lektsia_perekhodnye_protsessy (824035), страница 2
Текст из файла (страница 2)
Рис. 8.4. Включение цепи r, L, C.
Это уравнение после дифференцирования приводится к неоднородному дифференциальному уравнению второго порядка
Как известно, общий интеграл такого уравнения равен сумме частного решения неоднородного уравнения и общего решения однородного уравнения.
Частное решение выражает установившийся режим, задаваемый источником.
Общее решение определяет поведение цепи при отсутствии внешних источников электрической энергии и заданных начальных условиях. Функции, определяемые общим решением, называются свободными составляющими (токов, напряжений и пр.).
В случае, рассмотренном выше, однородное уравнение имеет вид:
и соответствующее ему характеристическое уравнение
Если корни характеристического уравнения обозначить через
и
, то общее решение запишется в виде:
где
и
- постоянные интегрирования, которые определяются из начальных условий (законов коммутации).
Полный переходный ток в цепи равен сумме установившегося и свободного токов:
Аналогично напряжение, заряд, магнитный поток и другие функции на любом участке цепи в переходном режиме состоят из установившейся и свободной составляющих.
В зависимости от порядка дифференциальных уравнений, описывающих исследуемые переходные процессы, различают цепи первого, второго и более высокого порядков.
8.3. Переходный процесс в цепи r, L
Положим, что в момент
цепь, состоящая из сопротивления r и индуктивности L, включенных последовательно, присоединяется к источнику ЭДС
, рис. 8.5.
Рис. 8.5. Включение цепи r, L.
Дифференциальное уравнение для времени
записывается в виде
Характеристическое уравнение имеет вид
и соответственно корень уравнения
Отсюда свободный ток
Переходный ток в цепи определится суммой установившегося и свободного токов:
Установившийся ток может быть найден, если задана ЭДС
.
Рассмотрим три случая:
-
включение в цепь r, L постоянной ЭДС Е;
-
короткое замыкание цепи r, L;
1. Включение в цепь r, L постоянной ЭДС.
При включении в цепь r, L постоянной ЭДС Е установившийся ток равен E/r. Поэтому согласно (8.9)
Постоянная интегрирования А находится по начальному условию
Здесь
- предельное значение, к которому стремится ток
по мере неограниченного возрастания t, называемое установившимся током.
На рис. 8.6 показаны кривые установившегося, свободного и переходного токов; на том же рисунке изображена кривая напряжения на индуктивности
Рис. 8.6. Установившийся, свободный и переходный токи
при включение в цепь r, L постоянной ЭДС.
Из курса математического анализа известно, что если
, то подкасательная равна
В данном случае при любом значении t
Величина
носит название постоянной времени. Постоянная времени измеряется в секундах.
Выражение (8.11) показывает, что постоянная времени графически определяется длиной подкасательной к кривой
или
, при любом значении t.
Нарастание тока происходит тем быстрее, чем меньше постоянная времени и соответственно чем быстрее убывает ЭДС самоиндукции. Для различных моментов времени ток в цепи, выраженный в процентах конечного (установившегося) значения составляет:
Следовательно, постоянная времени цепи r, L равна промежутку времени, в течение которого свободная составляющая тока убывает в е = 2,718 раза и соответственно ток в этой цепи, включенной на постоянное напряжение, достигает 63,2% своего установившегося значения.
Как видно из рис. 8.6 и приведенной выше таблицы, переходный процесс теоретически длится бесконечно долго. Практически же можно считать, что он заканчивается спустя
.
2. Короткое замыкание цепи r, L.
Положим, что цепь r, L присоединенная к источнику постоянного или переменного напряжения, замыкается при
накоротко, рис. 8.7, а. В образовавшемся при этом контуре r, L благодаря наличию магнитного поля индуктивной катушки ток исчезает не мгновенно. По мере того как энергия магнитного поля постепенно рассеивается, превращаясь в сопротивлении r в тепло, ток в контуре приближается к нулю.
Рис. 8.7. Короткое замыкание цепи r, L,
а – расчетная схема; б – кривая тока
и напряжения
.
Процесс, происходящий в короткозамкнутом контуре r, L, является свободным; установившийся ток в данном случае равен нулю.
Постоянная интегрирования А находится из начального условия
откуда
здесь
- значение тока в индуктивности в момент, непосредственно предшествовавший короткому замыканию; оно может быть положительным или отрицательным.
На рис. 8.7, б изображены кривые спада тока в короткозамкнутом контуре и кривая напряжения на индуктивности
Постоянная времени контура
может быть найдена графически как подкасательная к кривой
(например, в момент t = 0).
Переходный процесс в короткозамкнутом контуре заканчивается теоретически при
За это время в сопротивлении r выделяется в виде тепла энергия, запасенная в магнитном поле катушки до коммутации.
Так же как и в предыдущем случае, переходный процесс в короткозамкнутом контуре можно практически считать законченным спустя
.
3. Включение в цепь r, L синусоидальной ЭДС.
При включении в цепь r, L синусоидальной ЭДС
установившийся ток будет:
где
На основании (8.9)
Постоянная интегрирования определяется по начальному условию
Следовательно,
откуда
Поэтому искомый ток будет:
На рис. 8.8 изображены кривые
Начальные ординаты
одинаковы и противоположны по знаку, поэтому ток в начальный момент равен нулю. Свободный ток убывает по экспоненциальному закону.
Если в момент коммутации (t = 0) ток
проходит через нуль, т.е. выполняется условие
или
, то свободный ток не возникает и в цепи сразу наступает установившийся режим без переходного процесса.
Рис. 8.8. Установившийся, свободный и переходный токи
при включении в цепь r, L синусоидальной ЭДС.
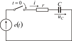
8.4. Переходный процесс в цепи r, С
Положим, что в момент t=0 цепь, состоящая из сопротивления r и емкости С, включенных последовательно, присоединяется к источнику ЭДС
, рис. 8.9.
Рис. 8.9. Включение цепи r, С.
На основании второго закона Кирхгофа уравнение для времени
записывается в виде:
здесь искомой величиной является напряжение па емкости.
Характеристическое уравнение
и соответственно корень уравнения
Следовательно, свободная слагающая напряжения на емкости
где
- постоянная времени контура r, С.
Переходное напряжение на емкости равно сумме принужденного и свободного напряжений:
В свою очередь ток в контуре
Рассмотрим три случая:
-
включение в цепь r, С постоянной ЭДС Е;
-
короткое замыкание цепи r, С;
-
включение в цепь r, С синусоидальной ЭДС
1. Включение в цепь r, С постоянной ЭДС.
Включим постоянную ЭДС Е в цепь с сопротивлением r и предварительно заряженной емкостью С,
Рис. 8.10. Ток и напряжение при включении в цепь r, С постоянной ЭДС.
Установившееся напряжение на емкости равно ЭДС источника. Поэтому согласно (8.12)
Постоянная интегрирования А, входящая в (8.14), находится по начальному условию:
При
имеем
откуда
. Следовательно,
Согласно (8.13) ток в контуре
Если
, то с течением времени напряжение на емкости возрастает, стремясь к установившемуся значению Е, а ток убывает, стремясь в пределе к нулю; на рис. 8.10, а изображены кривые нарастания
и спада
. Если
, то кривые
и
имеют вид, показанный на рис. 8.10, б.
Постоянная времени
может быть найдена так же, как раньше, графически как подкасательная к кривой
в любой точке (например, при
).
2. Короткое замыкание цепи r, С.
Замыкание накоротко цепи, состоящей из последовательно соединенных r и С, равносильно принятию в предыдущем случае ЭДС, равной нулю. Предполагается, что емкость С заряжена, т. е. в момент включения на выводах имеется напряжение
Положив в (8.15) и (8.16) ЭДС Е равной нулю, получим:
На рис. 8.11 изображены кривые спада
и
.
Рис. 8.11. Ток и напряжение при коротком замыкании цепи r, С.
В отличие от напряжения на емкости, которое изменяется непрерывно, ток в контуре r, С, пропорциональный скорости изменения
, совершает при
скачок.
















