого:
- источники схемы заменяются их внутренними сопротивлениями (источники напряжения и ЭДС закорачиваются, а на месте источников тока производится разрыв схемы);
- элементы схемы заменяются их операторными аналогами
- производится разрыв любой ветви и относительно места разрыва определяется операторное входное сопротивление
- приравнивая к нулю операторное сопротивление
, получаем характеристическое уравнение.
Преобразуя схему, рис. 8.16, по «Методу входного сопротивления», получаем, рис. 8.17.
Рис. 8.17. Нахождение корней характеристического уравнения по
«Методу входного сопротивления».
Проводя разрыв ветви и источником ЭДС, и определяя входное сопротивление относительно точек разрыва, получаем:
Следует отметить, что более простое выражение всегда получается при разрыве ветви с емкостью.
Итак, в соответствии со сказанным выше расчет переходного процесса классическим методом проводится в следующем порядке:
-
Производится расчет режима до коммутации, из которого определяются независимые начальные условия.
-
Составляется система дифференциальных уравнений Кирхгофа, описывающая процесс в цепи после коммутации.
-
Находится общее решение системы однородных дифференциальных уравнений.
-
Находится тем или иным методом частное решение системы неоднородных дифференциальных уравнений, соответствующее принужденному (установившемуся) режиму цепи.
-
Определяются зависимые начальные условия на основании найденных в п. I независимых начальных условий и уравнений Кирхгофа из п. 2, примененных для t = 0.
-
По начальным условиям определяются постоянные интегрирования, содержащиеся в общем решении.
-
Найденные установившиеся и свободные токи и напряжения складываются.
















