вопросы (775560), страница 8
Текст из файла (страница 8)
Многие рецепторы гормонов находятся в плазматической мембране клеток. Исключением из этого правила являются стероидные гормоны, рецепторы которых находятся внутри клетки.
Многие пептидные гормоны и кохетоламины преобразуются в процессе активации мембранного фермента аденилатциклазы. Этот фермент катализирует синтез регуляторного нуклеотида - циклического АМФ (цАМФ). В клетках эукариот цАМФ активизирует его зависимые протеинкиназы, которые фосфорилируют функциональные или структурные протеины. Как результат - ингибируется или активизируется синтез специфических биомолекул. Последние могут изменять транспорт ионов, механическую активность клеток и вызывать другие ответные реакции.
Сигнал гормона в сигнал цАМФ преобразуется в плазматической мембране за счет взаимодействия рецептора, регуляторного N- белка и аденилатциклазы (N- белок влияет на активность Ац).
Существенно, что состояние липидного бислоя влияет на скорость этих реакций образования. Например, действие лазера существенно влияет на коэффициенты латеральной диффузии рецепторов, вызывая фотоокисление.
Межклеточное взаимодействие и кооперация клеток связаны с клеточной рецепцией и медиацией, нарушение которой ведет к разнообразной патологии клеток.
36. Какой вид имеет дифференциальное уравнение, описывающее простейшие представления Бернштейна?
Равновесный потенциал находим из условий равенства электрохимических потенциалов проникающего иона внутри и снаружи, т.е по двум сторонам мембраны
Величина
называется мембранным потенциалом. Мы будем называть безразмерным мембранным потенциалом величину:
Теперь уравнение равновесного потенциала (уравнение Нернста) может быть записано в довольно простом виде:
В 1902 году Бернштейн выдвинул гипотезу, согласно которой потенциал покоя обусловлен тем, что цитоплазматическая мембрана проницаема для ионов калия (+) и на ней создается потенциал, описываемый уравнением Нернста. Опыты проводились на кальмарах и каракатицах, их длинные тяжи - это толстые аксоны, на которых удобно измерить как мембранный потенциал, так и концентрацию внутриклеточного раствора.
Это предположение было подтверждено многими исследователями. Калиевая теория потенциала покоя до конца несовершенна и не объясняет все факты.
37. Изменение энтропии в открытых системах. Постулат Пригожина
Живые сис-ы являются открытыми, изменение энтропии будет складываться из продукции энтропии внутри организма за счет биохим процессов.
dS=dis+des
dis-продукция энтропии внутри системы
des-обмен энтропии с окруж. ср.
Скорость изменения энтропии в орг-ме = алгебраической сумме производства энтропии внутри организма и скорости поступления энтропии из внеш ср в орг-м.
Скорость изменения энтр в орг-е:
dS/dt=dis/dt+des/dt dS/dt
dis/dt-скорость энтр внутри орг-а
des/dt-скорость обмена энтр м/у организмом и окр ср.
II начало термод-и носит статистич (вероятност) хар-р, повышение энтропии в необратимых прцессах будет отражаться вероят., этот з соблюдается для макроскопической сис-мы, где имеется большое кол-о компонентов
В первые доказано Больцманом
s=k*lnW
т. е. следующая связь м/у энтропией и термодинамич. вероятностью сис-ы
k-постоянная Больцмана (1,38*10-23 Дж/моль)
lnW-термодн. Вероятность - число всех перегруппировок компонентов внутри сис-ы.
Проанализируем ур. II начала терм-и для откр сис-м:
des/dt>0 –показывает увеличение энтр в рез-те того, что в орг-м поступает поток вещ-ва и Е;
des<0-показывает отток энтр из орг-ма превышает приток;
dis/dt>0-считается всегда “+”, т. к. в орг-ме постоянно протекают биофиз и биохим процессы.
При условии, что dis/dt>0 возможны след случаи:
dS/dt>0, если des/dt>0 или des/dtdes/dt, скорость производства энтр внутри орг-ма будет превышать скорость обмена энтр с окр ср;
dS/dt<0, если des/dt, чем dis/dt;
dS/dt=0 это соотношение будет иметь место, если des/dt<0, т. е. скорость обмена энтр с окр ср будет равна скорости производства энтр за счет протекания внутр. биофиз и биохим процессов. последний случай свидетельствует о установлении внутри сис-ы стационарного режима Sconst.
Такой анализ применителен к жив сис-е показывает, что биол процессы могут сопрвождаться самопроизвольным уменьшением энтр, что позволяет объяснить кажущиеся противоречия м/у II началом термо-и и жив сис-й. Свободная Е не может возрастать лишь в изолированных сис-х. Жив орг-ы как откр сис-ы в процессе автотроф и гетеротроф питания не получают свободной Е из окр ср. II начало термод-и применительно к жив сис-м надо рассматривать с учетом их вз с окр ср, с этой точки зрения < энтр и повыш своб Е фотосинтезирующих орг-впроисходит благодаря уменьшению своб Е и увеличению энтр в сис-е более высокого порядка. Общ баланс энтр автотрофных соответствует II началу термод-и. Уменьшение Е в разных частях кл, где происходит билхим синтез , происходит за счет увеличения энтр в реакциях десимиляции и общ баланс энтр повышается.
В значительной мере процессы обмена в жив орг-ме зависят от скорости биохим превращений. Общ теория роста и развития орг-а была сформулирована Пригожиным, в процессе роста и развития органов происходит уменьшение скорости продуцирования энтр отнесенной еденице массы объекта dS=dis+des<0. Пригожин на основе изучения откр сис-м сформулировал основное св-во стац состояния. В стац состоянии при фиксированных внешних параметрах скорость продукции энтр в откр сис-е обусловленная протеканием необратимых процессов постоянна во времени и min по величине dis/dtmin. Согласно ей, стац состояние харак-я min рассеив Е. Эти условия являются справедливыми для сис-м в кот будут выполняться линейные соотношения м/у причинами скорости и движущих сил процессов. Жив орг-ы поставлены в более выгодных условия. Поддержание гомеостаза требует min затрат Е.
38. Фоторецепция. Строение зрительной клетки.
Процесс фоторецепции происходит в сетчатке глаза. Основными элементами сетчатки являются фоторецепторы — палочки и колбочки, а также соединенные с ними биполярные (первые нейроны зрительной системы) и ганглиозные клетки (вторые нейроны), дающие волокна зрительного нерва. Фотохимические реакции в рецепторе приводят к возбуждению биполярных, а затем ганглиозных клеток, от которых нервные импульсы направляются в головной мозг.
Фоторецепторы — это высокоспециализированные клетки, преобразующие световые раздражения в нервное возбуждение. Фоторецепция начинается в наружных сегментах, где на дисках расположены молекулы зрительного пигмента (в палочках — родопсин, в колбочках — иодопсин).
Трансформация энергии света в фоторецепторный сигнал у позвоночных происходит в палочках и колбочках. Палочки способны генерировать сигнал в ответ на 1 квант света. Они состоят из дисков, разделенных мембранами толщиной 15-16нм. Мембрана образована фосфолипидным бислоем со встроенным родопсином.
Палочки обеспечивают сумеречное зрение! Родопсин- хромопротеин (М=40 000), гидрофобный фрагмент которого находится внутри рецепторной мембраны, а гидрофильный компонент (12 000)- снаружи. Хроматофор родопсина тоже ретиналь- половина молекулы - каротина. При освещении родопсин обесцвечивается и максимум сдвигается с 500нм в коротковолновую область, в отличие от бактериородопсина.
В наружном сегменте много ненасыщенных жирных кислот, поэтому необходима защита от перекисного окисления с помощью - токоферола. Его недостаток приводит к образованию перекисей. При освещении родопсин переходит в изородопсин и далее наблюдается обратное восстановление за счет биохимических реакций.
В фоторецепторной клетке на один поглощенный родопсином h в плазматической мембране блокируется 100- 300 Na+- каналов. Одновременно внутриклеточно выделяется медиатор в цитоплазме наружного сегмента вследствие чего блокируются Na+- каналы. Предполагается, что существуют посредники (например Са2+ и циклические нуклеотиды), которые при освещении выбрасываются изнутри фоторецепторных дисков, блокируют Na+- каналы а затем активно "закачиваются" внутрь. По другой гипотезе нуклеотид цГМФ в темноте поддерживает Na+- каналы открытыми, а при освещении их закрывает. Возможный медиатор- фосфоинозитол.
Палочки и колбочки различаются по своим функциям. Палочки обладают более высокой чувствительностью, чем колбочки, и являются органами сумеречного зрения. Они воспринимают черно-белое (бесцветное) изображение. Колбочки представляют собой органы дневного зрения. Они обеспечивают цветное зрение. Существуют 3 вида колбочек у человека: воспринимающие преимущественно красный, зеленый и сине-фиолетовый цвет. Разная их цветовая чувствительность определяется различиями в зрительном пигменте. Комбинации возбуждений этих приемников разных цветов дают ощущения всей гаммы цветовых оттенков. Равномерное возбуждение всех 3 видов колбочек вызывает ощущение белого цвета.
39. Сформулируйте закон Био. Покажите на ЭВМ изменение интенсивности светового пучка при прохождении через оптически активную среду.
Обнаружить оптическую активность в-ва (ОАВ) можно с помощью системы поляризатор-анализатор. Интенсивность света, прошедшего через такую систему зависит от угла м/у плоскостью анализатора и поляризатора φ, т. е. J=J0cos2φ.
Для твердых в-в угол поворота плоскости поляризации φ пропорционален толщине в-ва l т. е. φ=αl, где α – удельное вращение плоскости поляризации (ПП), и для различных в-в он строго определен [град/м, град/мм]. По определению α равен углу, на который поворачивается плоскость поляризации слоем ОАВ толщиной 1 м (или 1 мм).
По закону Био удельное вращение α зависит от длины волны проходящего света. Вдали от полос поглащения зависимость α от λ определяется ф-лой Био φ~l/λ2.
Для растворов, если растворитель нейтральный, φ зависит от концентрации растворенного ОАВ С: φ=βСl т.е. α=βС. Константа β зависит от растворенного в-ва и называется удельным вращением растворенного вещества. β = углу поворота ПП, кот вызывается слоем р-ра толщиной 1 м при конц раств-го в-ва 1кг/м3 (или 1 дцм при С=1г/см3).
График зависимости фототока I от φ будет п/с синусойду с периодом 180 град, согласно з-ну Малюса J=J0cos2φ.
40. Понятие обобщенных сил и потоков. Линейные соотношения и соотношения взаимности Онзагера.
В 1931 г. Ларс Онзагер предположил, что при небольших отклонениях от равновесия существует линейная связь между потоками Ji, где i = 1, 2,..., n и термодинамическими силами Xj, где j =1, 2, ..., n. При этом каждая термодинамическая сила может вызвать несколько различных потоков. Например, такая сила, как градиент температуры, может вызвать не только поток теплоты, но и поток вещества или электрический ток. В общем случае поток может зависеть от градиента нескольких величин. Например, существует одновременный перепад температуры, плотности газа и т. д. Эти процессы описываются системой уравнений
................................
где J1 - плотность теплового потока; L11 - коэффициент теплопроводности; X1 - минус градиент температуры; L12 - коэффициент термодиффузии; X2 - минус градиент плотности; L21 - коэффициент диффузионной теплопроводности; L22 - коэффициент диффузии и т. д.
Сокращенная запись обобщенных термодинамических уравнений движения имеет вид
где i = 1, 2,..., n.
Постоянные коэффициенты Lij называются кинетическими коэффициентами. Кинетические коэффициенты могут быть функциями параметров состояния
, но не зависят от Ji, Xj, а определяются в рамках молекулярно-кинетической теории.
Ларс Онзагер показал, что недиагональные коэффициенты равны при соответствующем выборе потоков и сил
Равенства (9.6) называют соотношениями взаимности Онзагера. Их значение состоит в том, что они связывают различные физические процессы (например, явление термодиффузии и диффузионный термоэффект). По характеристикам одного процесса можно предсказать характеристики другого.
Эти два принципа - принцип линейности термодинамических потоков и соотношение взаимности Онзагера - легли в основу развитой им теории неравновесных процессов и стимулировали развитие линейной неравновесной термодинамики.
41. Электрорецепция.
ЭЛЕКТРОРЕЦЕПЦИЯ - способность многих рыб (акулы, скаты и др.) воспринимать электрические сигналы окружающей среды, в т. ч. генерируемые электрическими органами. Электрорецепция используется для поиска добычи, биокоммуникации и ориентации, восприятия магнитного поля Земли. Осуществляется электрорецепторами.
Замечательная электрочувствительность слабо электрических рыб и других животных достигается двумя типами рецепторов электрических полей: ампулярными и бугорковыми органами рыб. Оба типа рецепторов являются модификациями системы боковой линии, вездесущей у рыб.
Ампулярные органы - это группы сенсорных клеток, организованных вокруг полости длинного, заполненного желеобразным содержимым, канала. Сенсорные клетки ампул почти полностью окружены вспомогательными клетками. Только верхушка сенсорной клетки остается свободной и контактирует с пластинкой ампулы.
Бугорковые электрические органы рыб отличаются от ампулярных органов двумя существенными чертами. Во-первых, они не соединены с внешней средой желе-заполненным каналом. Вместо этого канал закупорен специализированными эпителиальными клетками. Во-вторых, сенсорные клетки в полость выходят не только верхушкой, а выдвинуты в нее на 90% и лишь присоединены (обычно) к небольшому поддерживающему холмику.
Два класса электрорецепторов имеют различные характеристики ответа. Афферентные волокна из ампулярных сенсорных клеток дают "тонические" - длительные и непрерывные ответы на низкочастотные (от менее 0,1 Гц до 10 - 25 Гц) стимулы или постоянный ток. Ампулярные органы имеют широкий диапазон чувствительности с порогами от менее 20 нВ/см до 10 -100 мкВ/см. Напротив, бугорковые органы чувствительны к высоким частотам и нечувствительны к низким и постоянному току. Сенсорные волокна из бугорковых органов дают "фазические" ответы - короткий залп активность на ступенчатое изменение стимулирующего напряжения. И тонические (ампулярные), и фазические (бугорковых органов) рецепторы имеются и у клюворылых, и у гимнотид. Бугорковые органы отстутствуют у неэлектрических и морских рыб. Электрическое сопротивление тела значительно ниже, чем окружающей среды. Если рыба ориентирована вдоль градиента потенциала, ток входит на одном ее конце (скажем, в голове) и выходит на другом (в хвосте). Индивидуальные электрорецепторы стимулируются различиями между внутренним и наружным электрическим потенциалами. Эти различия максимальны у головы и хвоста, где входит и выходит ток. В отличие от хрящевых рыб с их высокоорганизованной системой ампул Лоренцини пресноводные клюворылые и гимнотиды как электрочувствительный орган используют все свое тело.
42. Как влияет удаление малозначащих признаков из обучающей выборки на процесс обучения нейросети. Пример на ЭВМ.
Искусственная нейронная сеть (ANN — artificial neural network) представляет собой вычислительную архитектуру для обработки сложных данных с помощью множества связанных между собой процессоров и вычислительных путей. Искусственные нейронные сети, созданные по аналогии с человеческим мозгом, способны обучаться и анализировать большие и сложные наборы данных, которые с помощью более линейных алгоритмов обработать крайне сложно.
Для обучения нейронной сети необходима обучающая выборка (задачник), состоящая из примеров. Каждый пример представляет собой задачу одного и того же типа с индивидуальным набором условий (входных параметров) и заранее известным ответом. Например, в качестве входных параметров в одном примере могут использоваться данные обследования одного больного, тогда заранее известным ответом в этом примере может быть диагноз. Несколько примеров с разными ответами образуют задачник. Задачник располагается в базе данных, каждая запись которой является примером.
Не останавливаясь на математических алгоритмах, подробно описанных в монографии [5.45], рассмотрим общую схему обучения нейросети.
-
Из обучающей выборки берется текущий пример (изначально, первый) и его входные параметры (представляющие в совокупности вектор входных сигналов) подаются его на входные синапсы обучаемой нейросети. Обычно каждый входной параметр примера подается на один соответствующий входной синапс.
-
Нейросеть производит заданное количество тактов функционирования, при этом вектор входных сигналов распространяется по связям между нейронами (прямое функционирование).
-
Измеряются сигналы, выданные теми нейронами, которые считаются выходными.
-
Производится интерпретация выданных сигналов, и вычисляется оценка, характеризующая различие между выданным сетью ответом и требуемым ответом, имеющимся в примере. Оценка вычисляется с помощью соответствующей функции оценки. Чем меньше оценка, тем лучше распознан пример, тем ближе выданный сетью ответ к требуемому. Оценка, равная нулю, означает что требуемое соответствие вычисленного и известного ответов достигнуто. Заметим, что только что инициализированная (необученная) нейросеть может выдать правильный ответ только совершенно случайно.
-
Если оценка примера равна нулю, ничего не предпринимается. В противном случае на основании оценки вычисляются поправочные коэффициенты для каждого синаптического веса матрицы связей, после чего производится подстройка синаптических весов (обратное функционирование). В коррекции весов синапсов и заключается обучение.
-
Осуществляется переход к следующему примеру задачника и вышеперечисленные операции повторяются. Проход по всем примерам обучающей выборки с первого по последний считается одним циклом обучения.
При прохождении цикла каждый пример имеет свою оценку. Вычисляется, кроме того, суммарная оценка множества всех примеров обучающей выборки. Если после прохождения нескольких циклов она равна нулю, обучение считается законченным, в противном случае циклы повторяются.
Количество циклов обучения, также как и время, требующееся для полного обучения, зависят от многих факторов - величины обучающей выборки, количества входных параметров, вида задачи, типа и параметров нейросети и даже от случайного расклада весов синапсов при инициализации сети.
43. Пространственная конфигурация биополимеров. Типы объемных взаимодействий в белковых макромолекулах. Водородные связи.
Общие черты пространственных структур различных белков были установлены в работах Л.Полинга и Р.Кори:
1. Длины связей и величины валентных углов всех пептидых груп - одинаковы.
2. Все атомы пептидной группы расположены в одной плоскости и предпочтительной конфигурацией пептидной группы является транс-конфигурация
3. Полипептидная цепь полностью насыщена водородными связями
4. Двухгранные углы вращения вокруг связей N - Cа и Cа - С' отвечают минимумам торсионных потенциалов, а расстояния между всеми валентно не связанными атомами превышают суммы ван-дер-ваальсовых радиусов.
5. Конформационные состояния всех звеньев полипептидной цепи эквивалентны.
Полинг и Кори, сформулировали гипотезу, согласно которой альфа-спираль и складчатая бэта-структура имеют фундаментальное значение в пространственной организации белковых молекул и что структуры фибриллярных, глобулярных белков и синтетических пептидов могут быть описаны с помощью небольшого числа канонических форм - некоторых структурных блоков.
В результате стереохимических преобразований в структуре белковой молекулы формируются соответствующие молекулярные органы и исполнительные механизмы, а на локальных и поверхностных участках возникает такая пространственно-упорядоченная организация боковых атомных R-групп элементов, которая в живой системе играет роль стереохимических кодовых информационных сигналов. К таким сигналам могут относиться: стереохимические команды управления активного центра фермента (адресный код и код химической операции; различные сигнальные и регуляторные кодовые компоненты; коммуникативные локальные и поверхностные кодовые стереохимические матрицы (микроматрицы), служащие для информационного взаимодействия белковых молекул с их молекулярными партнёрами и т. д. При этом, сама программа функционирования белковой молекулы (благодаря программирующим свойствам элементов) коммутируется лабильными физико-химическими силами, связями и взаимодействиями между боковыми R-группами элементов (аминокислот) в составе её трёхмерной структуры. Поэтому природа взаимодействий боковых атомных групп, определяющих конформационные особенности и внутреннюю динамику белковой макромолекулы, имеет химическую основу и носит информационный характер.
Общая структура свернутого белка исключительно компактна. Например, полностью вытянутая цепь панкреатического трипсинового ингибитора (58 остатков) имеет длину 21.1 нм, а максимальный габаритный размер свернутого белка равен около 2.9 нм. Карбоксипептидаза, состоящая из 307 аминокислотных остатков, в вытянутой форме имеет длину 111.4 нм, а в свернутой - 5.0 нм.
По плотности упаковки белки очень близки кристаллам малых органических молекул (70-78 %) , связанных между собой дисперсионными, лондоновскими силами. Из-за высокой плотности упаковки белки отличаются слабой сжимаемостью. Так их коэффициент сжимаемости меньше, чем у масла, и практически совпадает с коэффициентами сжимаемости олова и каменной соли.
Плотность белка не одинакова во всех частях глобулы. Плотность центральной части ниже кажущейся плотности белковой молекулы в растворе. Низкая плотность и даже "пустоты", т.е. области, не заполненные атомами белка, встречаются в различных частях глобулы. Как правило, в них находятся единичные молекулы воды, связанные с аминокислотными остатками водородными связями. Молекулы воды обнаруживаются рентгеноструктурным анализом и составляют с белком как бы единое целое.
44. Хеморецепция.
Хеморецепция, восприятие одноклеточным организмом или специализированными клетками (хеморецепторами) многоклеточного организма существенных для его жизнедеятельности химических раздражителей, находящихся во внешней или внутренней среде.
Хеморецептор (chemoreceptor) - афферентный нейрон, который отвечает генерацией нервного импульса на взаимодействие рецепторного белка с определенной химической молекулой на появление в организме особых химических соединений. Импульс распространяется по чувствительным нервам. Хеморецепторы в большом количестве присутствуют во вкусовых сосочках языка, а также на слизистой оболочке носа.
Способность в той или иной мере анализировать химический состав окружающей среды и реагировать определённым образом на его изменения присуща всем живым организмам. На основе этой способности у них в ходе эволюции образовалось несколько специализированных видов Х. У микроорганизмов сравнительно хорошо изучена Х. пищевых веществ. У многоклеточных организмов обособляется сенсорная Х., на основе которой развиваются органы чувств. Для позвоночных животных, а также для насекомых характерны специализированные формы Х. - обонятельная и вкусовая.
У наземных животных контактная и дистантная Х. обычно представлена соответственно вкусовой и обонятельной рецепцией. У животных имеется и малоспециализированный тип Х. - "общее химическое чувство", с помощью которого обеспечивается чувствительность покровов тела к едким, раздражающим веществам. Химический анализ внутренних сред организма (например, крови, тканевой жидкости) осуществляется посредством интерорецепции. Наряду с сенсорной Х. и интерохеморецепцией у многоклеточных организмов в ходе эволюционного развития выделились др. типы клеточной рецепции, которые также можно отнести к Х. в широком смысле слова, например рецепция гормонов, рецепция синаптических медиаторов.
45. Показать последовательность обучения и тестирования нейронной сети. Что такое внешняя выборка.
Искусственная нейронная сеть (ANN — artificial neural network) представляет собой вычислительную архитектуру для обработки сложных данных с помощью множества связанных между собой процессоров и вычислительных путей. Искусственные нейронные сети, созданные по аналогии с человеческим мозгом, способны обучаться и анализировать большие и сложные наборы данных, которые с помощью более линейных алгоритмов обработать крайне сложно.
Для обучения нейронной сети необходима обучающая выборка (задачник), состоящая из примеров. Каждый пример представляет собой задачу одного и того же типа с индивидуальным набором условий (входных параметров) и заранее известным ответом. Например, в качестве входных параметров в одном примере могут использоваться данные обследования одного больного, тогда заранее известным ответом в этом примере может быть диагноз. Несколько примеров с разными ответами образуют задачник. Задачник располагается в базе данных, каждая запись которой является примером.
Не останавливаясь на математических алгоритмах, подробно описанных в монографии [5.45], рассмотрим общую схему обучения нейросети.
-
Из обучающей выборки берется текущий пример (изначально, первый) и его входные параметры (представляющие в совокупности вектор входных сигналов) подаются его на входные синапсы обучаемой нейросети. Обычно каждый входной параметр примера подается на один соответствующий входной синапс.
-
Нейросеть производит заданное количество тактов функционирования, при этом вектор входных сигналов распространяется по связям между нейронами (прямое функционирование).
-
Измеряются сигналы, выданные теми нейронами, которые считаются выходными.
-
Производится интерпретация выданных сигналов, и вычисляется оценка, характеризующая различие между выданным сетью ответом и требуемым ответом, имеющимся в примере. Оценка вычисляется с помощью соответствующей функции оценки. Чем меньше оценка, тем лучше распознан пример, тем ближе выданный сетью ответ к требуемому. Оценка, равная нулю, означает что требуемое соответствие вычисленного и известного ответов достигнуто. Заметим, что только что инициализированная (необученная) нейросеть может выдать правильный ответ только совершенно случайно.
-
Если оценка примера равна нулю, ничего не предпринимается. В противном случае на основании оценки вычисляются поправочные коэффициенты для каждого синаптического веса матрицы связей, после чего производится подстройка синаптических весов (обратное функционирование). В коррекции весов синапсов и заключается обучение.
-
Осуществляется переход к следующему примеру задачника и вышеперечисленные операции повторяются. Проход по всем примерам обучающей выборки с первого по последний считается одним циклом обучения.
При прохождении цикла каждый пример имеет свою оценку. Вычисляется, кроме того, суммарная оценка множества всех примеров обучающей выборки. Если после прохождения нескольких циклов она равна нулю, обучение считается законченным, в противном случае циклы повторяются.
Количество циклов обучения, также как и время, требующееся для полного обучения, зависят от многих факторов - величины обучающей выборки, количества входных параметров, вида задачи, типа и параметров нейросети и даже от случайного расклада весов синапсов при инициализации сети.
46. Взаимодействие макромолекул с растворителем. Состояние воды и гидрофобные взаимодействия в биоструктурах.
Так как большинство белков функционирует в водной среде, то взаимодействие составляющих их мономеров с водой определяет пространственную конформацию макромолекулы белка в целом.
Молекула воды является диполем из-за своей асимметрии. В водном растворе атом О2 располагается как бы в центре тетраэдра, в двух вершинах которого находятся атомы Н.
Две пары электронов кислорода, не участвующие в образовании валентной связи, находятся на вытянутых орбиталях, оси которых направлены к двум вершинам тетраэдра. Эти электронные пары несут отрицательный заряд и притягивают атомы водорода двух соседних молекул, то есть образуют водородные связи. Благодаря этим взаимодействиям в жидкой воде формируются ассоциации молекул, называемые кластерами. Структура кластеров сходна со структурой льда. Однако эта кристаллическая решетка отличается определенной "рыхлостью" ( именно этим объясняется невысокая плотность льда). Вместе с тем, даже после полного таяния льда в жидкой фазе воды сохраняются льдоподобные структуры - кластеры (расчеты показывают, что если бы их не было, то плотность жидкой воды была бы =1.8 г/мл, вместо 1.0 г/мл). Наличие в воде кластеров подтверждается данными рентгенографических исследований. Между неструктурированной водой и кластерами постоянно осуществляется обмен молекулами, так что в среднем время жизни кластера составляет 10-10 с. При 20 оС в воде доля несвязанных в кластеры молекул составляет 29.5%. С увеличением температуры средний размер кластера уменьшается, и доля несвязанных молекул возрастает (именно плавлением кластеров объясняется аномально высокая теплоемкость воды).
В воде хорошо растворяются такие органические соединения, которые содержат полярные группы и способны вступать в диполь-дипольное взаимодействие с молекулами воды или образовывать с ними водородные связи. Такими, в частности, являются группы:
Напротив, неполярные соединения плохо растворимы в воде. Физические причины этих явлений были выяснены после измерения термодинамических параметров процессов растворения. Было установлено, что в случае плохой растворимости углеводорода в воде изменение свободной энергии положительно, и, следовательно, энтропия системы уменьшается.
Прямыми физическими исследованиями было показано, что при этом происходит увеличение доли кластеров. При растворении молекулы углеводов втискиваются в полости внутри тетраэдрических ячеек кластеров и вытесняют оттуда неструктурированную воду. Последняя образует новые кластеры, и упорядоченность системы увеличивается, а значит, энтропия уменьшается. Поэтому гидрофобные взаимодействия являются результатом свойств воды, а не каких-то особых сил, связывающих неполярные группы друг с другом. Таким образом, ассоциация неполярных молекул в воде за счет гидрофобных взаимодействий определяется выталкивающим действием воды на неполярные соединения, что обусловлено тенденцией молекул воды к достижению состояния максимальной неупорядоченности.
Все аминокислотные остатки, входящие в состав полипептидной цепи условно разделяются на две группы:
-неполярные (гидрофобные)
-полярные (гидрофильные)
Степень гидрофобности остатка определяют по разности свободных энергий растворения аминокислоты в слабополярном растворителе и воде (обычно используют этиловый спирт).
Гипотеза об определяющей роли гидрофобных взаимодействий была доказана в 1944 году. Идея состояла в том, что гибкая молекула белка в воде сворачивается в глобулу (поскольку полярные остатки белка стремятся к максимальному контакту с водным окружением, а неполярные - к минимальному контакту). Из геометрии известно, что минимальной поверхностью при заданном объеме обладает шар. Стремление неполярных остатков образовать внутри белковой части некое подобие шарообразной капли, а полярных - сосредоточиться на ее поверхности, и приводит к образованию компактного тела - глобулы с гидрофобным ядром и гидрофильной поверхностью.
47. Восприятие запахов: пороги, классификация запахов.
Запах. Орган обоняния – периферический аппарат обонятельного анализатора, который лежит в верхнем отделе полости носа. Часть слизистой носа, покрывающая верхнюю носовую раковину и верхний отдел носовой перегородки, называется обонятельной областью слизистой носа. Эпителий здесь называется обонятельным и является рецепторным аппаратом обонятельного анализатора. В составе эпителия находятся три вида клеток: 1 – обонятельные (рецепторные),2 – опорные,3 – базальные (регенеративные).
Обонятельные клетки которых более 10 млн – биполярные. Их периферические отростки имеют расширение – пузырек, вооруженный ресничками. Обонятельная булава иначе – обонятельный пузырек Ван-дер-Стрихта. Центральные отростки формируют обонятельные нервы, которые в количестве 15-20 проникают в полость мозгового черепа через продырявленную пластинку решетчатой кости к обонятельным луковицам. Рецепторные клетки высокочувствительные, они воспринимают одоранты (например, меркаптан) в миллионных долях мг/м3. При этом только 24 молекулы одоранта, находящегося в воздухе, достигают рецепторов.
Классификация запахов Линнея — разделение запахов по качественности ощущения, автор — шведский ботаник К. Линней. Выделяется 7 основных запахов: ароматические (красная гвоздика), бальзамические (лилия), амброзиальные (мускус), луковые (чеснок), псиные (валериана), отталкивающие (некоторые насекомые), тошнотворные (падаль).
По Зваардемакеру существует 9 классов, которые делятся на подклассы:
1 – класс эфрирных запахов (ацетон, хлороформ),
2 – класс ароматических запахов (камфорные, пряные, анисовые, лимонные, миндальные),
3 – класс цветочных запахов (ванилин),
4 – класс мускусных запахов,
5 – класс чесночных запахов (сероводород),
6 – класс пригорелых (бальзамных) запахов (бензол, фенол),
7 – класс каприловых запахов,
8 – класс отталкивающих запахов (хинин, пиридин),
9 – класс тошнотворных запахов (индол, скатол).
Импульсы от рецепторов поступают в обонятельную луковицу, (Морганиев узел), которая имеет семислойное строение (по типу корковых центров):
1 – слой нервных волокон,2 – слой обонятельных клубочков,3 - наружный сетевидный слой,4 – слой тел митральных клеток,5 – внутренний сетевидный слой,6 – зернистый слой,7 – эпителиальный слой (эпендимный).
Рецепцию пахучих веществ осуществляют рецепторные клетки. Их периферические отростки снабжены булавовидными утолщениями, заканчивающимися пучком тонких обонятельных волосков (жгутиков, или ресничек), погруженными в слой слизи. Обонятельные волоски увеличивают общую поверхность обонятельных клеток в десятки раз. Первичное взаимодействие молекул пахучих веществ с рецепторными клетками включает несколько последовательных этапов: пахучее вещество по воздуху доставляется к поверхности обонятельного эпителия, растворяется в слое слизи и связывается с рецептивными участками на поверхности обонятельного эпителия, образуя комплексы с компонентами цитоплазматической мембраны клеток. При этом изменяется ионная проницаемость мембраны клеток и развивается рецепторный потенциал. Сигналы от рецепторных клеток по нервным волокнам поступают в головной мозг, где происходит формирование впечатления о характере запаха (качестве, силе), его узнавание и др. Обонятельные раздражители рефлекторно могут также изменять частоту дыхательных движений и пульса, кровяное давление.
Для многих пахучих веществ определен порог восприятия (так называемый порог обоняния), т.е. минимальная концентрация вещества, способная вызвать реакцию обонятельного анализатора (порог узнавания, когда воспринимается качество запаха, обычно лежит несколько выше порога О.). Пороги О. для многих веществ очень низки. Порог О. у человека значительно выше порога О. у животных (например, у собак порог О. к масляной кислоте составляет около 104 молекул в 1 мл, а у некоторых насекомых к половому феромону — около 103 молекул в 1 мл). В норме порог О. у человека претерпевает колебания в зависимости от времени суток и физиологического состояния. Длительное воздействие раздражителей на обонятельный анализатор может привести к развитию адаптации О. После раздражения обонятельного анализатора повышается порог О. к раздражающему веществу (прямая, или гомогенная, адаптация) и в меньшей степени к другим пахучим веществам (перекрестная, или гетерогенная, адаптация).
48. Каким параметром характеризуется быстрота затухания колебаний, и какие процессы в живой природе имеют колебательный характер
В настоящее время экспериментально изучено достаточно большое количество колебательных систем в биологии: периодические биохимические реакции, колебания в гликолизе, периодические процессы фотосинтеза, колебания численности видов и т. д. Во всех этих процессах некоторые характеризующие систему величины изменяются периодически в силу свойств самой системы без какого-либо периодического воздействия извне. Подобные системы относятся к классу автоколебательных.
Автоколебательными называются системы, в которых устанавливаются и поддерживаются незатухающие колебания за счет сил, зависящих от состояния самой системы, причем амплитуда этих колебаний определяется свойствами самой системы, а не начальными условиями.
Существует понятие - декремент затухания, количественная характеристика быстроты затухания колебаний. Д. з. d равен натуральному логарифму отношения двух последующих максимальных отклонений х колеблющейся величины в одну и ту же сторону. Д. з. - величина, обратная числу колебаний, по истечении которых амплитуда убывает в е раз. Например, если d = 0,01, то амплитуда уменьшится в е раз после 100 колебаний. Д. з. характеризует число периодов, в течение которых происходит затухание колебаний, а не время такого затухания. Полное время затухания определяется отношением Т/d.
49. Особенности пространственной организации белков и нуклеиновых кислот. Модели фибрилляторных и глобулярных белков. Качественная структурная теории белка.
Общие черты пространственных структур различных белков были установлены в работах Л.Полинга и Р.Кори:
1. Длины связей и величины валентных углов всех пептидых груп - одинаковы.
2. Все атомы пептидной группы расположены в одной плоскости и предпочтительной конфигурацией пептидной группы является транс-конфигурация
3. Полипептидная цепь полностью насыщена водородными связями
4. Двухгранные углы вращения вокруг связей N - Cа и Cа - С' отвечают минимумам торсионных потенциалов, а расстояния между всеми валентно не связанными атомами превышают суммы ван-дер-ваальсовых радиусов.
5. Конформационные состояния всех звеньев полипептидной цепи эквивалентны.
Полинг и Кори, сформулировали гипотезу, согласно которой альфа-спираль и складчатая бэта-структура имеют фундаментальное значение в пространственной организации белковых молекул и что структуры фибриллярных, глобулярных белков и синтетических пептидов могут быть описаны с помощью небольшого числа канонических форм - некоторых структурных блоков.
Общая структура свернутого белка исключительно компактна. Например, полностью вытянутая цепь панкреатического трипсинового ингибитора (58 остатков) имеет длину 21.1 нм, а максимальный габаритный размер свернутого белка равен около 2.9 нм. Карбоксипептидаза, состоящая из 307 аминокислотных остатков, в вытянутой форме имеет длину 111.4 нм, а в свернутой - 5.0 нм.
Нуклеиновые кислоты - это длинные цепочки, состоящие из четырех многократно повторяющихся единиц (нуклеотидов). Их структуру можно представить следующим образом:
Символ Ф обозначает фосфатную группу. Чередующиеся остатки сахара и фосфорной кислоты образуют сахарофосфатный остов молекулы, одинаковый у всех ДНК, а огромное их разнообразие обусловливается тем, что четыре азотистых основания могут располагаться вдоль цепи в самой разной последовательности.
Сахаром в нуклеиновых кислотах является пентоза; четыре из пяти ее углеродных атомов вместе с одним атомом кислорода образуют кольцо. Атомы углерода пентозы обозначают номерами от 1ў до 5ў. В РНК сахар представлен рибозой, а в ДНК - дезоксирибозой, содержащей на один атом кислорода меньше.
Поскольку фосфатные группы присоединены к сахару асимметрично, в положениях 3ў и 5ў, молекула нуклеиновой кислоты имеет определенное направление. Сложноэфирные связи между мономерными единицами нуклеиновых кислот чувствительны к гидролитическому расщеплению (ферментативному или химическому), которое приводит к высвобождению отдельных компонентов в виде небольших молекул.
Азотистые основания – это плоские гетероциклические соединения. Они присоединены к пентозному кольцу по положению 1ў. Более крупные основания имеют два кольца и называются пуринами: это аденин (А) и гуанин (Г). Основания, меньшие по размерам, имеют одно кольцо и называются пиримидинами: это цитозин (Ц), тимин (Т) и урацил (У). В ДНК входят основания А, Г, Т и Ц, в РНК вместо Т присутствует У. Последний отличается от тимина тем, что у него отсутствует метильная группа (CH3). Урацил встречается в ДНК некоторых вирусов, где он выполняет ту же функцию, что и тимин.
Фибриллярные белки - расположенные параллельно друг другу вытянутые полипептидные цепи, образующие длинные нити или слои. Существует четыре типа фибриллярных белков, выполняющих в животных организмах защитную или структурную роль: альфа-кератины , бэта-керотины , коллаген и эластин. Все эти белки не растворяются в воде при физиологических условиях.
В глобулярных белках полипептидная цепь свернута в компактную глобулу. Белки этого класса имеют значительно более сложные конформации , чем фибриллярные белки. Некоторые глобулярные белки выполняют транспортные функции: вместе с током крови они переносят кислород, питательные вещества и неорганические ионы; к этому же классу белков принадлежат антитела , часть гормонов , а также компоненты мембран и рибосом .
50. Бактериородопсин как молекулярный фотоэлектрический генератор.
Зрительный пигмент родопсин, так же как и бактериородопсин, — практически единственный белок в фоторецепторной мембране зрительной клетки сетчатки глаза (на его долю приходится до 80% всего белка в мембране).
Пурпурные мембраны (ПМ), локализованные в цитоплазме клеток некоторых экстремально галофильных бактерий, например Halobacterium halobiutn, содержат единственный гидрофобный пигмент — белковый комплекс (ПБК) бактериородопсин, молекулы которого располагаются в ПМ строго упорядоченно.
ПМ в интактных клетках и в изолированных препаратах представляют собой дискообразные образования диаметром около 0,5 мкм и толщиной 5—6 нм. Бр расположен в ПМ симметричными группами по три молекулы, причем каждый такой тример стабилизирован 12—14 молекулами структурных липидов. Размер ячейки составляет около 0,6 нм. Тримеры, в свою очередь, образуют двумерную гексагональную «кристаллическую» решетку в плоскости ПМ с периодом 6,3 нм.
Изучение химического состава ПМ показало, что они на 75% состоят из белка и на 25% из липидов. 60% липидов представлено фосфолипи-дами, подавляющая часть остальных — гликолипидами. 15% от всех липидов ПМ составляют фосфатидилглицеросульфат и гликолипидсульфат, характерные исключительно для ПМ. Единственным белком ПМ является сильно гидрофобный ПБК — бактериородопсин (молекулярная масса~26000). Данные спектров кругового дихроизма в УФ-области свидетельствуют о высокой степени а-спирализации белковой цепи Бр (75—80% а-спирализации). Хромофор белка — ретиналь — содержится в белке в молярном соотношении 1:1, т. е. на каждую белковую цепь приходится один ретиналь.
Бр в ПМ может находиться в двух различных состояних: после адаптации к темноте или к свету. Эти состояния отличаются по спектрам поглощения Бр. Максимум полосы, поглощения Бр в образцах, адаптированных к темноте, расположен около 560 нм. После освещения максимум сдвигается до 570 нм.
Изомеры Бр (13-цис-и транс-) при возбуждении светом вовлекаются в различные циклы превращений. В темноте наблюдается медленный процесс релаксации части Бр (транс-) в Бр (13-цис) до достижения темноадаптированного состояния. Скорость изомеризации обладает сильной температурной зависимостью
51. По каким физическим параметрам классифицируются биопотенциалы и какие требования предъявляются к усилителям биопотенциалов в этой связи.
Биопотенциал - обобщенная характеристика взаимодействия зарядов, находящихся в исследуемой живой ткани, например, в различных областях мозга, в клетках. Б. служат источником информации о состоянии и функционировании различных органов. В медицине измерение биопотенциалов применяется в электроэнцефалографии, электрокардиографии, электромиографии и других методах обследования.
Классифицируется в зависимости от клеток, тканей, органов которых он исследуется.
52. Структура и функционирование биологических мембран. Мембрана как универсальный компонент биологических систем.
Существование всего живого началось с обособления внутренней среды от внешней с помощью специальных структур- биомембран. Существуют клеточные мембраны, мембраны ограничивающие органоиды. Мембраны отличаются плотной упаковкой составных компонент (белков, липидов, углеводов, макромолекул (гликолипиды, гликопротеиды), минорных компонент (нуклеиновые кислоты, коферменты, антиоксиданты, ионы Na+, K+, Ca2+ и др.) и составляют более 50% веса сухого вещества клеток. 110 лет назад (1890 г.) В.Пфеффер предложил название клеточной мембраны, однако только в 40-х годах 20-го века мы начали исследовать ультратонкую (размеры не более 10 нм) структуру БМ на электронных микроскопах. В настоящее время существуют различные методы исследования БМ:
-
Путем разрушения 2. Рентгеноструктурный анализ БМ по изучению дифракционных картин. 3. Ядерный магнитный резонанс (ЯМР). 4. Электронный парамагнитный резонанс (ЭПР) 5. Электронная микроскопия. 6. Флуоресцентная микроскопия. 7. Инфракрасная спектроскопия (ИКС) и комбинационного рассеяния (КРС) для получения информации о конформации молекул. 8. Моделирование (физическое, математическое и т.д.) липидных Биологических Мембран.
БМ содержат фосфолипиды, белки, углеводы, минорные комплексы (нуклеиновые кислоты, полиамины, Н2О, ионы. Причем белки- 60-65%, фосфолипиды- 35-40%. Фосфолипиды в мембранах бывают 3-х классов: фосфолипиды, гликолипиды и стероиды. Производные фосфорной кислоты (фосфолипиды и глицерофосфолипиды) основные в процентном отношении.
Часто встречаются: фосфатидилэтаноламин (ФЭА), фосфатидилсерин (ФС), фосфатидилинозит (ФИ), сфинголипиты, сфингомиелин; в хлоропластах- моно- и дигалактодиглицериды. Белки в Биологических Мембранах - гидрофобные глобулярные структуры, связанные с мембранами (например, гликофорин в эритроцитах). Часто эти белки обладают ферментными свойствами, антигенными (ответственны за иммунную реакцию) и рецепторными (холинорецептор).
53. Вкус. Вкусовые качества. Строение вкусовых клеток.
Восприятие запаха неразрывно связано с ощущением вкуса. В аналитической терминологии выделяют четыре основных вида вкуса:
-
соленый - ощущение, для которого типичным вкусовым стимулом является раствор хлорида натрия;
-
сладкий - ощущение, для которого типичным вкусовым стимулом является водный раствор сахарозы;
-
горький - ощущение, для которого типичными вкусовыми стимулами являются водные растворы кофеина, хинина, и некоторых других алкалоидов;
-
кислый - ощущение, для которого типичными вкусовыми стимулами являются водные растворы винной, лимонной, и ряда других кислот.
Рецепторы вкуса. Вкусовые почки — рецепторы вкуса — расположены на языке, задней стенке глотки, мягком небе, миндалинах и надгортаннике. Больше всего их на кончике, краях и задней части языка. Каждая из примерно 10 000 вкусовых почек человека состоит из нескольких (2—6) рецепторных клеток и, кроме того, из опорных клеток. Вкусовая почка имеет колбовидную форму; у человека ее длина и ширина около 70 мкм. Вкусовая почка не достигает поверхности слизистой оболочки языка и соединена с полостью рта через вкусовую пору.
Вкусовые клетки — наиболее короткоживущие эпителиальные клетки организма: в среднем через каждые 250 ч старая клетка сменяется молодой, движущейся к центру вкусовой почки от ее периферии. Каждая из рецепторных вкусовых клеток длиной 10— 20 мкм и шириной 3—4 мкм имеет на конце, обращенном в просвет поры, 30—40 тончайших микроворсинок толщиной 0,1— 0,2 мкм и длиной 1—2 мкм. Считают, что они играют важную роль в возбуждении рецепторной клетки, воспринимая те или иные химические вещества, адсорбированные в канале почки. Предполагают, что в области микроворсинок расположены активные центры — стереоспецифические участки рецептора, избирательно воспринимающие разные адсорбированные вещества. Этапы первичного преобразования химической энергии вкусовых веществ в энергию нервного возбуждения вкусовых рецепторов еще не известны.
Электрические потенциалы вкусовой системы. В опытах с введением микроэлектрода внутрь вкусовой почки животных показано, что суммарный потенциал рецепторных клеток изменяется при раздражении языка разными веществами (сахар, соль, кислота). Этот потенциал развивается довольно медленно: максимум его достигается к 10—15-й секунде после воздействия, хотя электрическая активность в волокнах вкусового нерва начинается значительно раньше.
55. Бислойные мембраны. Протеолипосомы. Поверхностный заряд мембранных систем.
Моль ввел термин "мембрана", он изучал цитоплазму клеток растений и выяснил, что она окружена полупроницаемой мембраной. 1877 г. Пфейфер-ботаник, исследуя явление осмоса, пользовался как естественной, так и искусственной мембраной из осадочного ферроцианида. Cu → cсходства между ними → естественная мембрана участвует в явлении осмоса. Позднее стали говорить о генерации биопотенциала мембраны (конец XIX века). 1902 г – Бернштейн – мембранная теория потенциала покоя и потенциала действия → развитие мембранологии. Хаксли, Ходжкин и К0 впервые показала, что потенцилы покоя и действия базируются на избирательной проницаемости мембраны к определенным ионам (К+) – неодинаковое распределение ионов по обе стороны мембраны, в основе чего лежат процессы активного транспорта ионов через мембрану.
С участием мембраны связаны: фоторецепция, рецепция, БАВ, передача нервного импульса, синтез ДНК. Достаточно высокое содержание липидов, они составляют мембранную матрицу; белки составляют вариабильную часть; углеводы в виде гликопротеидов и гликолипидов. В мембране всегда находится небольшое кол-во воды .Белки в мембране отличаются большим разнообразием. Большинство белков в мембране находятся в виде клубка, 30% белков могут находится на поверхности мембраны в виде спирали Интегральные белки погружены в мембрану или пронизывают ее насквозь. Периферические белки на поверхности мембраны и слабо связаны с ней – слабые взаимодействия. На поверхности интегральных белков имеется значительно меньше участков, несущих электрический заряд, чем на поверхности периферических белков.
Модели биологических мембран В 1935 г. модель Даниэля Доусона унитарная модель био мембран. Липидный бислой – структурная основа. Наружный и внутренний слои – глобулярные белки. Симметричная модель. Модель Робертсона (середина 60х г). Мембрана представляет собой 3х слойную структуру, средний слой из липидов. Белковые молекулы развернуты на поверхности двойного липидного слоя вследствие электростатических взаимодействий заряженными головками фосфолипидов. Модель Робертсона ассимметрична, так как на наружной поверхности мембраны – гликопротеиды. В группе моделей предполагается наличие белков матрицы. Модель Лючи (середина 60х г.) – белково-кристаллическая модель. Модель Сенгера и Николсона. 60-70 г. Основа – липидный бислой, в который включены молекулы интегральных и периферических белков. Жидкомозаичная модель. С ее помощью объясняется проницаемость мембран.
Исскуственные бислойные мембраны : Протеолипосомы. Многие мембранные белки и мелкие фрагменты биологич. мембран легко могут быть включены в состав искусственных везикулярных мембран. Такие комбинированные сис-ы наз-ся протеолипосомами. Эффективность встраивания большинства белков в исскуственные мембранные системы резко зависит от липидного состава мембран, рН, солевого состава, t и т.д.Как правило, эффективность встраивания белковых молелукул или липопротеиновых фрагментов мембраны возрастает в присутствии небольших кол-в детергентов. Полагают, что сравнительно мелкие молекулы детергентов заполняют дефекты на границе белковой молекулы в мембране, экранируя гидрофобные участки мембраны от воды. Ценность протеолипосом как искусственных мембранных систем в первую очередь определяется широкими возможностями, которые эти системы предоставляют для исследования функционирования многих важных компонентов биологич. мембран. По существу, получение протеолипосом можно рассматривать как последний этап перед полной реконструкцией функционирующих мембранных систем из составляющих их компонентов.
56. Фотохимические превращения родопсина. Рецепторные потенциалы.
Родопсин – гликопротеин оболочки сетчатки, состоит из углеводородной цепочки (4%), связанной с белками М=28000 Да. Гликопротеиды являются рецепторами для гормонов, медиаторов, пептидов и др. Большое кол-во гликопротеидов в вирусных оболочках (до 40% оболочки).
Родопсин. Фоторецепторная мембрана образована фосфолипидным бислоем, в который встроены молекулы зрительного пигмента родопсина. Вследствие крайне низкой вязкости фоторецепторной мембраны молекула родопсина испытывает в ней быструю вращательную и более медленную латеральную диффузию. Родопсин – хромопротеин с молекулярной массой порядка 40000. Больший гидрофобный фрагмент молекулы (около 26 000) находится внутри рецепторной мембраны. В этом отношении родопсин напоминает Бр, однако в отличие от последнего он еше содержит меньший гидрофильный фрагмент (12 000) с С-концевым участком в гидрофильной области и на поверхности мембраны. Как и в случае Бр, хромофором родопсина служит ретиналь, представляющий собой половину молекулы β-каротина. Из всех изомеров этой сопряженной полиеновой структуры только 11-цис-форма является хромофором всех известных зрительных пигментов.В некоторых условиях может образовываться так называемый изородопсин, хромофор которого представляет собой не 11-цис-, а 9-цис-ретиналь. Полипептидная цепь описна содержит около 400 аминокислот, половина из которых гидрофобные. Ковалеитная связь ретиналя с опсином осуществляется при образовании альдиминной связи между ε – аминогруппой лизина и альдегидной группой ретиналя. Эта альдиминная связь протонирована и представляет собой протонированное шиффово основание находящееся в опсине в гидрофобном окружении.
57. Описать методику выполнения измерений длительности сенсомоторных реакций (Р-тест).
С помощью ЭВМ войти в файл Р - тест и внимательно ознакомиться с прилагаемыми инструкциями для выполнения измерений длительности сенсомоторных реакций. Выполнить 10 измерений латентных периодов аудиомоторных реакций и зрительно- моторных реакций у одного и того же испытуемого. Сравнить полученные данные для одного испытуемого и затем для 2-х разных испытуемых. Сделать выводы по результатам экспериментов. 2. Оформить протокол наблюдений и подписать его у преподавателя.В работе предлагается изучить некоторые закономерности функционирования зрительного анализатора, который можно представить как обычную 3-х компартментную систему (периферическое звено-рецептор с проводящей системой, центральное звено и эфферентный компартмент). предлагается изучить статистические закономерности сенсомоторных реакций зрительного и звукового анализаторов, когда на вход системы мы подаем зрительный или слуховой сигнал, а на выходе регистрируем моторную реакцию (нажатие клавиши на ЭВМ). В целом, предлагается выполнить по 10 опытов отдельно для зрительного и слухового анализатора и сравнить их латентные периоды с доверительными интервалами. Сделайте выводы о скоростях реакций.
58. Антиоксиданты, механизм их биологического действия. Естественные антиоксиданты тканей и их биологическая роль.
Антиоксиданты (антиокислители) — ингибиторы окисления, природные или синтетические вещества, способные тормозить окисление (рассматриваются преимущественно в контексте окисления органических соединений). Антиоксиданты — вещества, защищающие биологические системы от окисления за счет взаимодействия со свободными радикалами.
Механизмы действия
Окисление углеводородов, спиртов, кислот, жиров и др. кислородом воздуха представляет собой цепной процесс. Цепные реакции превращений осуществляются с участием активных свободных радикалов — перекисных (RO2*), алкоксильных (RO*), алкильных (R*). Для цепных разветвленных реакций окисления характерно увеличение скорости в ходе превращения (автокатализ). Это связано с образованием свободных радикалов при распаде промежуточных продуктов — гидроперекисей и др.
Механизм действия наиболее распространённых антиоксидантов (ароматические амины, фенолы, нафтолы и др.) состоит в обрыве реакционных цепей: молекулы А. взаимодействуют с активными радикалами с образованием малоактивных радикалов. Окисление замедляется также в присутствии веществ, разрушающих гидроперекиси (диалкилсульфиды и др.). В этом случае падает скорость образования свободных радикалов. Даже в небольшом количестве (0,01—0,001 %) антиоксиданты уменьшают скорость окисления, поэтому в течение некоторого периода времени (период торможения, индукции) продукты окисления не обнаруживаются. В практике торможения окислительных процессов большое значение имеет явление синергизма — взаимного усиления эффективности антиоксидантов в смеси, либо в присутствии других веществ.
Антиоксиданты широко применяют на практике. Окислительные процессы приводят к порче ценных пищевых продуктов (прогорканию жиров, разрушению витаминов), потере механической прочности и изменению цвета полимеров (каучук, пластмассы, волокно), осмолению топлива, образованию кислот и шлама в турбинных и трансформаторных маслах и др. Для увеличения стойкости пищевых продуктов, содержащих жиры и витамины, используют природные антиоксиданты — токоферолы (витамины Е), нордигидрогваяретовую кислоту и др. — и синтетические антиоксиданты — пропиловый и додециловый эфиры галловой кислоты, бутилокситолуол (ионол) и др.
59. Закон Вебера-Фехнера.
Закон Вебера — Фехнера — эмпирический психофизиологический закон, заключающийся в том, что интенсивность ощущения пропорциональна логарифму интенсивности стимула. Закон Вебера — Фехнера можно объяснить тем, что константы скорости химических реакций проходящих при рецептировании нелинейно зависят от концентрации химических посредников физических раздражителей или собственно химических раздражителей.
Для живого организма характерно свойство раздражимости, т.е. способность отвечать на раздражение. Любое раздражение имеет свои основные параметры (интен-ть, длит-ть, градиент и т.д.), которое проявляется в деятельности анализаторов. Анализатор (как система) состоит из 3-х частей - периферический конец, проводник и корковый конец.
Биофизический метод в исследованиях анализаторов позволяет установить ряд количественных закономерностей.
В 1834г. Э.Вебер уст-л для ряда анализаторов закон постоянства отношения I/I, где I- миним-й воспринимаемый прирост раздражения к его исходной величине. Позже Фехнер док-л, что минимальный прирост ощущения dS зависит от соотношения величин раздражения по формуле
dS=CdR/R,
где С- константа пропорц-сти. Отсюда, после интегр-ия получим
S=KlnR/r,
где r- величина раздр-ия, равная абсолютному порогу. Отметим, что при R=r имеем S=0. Если принять r за единицу измерения, то
S=KlnR.
60. Как проверить экспериментально закон Вебера-Фехнера.
Проверить з-н Вебера- Фехнера для тактального анализатора.
Для этого необходимо:
1. Положить на тыльную сторону ладони пластинку №1 (массой m1) и последовательно меняя и увеличивая величину тестирующего груза ∆m , зафиксировать пороговое значение ∆m1 для груза m1 (когда возникнут четкие ощущения).
2. Взять вторую пластинку m 2 (m1= m2), положить на первую m1 и повторить опыт с измерением ∆m 2. Убедиться, что ∆m2 ≈ 2∆m1
3. Повторить опыт и измерения с пластиной m3= m1 и проверить будет ли ∆m3≈ 3∆m1 или нет?
4. Рассчитать с какой абсолютной и относительной погрешностью выполняется закон Вебера- Фехнера для тактильного анализатора, ∆m1 /m1 =≈ ∆m 2 /(∆m1+ m 2 )= ≈ ∆m 3 /( m1 +m 2 +m 3 ).
Аналогичные измерения можно произвести и для слухового анализатора причем ∆I необходимо задавать с помощью ручки регулятора громкости . В этой связи вопрос: почему хорошую музыку не рекомендуют слушать громко.
61. Простая диффузия. Облегченная диффузия.
Диффузия вещества - направленный перенос частиц вещ-ва из области с большейконцентрации в область сменьшей конц-ей. Причем это движение происходит против градиента конц-и. Определяется движением молекулярных частиц по направлению концентрационного градиента.
Закон Фика связывает пространственное и временное изменения концентрации (уравнение диффузии), где коэффициент диффузии D зависит от температуры:
где dC/dt - количесво вещества диффундирующее в единицу времени
d2C/dx2 - концентрационный градиент (изменение концентрации вещества с расстоянием)
Для скорости диффузии важной величиной является концентрационный градиент. Коэф диффузии зависит от природы и молекулярной массы растворенного вещества и растворителя.
Простая диффузия. Простая диффузия неэлектролитов не требует наличия каких-либо специализированных структур, зависит только от липофильности и градиента концентрации. В общем случае диффузия зависит от размеров частицы: Вероятность диффузии крупных молекул через мембрану ниже. Простая диффузия электролитов затруднена наличием мембранного потенциала и гидрофильностью, поэтому диффузия электролитов требует участия специальных селективных каналов в мембране. Электролиты играют важную роль в жизнедеятельности клетки и транспорт электролитов может регулироваться изменением проницаемости каналов.
Облегченная диффузия – это быстрое движение молекул через мембрану с помощью специфических мембранных белков, называемых пермеазами. Этот процесс специфичен, он протекает быстрее простой диффузии, но имеет ограничение скорости транспорта. Облегченная диффузия обычно характерна для водорастворимых веществ. Большинство (если не все) мембранных переносчиков являются белками. Конкретный механизм функционирования переносчиков при облегченной диффузии исследован недостаточно. Они могут, например, обеспечивать перенос путем вращательного движения в мембране. Облегченная диффузия отличается от обычной не только скоростью, но и способностью к насыщению. Увеличение скорости переноса веществ происходит пропорционально росту градиента концентрации только до определенных пределов. Последний определяется “мощностью” переносчика.
62. Сенсорная рецепция. Проблема сопряжения между первичным взаимодействием внешнего стимула с рецепторным субстратом и генерацией рецепторного (генераторного) потенциала.
Сенсорной рецепцией называют процесс восприятия и преобразования энергии раздражителей внешней и внутренней среды организма в энергию нервных импульсов, передаваемую по чувствительным нервам в ЦНС. Сенсорный рецептор представляет собой нервную клетку или комплекс нервной и эпителиальной клетки, специально приспособленный для восприятия определенного типа раздражителей. Сенсорные рецепторы являются начальными звеньями любой рефлекторной дуги, а также участвуют в оценке параметров полезного приспособительного результата в функциональных системах организма.
Классификация и строение сенсорных рецепторов
По строению рецепторы подразделяют на первичные и вторичныеhttp://www.bio.bsu.by/phha/htmls/05/05_fig.htm - 01.
К первичным относят такие сенсорные рецепторы, у которых действие раздражителя воспринимается непосредственно периферическими отростками чувствительного нейрона (нервными окончаниями), которые могут быть:
• свободными, т. е. не имеют дополнительных образований;
• инкапсулированными, т.е. окончания чувствительного нейрона заключены в особые образования, осуществляющие первичное преобразование энергии раздражителя.
К вторичным относят такие сенсорные рецепторы, у которых действие раздражителя воспринимается специализированной рецептирующей клеткой не нервного происхождения. Возбуждение, возникшее в рецептирующей клетке, передается через синапс на чувствительный нейрон.
Тело чувствительного нейрона обычно располагается за пределами ЦНС: в спинномозговом или вегетативном ганглии. От такого нейрона отходят два отростка – дендрит, который следует к периферическим органам и тканям, и аксон, который направляется в спинной мозг.
По расположению сенсорные рецепторы подразделяют на:
• экстерорецепторы – воспринимают раздражители из внешней среды организма;
• интерорецепторы – воспринимают раздражители из внутренней среды организма;
• проприорецепторы – специализированные рецепторы опорнодвигательной системы.
По разнообразию воспринимаемых раздражителей сенсорные рецепторы подразделяют на:
• мономодальные – приспособлены для восприятия только одного вида раздражителя;
• полимодальные – приспособлены для восприятия различных видов раздражителей.
По модальности сенсорные рецепторы подразделяют на:
• хеморецепторы – воспринимают действие химических веществ;
• фоторецепторы – воспринимают световые раздражители;
• механорецепторы – воспринимают давление, вибрацию, перемещение, степень растяжения;
• терморецепторы – чувствительны к изменениям температуры;
• ноцицепторы – воспринимают болевое раздражение.
Рецепторы преобразуют энергию стимула в энергию проницаемости своей мембраны. Это процесс трансдукции. При действии стимула на рецептор. клетку происходят изменения пространств. конфигурации белковых рецепторных молекул. Это приводит к изменению проницаемости мембраны для определенных ионов и возникновению ионного тока, генерирующего рецепторный потенциал. Поскольку РП генерирует в афферентных нервных волокнах ПД, его называют также генераторным.
Большая часть рецепторов обладают способностью к фоновой импульсации в отсутствии всяких раздражителей. Это позволяет передавать сведения о сигнале не только в виде учащении но и виде урежения потока импульсов. Наличие таких разрядов приводит к обнаружению сигналов на фоне «шумов». «Шумы» - не связанные с внешним раздражением импульсы возникающие в рецепторах и нейронах в результате спонтанного выделения квантов медиатора и множественных возбудительных взаимодействий м/у нейронами.
Закономерности преобразования энергии внешнего раздражителя в серию нервных импульсов:
• чем выше сила действующего раздражителя, тем больше амплитуда РП;
• чем больше амплитуда РП, тем больше частота нервных импульсов.
63. Каков механизм окраски фенолфталеина при освещении элодеи. Пояснить его суть.
Для изучение влияния света на возможность фотосинтеза: необходимо взять 3 пробирки. В каждую налить по 2мл баритовой воды подкрашенной фенолфталеином. В две пробирки поместить веточку комнатного растения, третью оставить контрольной. Все пробирки плотно закрыть пробками. Одну изолировать от света, плотно завернув в черную бумагу. Через 40мин взять пробирки в руку и хорошо встряхнуть их до тех пор, пока станут заметными изменения окраски раствора.
Фотосинтез - уникальный процесс образования богатых энергией органических веществ в клетках зеленых растений под действием видимого света (400- 700 нм). Суммарное уравнение фотосинтеза имеет вид: CO2+nH2O=nC6H12O6+nO2
64. Электрохимический потенциал. Равновесие Доннана. Пассивный транспорт.
Электрохимический потенциал, термодинамическая функция, характеризующая состояние какого-либо компонента, состоящего из заряженных частиц (электронов, ионов), в фазе данного состава. Электрохимический потенциал может быть определён как приращение любого из потенциалов термодинамических системы при введении в неё одной заряженной частицы i-того компонента при неизменных всех остальных переменных, от которых зависит рассматриваемый потенциал. Электрохимический потенциал
, выражается формулой:
,
где m — химический потенциал i-того компонента,
zi, — заряд частицы,
j — электрический потенциал,
е — элементарный заряд; член ziej выражает работу по преодолению электрических сил.
СТАНДАРТНЫЙ ПОТЕНЦИАЛ электрохимический (нормальный потенциал), электродвижущая сила гальванического элемента, составленного из какого-либо электрода и стандартного электрода сравнения при условии, что термодинамические активности всех ионов, участвующих в электродном процессе, равны 1. В качестве стандартного электрода сравнения обычно принимают водородный электрод, потенциал которого при всех температурах принимается равным нулю. Металлы, расположенные в определенной последовательности их стандартного потенциала, образуют ряд напряжений.
Равновесие Доннана.
Если налить в сосуд с полупроницаемоей перегородкой воды, то в 1 и 2 будет вода.
Доннан добавил в первый отсек соль KCl. По прошествии определенного времени концентрации различных ионов в двух отсеках стали равны.
Доннан взял соль с органическими ионами, которые не проходят через мембрану. Через некоторое время ионы K+ и Cl– начинают диффунцировать. Наступает ситуация при которой в первом отсеке [K+] больше, чем во втором, в первом отсеке [Cl–] меньше, чем во втором.
Вывод: анион, не проходящий через мембрану оказывает на распределение анионов и катионов, свободно проходящих через мембрану между отсеками.
Такая же ситуация наблюдается и в клетках и в биосистемах. Установленное
Доннаном равновесие обусловлено несколькими фактами:
1. Оба отсека по отдельности должны быть электронейтральными, то есть в каждом отсеке число "+" ионов должно быть равно числу "–" ионов.
2. Диффундирующие ионы (K+ и Cl–) пересекают мембрану парами, при этом сохраняется электронейтральность отсеков. Вероятность пересечения мембраны этими ионами определятется произведением их концентраций
[K+]*[Cl–].
3. В равновесии скорость диффузии KCl в одном направлении равна скорости диффузии KCl в противоположном направлении. Поэтому [K+]*[Cl–] должно быть одинаковым для обоих отсеков.
Математическое выражение Доннановского равновесия:
[K+]2/[K+]1=([A–]1+[Cl–]1)/[Cl–]2.
Транспорт веществ через мембраны подразделяется на активный и пассивный. Пассивный транспорт всегда идёт по градиенту электрохимического потенциала до тех пор, пока разность потенциалов не будет равна нулю.
-
Простая диффузия. Простая диффузия неэлектролитов не требует наличия каких-либо специализированных структур, зависит только от липофильности и градиента концентрации. В общем случае диффузия зависит от размеров частицы: Вероятность диффузии крупных молекул через мембрану ниже. Простая диффузия электролитов затруднена наличием мембранного потенциала и гидрофильностью, поэтому диффузия электролитов требует участия специальных селективных каналов в мембране. Электролиты играют важную роль в жизнедеятельности клетки и транспорт электролитов может регулироваться изменением проницаемости каналов.
-
Облегчённая диффузия. Осуществляется с участием специализированных переносчиков. Перенос осуществляется значительно быстрее, чем простая диффузия. С её помощью осуществляется перенос аминокислот, моносахаридов, некоторых ионов.
65. Основные типы сократительных и подвижных систем.
Разл-т 2 режима сократит. дея-ти: изотонический (мышца укор-ся при неизменном внутр. напряжении) и изометрический (мышца не укор-ся, а лишь разв-т внутр. напряжение). Разл-т 2 осн.вида мыш.сокращ-и: одиночные (возн-т при дей-и на мышцу одиночного нерв.импульса или кратк. толчка тока) и титанические (при ритмической стимуляции моторного нерва или мышцы: при редкой стимуляции-зубчатый тетанус, при более частой-гладкий).
Дв-ие в жив. природе обес-ет приспос-сть к изм-ям в окр. среде, поддержание трофики и выживание раст-го и жив-го орг-ма. Сущ-ют различ. формы дв-ия от фототропизма до сложно организованных мышеч. дв-ий. В животном орг-е дв-ие осущ-ся за счет механохимических проц-в, кот-е обес-ся работой надмолекул. стр-р ферментов, сопровождаемых катализом и гидролизом АТФ. Рабочее тело-белок с механич. св-ми, изменяющимися за счет ферм-ых проц-в (сорбции лиганда). Такие процессы (перенос Н+ по градиенту эл.хим-го потенциала) лежат в основе работы бактериальных жгутиков и работы сократ. органелы- спазмонемы ( за счет переноса Са2+ и его связывания она укор-ся). Эти с-ы раб-т в циклическом режиме, когда рабочее тело пол-т энергию от ист-ка (претерпевает изм-я), передает её нагрузке во время рабочего хода и далее такой преобразователь возвращается в исх-е состояние.
Скелет. мышца позвон-ых сост-т из отд-х многоядерных клеток - мышечных волокон. Волокна имеют 2 пластинки (поперечные), которые разделяют саркомеры. Нерв. импульс вызывает выброс Са2+ из саркоплазмат-го ретикулума и проис-т обр-ие связи миозинового мостика с белком актином. Нити скользят до тех пор, пока сила мостика не упадет до 0, после чего мостик размыкается.
Во время работы хода мостик преобр-т своб. энергию гидролиза АТФ в механическую А. При обратном ходе на обращение сост-ия мостика затраг-ся часть энергии АТФ. Осущ-ся полный цикл превращений мостика. На своб. миозине проис-т гидролиз АТФ и долгоживущий миозинпродуктный комплекс соед-ся с актином. Бол. cвоб. энергия переходов, связанных с десорбцией продуктов гидролиза АТФ от актомиозина м/б использована для совершения работы в мышце. Осн. освоб-ие своб. энергии гидролиза АТФ проис-т при десорбции фосфата.
66. Почему принято делить общий процесс фотосинтеза на световые и темновые стадии? Что делает энергетически возможным протекание темновых стадий фотосинтеза?
Фотосинтез – это процесс синтеза органических веществ из неорганических за счет энергии света.
Фотосинтез в растительных клетках идет в хлоропластах.
Суммарная формула:6СО2+ 6Н2О = С6H12О6 + 6О2.
Световая фаза фотосинтеза идет только на свету: квант света выбивает электрон из молекулы хлорофилла, лежащей во внутренней мембране тилакоида; выбитый электрон либо возвращается обратно, либо попадает на цепь окисляющих друг друга ферментов. Цепь ферментов передает электрон на внешнюю сторону мембраны тилакоида к переносчику электронов. Мембрана заряжается отрицательно с наружной стороны. Положительно заряженная молекула хлорофилла, лежащая в центре мембраны, окисляет ферменты, содержащие ионы марганца, лежащие на внутренней стороне мембраны. Эти ферменты участвуют в реакциях фотолиза воды, в результате которых образуются ионы Н+; протоны выбрасываются на внутреннюю поверхность мембраны тилакоида и на этой поверхности появляется положительный заряд. Когда разность потенциалов на мембране тилакоидов достигает 200 мВ, через канал АТФ-синтетазы начинают проскакивать протоны, при этом синтезируется АТФ.
Во время темновой фазы фотосинтеза из СО2 и атомарного водорода, связанного с переносчиками, синтезируется глюкоза за счет энергии АТФ. СО2 связывается с помощью фермента рибулезодифосфаткарбоксилазы с рибулезо-1,5-дифосфатом, который превращается после этого в трехуглеродный сахар.
Синтез глюкозы идет в матриксе тилакоидов на ферментных системах. Суммарная реакция темновой стадии: 6СО2 + 24Н = С6Н12О6 + 6Н2О.
67. Потенциал покоя, его происхождения. Взаимодействие квантов с молекулами.
Мембранный потенциал покоя образуется главным образом благодаря выходу К+ из клетки через неселективные ионные каналы. Утечка из клетки положительно заряженных ионов приводит к тому, что внутренняя поверхность мембраны клетки заряжается отрицательно относительно наружной.
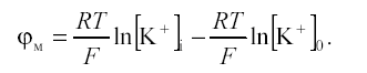
Мембранный потенциал, возникающий в результате утечки К+ , называют «равновесным калиевым потенциалом» (Ек). Его можно рассчитать по равнению Нернста
где R – универсальная газовая постоянная,
Т – температура (по Кельвину),
F – число Фарадея,
[К+] нар – концентрация ионов К+ снаружи клетки,
[К+] вн – концентрация ионов К+ внутри клетки.
ПП, как правило, очень близок к Ек, но не точно равен ему. Эта разница объясняется тем, что свой вклад в формирование ПП вносят:
• поступление в клетку Na+ и Cl– через неселективные ионные каналы; при этом поступление в клетку Cl– дополнительно гиперполяризует мембрану, а поступление Na+ – дополнительно деполяризует ее; вклад этих ионов в формирование ПП невелик, так как проницаемость неселективных каналов для Cl– и Na+ в 2,5 и 25 раза ниже, чем для К+.
• прямой электрогенный эффект Na+/К+ ионного насоса, возникающий в том случае, если ионный насос работает асимметрично (На 2 иона, поступающих в клетку K+ приходится 3 иона Na+, выносимых во внешнюю среду).
68. Первичные фотохимические реакции.
Фотохимическими называют реакции, протекающие под действием света. Химическое действие света определяется его взаимодействием с электронами, находящимися на внешних слоях электронных оболочек атомов. Поскольку количество поглощенной энергии пропорционально произведению потока излучения Фе на время, в течение которого тело подвергается освещению, то различные световые потоки производят одинаковое фотохимическое действие, если Ф1Δt1=Ф2Δt2. Это есть основной закон фотохимии.
После поглощения кванта света в молекуле могут происходить разнообразные процессы. В начале 20 в. Альбертом Эйнштейном и немецким физиком Иоганном Штарком был сформулирован второй закон фотохимии. В соответствии с этим законом, первичный фотохимический акт происходит под действием одного кванта света – фотона. Поэтому этот закон называют также законом квантовой эквивалентности. (После открытия лазеров было обнаружено, что у этого закона есть исключения: в случае очень мощного лазерного излучения возможно одновременное поглощение двух фотонов.)
Второй закон фотохимии служит основой для расчета квантового выхода фотохимической реакции, который равен числу прореагировавших (или вновь образовавшихся) молекул, деленному на число поглощенных квантов. Квантовый выход, определяемый экспериментально, позволяет судить о механизме фотохимической реакции.
Квантовый выход фотохимической реакции К это величина, показывающая, какая часть молекул, поглотивших фотоны, вступила в фотохимическую реакцию (число прореагировавших молекул):
где N -число молекул, которые после поглощения фотона вступили в фотохимическую реакцию; Nn -общее число молекул, поглотивших фотоны.
Если бы каждый поглощенный фотон вызывал реакцию, то квантовый выход равнялся бы 100%. Однако обычно К не превышает несколько процентов или долей процента.
69. Что такое фоновая радиоактивность и как она определяется?
Под радиоактивностью понимается самопроизвольное (спонтанное) превращение неустойчивых изотопов хим. элементов в изотопы др. элементов, к-рое сопровождается испусканием ядрами элементарных частиц. Фоновая радиация - природное радиоактивное излучение, источниками которого являются космические лучи, газ радон и испытания ядерного оружия.
Под фоновой радиоактивностью также пожно подразумевать активность, обусловленную присутствием в пробах естественных (природных) радионуклидов и содержанием в этих пробах искусственных радионуклиде счет глобальных выпадений.
Определение фоновой радиоактивности можно произвести 2-мя способами: приборами и отбором проб (почвы, растительности, воды). Отбор проб следует производить в теком месте, где данный объект ОС не подвержен искусственному облучению, то есть на значительном расстоянии от автодорог, промышленных предприятий и др антропогенных источников. Затем провести аналих на содержание радионуклидов.
70. Потенциал действия. Роль ионов Na и К в генерации потенциала действия в нервных и мышечных волокнах: роль ионов Са и CI.
Потенциал действия развивается на мембране в результате её возбуждения и сопровождается резким изменением мембранного потенциала.
В потенциале действия выделяют несколько фаз:
• фаза деполяризации;
• фаза быстрой реполяризации;
• фаза медленной реполяризации (отрицательный следовый потенциал);
• фаза гиперполяризации (положительный следовый потенциал).
Фаза деполяризации. Развитие ПД возможно только при действии раздражителей, которые вызывают деполяризацию клеточной мембраны. При деполяризации клеточной мембраны до критического уровня деполяризации (КУД) происходит лавинообразное открытие потенциалчувствительных Na+-каналов. Положительно заряженные ионы Na+ входят в клетку по градиенту концентрации (натриевый ток), в результате чего мембранный потенциал очень быстро уменьшается до 0, а затем приобретает положительное значение. Явление изменения знака мембранного потенциала называют реверсией заряда мембраны.
Фаза быстрой и медленной реполяризации. В результате деполяризации мембраны происходит открытие потенциалчувствительных К+-каналов. Положительно заряженные ионы К+ выходят из клетки по градиенту концентрации (калиевый ток), что приводит к восстановлению потенциала мембраны. В начале фазы интенсивность калиевого тока высока и реполяризация происходит быстро, к концу фазы интенсивность калиевого тока снижается и реполяризация замедляется. Усиливает реполяризацию поступление в клетку Ca2+
Фаза гиперполяризации развивается за счет остаточного калиевого тока и за счет прямого электрогенного эффекта активировавшейся Na+/K+ помпы. Поступление в клетку Cl– дополнительно гиперполяризует мембрану
Изменение величины мембранного потенциала во время развития потенциала действия связано в первую очередь с изменением проницаемости мембраны для ионов натрия и калия.
71. Восстановление от радиационного поражения.
Радиационными (лучевыми) поражениями называются патологические изменения в организме, возникающие в результате воздействия на него ионизирующего излучения. Под влиянием ионизирующего излучения в организме образуются вещества, обладающие высокой химической активностью, в первую очередь продукты радиолиза воды, возникают нарушения молекулярных связей на клеточном уровне, прежде всего в клетках кроветворения, кишечного эпителия, половых желез. Характер и выраженность радиационных поражений зависит от вида ионизирующего излучения, его дозы, времени облучения, возраста и пола пациентов.
Начальный период проявляется местными и общими реакциями, которые продолжаются от нескольких часов до нескольких суток. В этот период наблюдается покраснение кожи, тошнота, рвота, слабость, головная боль, повышение температуры тела. При высокой дозе облучения наблюдаются расстройства сознания.
Последующий латентный (скрытый) период длительностью от 2 до 4-5 недель протекает на фоне улучшения самочувствия больных, сопровождаясь, однако, патологическими изменениями в органах и тканях.
Период выраженных клинических проявлений характеризуется тяжелым поражением кроветворной системы, кишечника, подавлением иммунитета, интоксикацией, повторными кровотечениями, присоединением инфекционных осложнений, и сменяется при благоприятном течении через 2-3 недели периодом восстановления функций пораженных органов и улучшением состояния больных.
Восстановление от облучения — восстановление исходной структуры или жизнеспособности клетки, ткани, органа, системы органов, организма после облучения.
Восстановление ДНК — репарация. Восстановление организма — пролиферация тканей критических органов за счет сохранивших жизнеспособность стволовых клеток костного мозга и кишечника.
Процесс восстановления организма после облучения в умеренных дозах наступает быстро. При лёгких формах лучевой болезни выраженные клинические проявления могут отсутствовать. При более тяжёлых формах период полного восстановления иногда затягивается до года и больше. Как отдалённые проявления лучевой болезни у женщин отмечается бесплодие, у мужчин - азооспермия; эти изменения чаще носят временный характер. Через много месяцев и даже лет иногда развивается помутнение хрусталика (так называемая лучевая катаракта). После перенесённой острой лучевой болезни иногда остаются стойкие невротические проявления, очаговые нарушения кровообращения; возможно развитие склеротических изменений, злокачественных новообразований, лейкозов, появление у потомства пороков развития, наследственных заболеваний.
72. Основные методы регистрации радиоактивных излучений и частиц Их характеристика.
Различные регистрирующие устройства позволяют изучать в основном заряженные частицы, которые вызывают ионизацию среды, т.е. при соударении вырывают электрон из атомов частиц среды, сообщая ему энергию ионизации Ei. Однако незаряженные частицы, особенно с большой энергией также могут взаимодействовать с электронами атомов или ядрами и, в конечном итоге, могут быть зарегистрированы.
Основные методы и устройства регистрации частиц.
Ионизационная камера. Это герметичный сосуд с двумя электродами, заполненный газом (воздух, водород, азот и др.) при пониженном давлении. Между электродами создается разность потенциалов в пределах 100- 1500 В. Регистрируемая частица, попадая в счетчик, вызывает ионизацию газа и появление тока в цепи. Камера работает в режиме насыщения- все электроны и ионы, образуемые частицей, достигают электродов, поэтому величина тока I пропорциональна числу частиц (интенсивности излучения) N, т.е. I=kN. Отсутствие или наличие ударной ионизации влияет только на величину тока I, которая в любом случае зависит от количества частиц N. Однако если и дальше увеличивать разность потенциалов, то мы попадаем в область самостоятельного разряда, который вызывается внешней частицей, но не прекращается при последующем отсутствии частиц и нужны специальные устройства для его гашения.
Счетчик Гейгера- Мюллера (СГМ). В основе его работы- самостоятельный газовый разряд. Конструктивно СГМ выполнен в виде стеклянной трубки, покрытой изнутри тонким слоем меди (катод) и центральной вольфрамовой нити (анод). Частицы высоких энергий (- ,- и др.) проникают через стенку датчика, для -частиц в торце счетчика делают окошко из алюминиевой фольги или слюды. Возникающий самостоятельный разряд кратковременный, т.к. разрядный ток создает падение напряжения на сопротивлении R, которое велико и напряжение между электродами счетчика (соответственно и Е) уменьшается настолько, что энергии электронов или ионов qE' уже недостаточно для ионизации встречных молекул. Происходит быстрая рекомбинация электронов и ионов, газовый разряд прекращается. Счетчик приходит в исходное состояние и может регистрировать следующую частицу. Таким образом каждая частица, попадая в счетчик, дает импульс тока и скачок напряжения на R, который можно регистрировать любым счетчиком импульсов. Если мощность излучения больше, то счетчик не успевает срабатывать и надо воспользоваться ионизационной камерой, в которой I=kN.
Камера Вильсона. Принцип её работы основан на конденсации пересыщенных паров воды или спирта на цепочке ионов, образующихся вдоль траектории движения регистрируемых частиц. Чаще всего камера выполнена в виде цилиндра с черным подвижным дном и стеклянным верхом. Внутри её находятся пары спирта или воды в смеси с аргоном или другим инертным газом. При резком сжатии пары становятся пересыщенными и образующийся трек снимают на черном фоне. Действуя электрическими или магнитными полями в перпендикулярном вектору скорости частиц
направлении, можно изменить траекторию и по её радиусу судить о скорости движения частиц, их массе.
Толстослойные пластинки. Способ регистрации основан на действии заряженных частиц или их продуктов распада (взаимодействия с веществом подобно квантам света) при попадании в фотоэмульсию. Так как плотность последней велика, то длина треков частиц невелика (около 1 мм) и обычно такие пластинки обследуют при поперечном срезе под микроскопом. Пузырьковая камера. Рабочее тело- перегретый жидкий водород (или другое тело), в котором регистрируемые частицы создают центры парообразования в виде треков. Как и в камере Вильсона возможно действие поперечных магнитных (В) и электрических (Е) полей.
73. Функционирование поперечнополосатой мышцы позвоночных. Молекулярные механизмы немышечной подвижности.
Структурная организация скелетной мышцы
Мышечное волокно и миофибрилла. Скелетная мышца состоит из множества мышечных волокон, имеющих точки прикрепления к костям и расположенных параллельно друг другу. Каждое мышечное волокно (миоцит) включает множество субъединиц – миофибрилл , которые построены из повторяющихся в продольном направлении блоков (саркомеров). Саркомер является функциональной единицей сократительного аппарата скелетной мышцы. Миофибриллы в мышечном волокне лежат таким образом, что расположение саркомеров в них совпадает. Это создает картину поперечной исчерченности.
Саркомер и филламенты. Саркомеры в миофибрилле отделены друг от друга Z -пластинками, которые содержат белок бета-актинин. В обоих направлениях от Z -пластинки отходят тонкие актиновые филламенты. В промежутках между ними располагаются более толстые миозиновые филламенты .
Актиновый филламент внешне напоминает две нитки бус, закрученные в двойную спираль, где каждая бусина – молекула белка актина . В углублениях актиновых спиралей на равном расстоянии друг от друга лежат молекулы белка тропонина , соединенные с нитевидными молекулами белка тропомиозина.
Миозиновые филламенты образованы повторяющимися молекулами белка миозина . Каждая молекула миозина имеет головку и хвост . Головка миозина может связываться с молекулой актина, образуя так называемый поперечный мостик .
Клеточная мембрана мышечного волокна образует инвагинации (поперечные трубочки), которые выполняют функцию проведения возбуждения к мембране саркоплазматического ретикулума. Саркоплазматичекий ретикулум (продольные трубочки) представляет собой внутриклеточную сеть замкнутых трубочек и выполняет функцию депонирования ионов Са++ .
Двигательная единица. Функциональной единицей скелетной мышцы является двигательная единица (ДЕ). ДЕ – совокупность мышечных волокон, которые иннервируются отростками одного мотонейрона. Возбуждение и сокращение волокон, входящих в состав одной ДЕ, происходит одновременно (при возбуждении соответствующего мотонейрона). Отдельные ДЕ могут возбуждаться и сокращаться независимо друг от друга.
Фазы мышечного сокращения
При раздражении скелетной мышцы одиночным импульсом электрического тока сверхпороговой силы возникает одиночное мышечное сокращение, в котором различают 3 фазы :
• латентный (скрытый) период сокращения (около 10 мс), во время которого развивается потенциал действия и протекают процессы электромеханического сопряжения; возбудимость мышцы во время одиночного сокращения изменяется в соответствии с фазами потенциала действия;
• фаза укорочения (около 50 мс);
• фаза расслабления (около 50 мс).
Режимы мышечного сокращения
В естественных условиях в организме одиночного мышечного сокращения не наблюдается, так как по двигательным нервам, иннервирующим мышцу, идут серии потенциалов действия. В зависимости от частоты приходящих к мышце нервных импульсов мышца может сокращаться в одном из трех режимов .
• Одиночные мышечные сокращения возникают при низкой частоте электрических импульсов. Если очередной импульс приходит в мышцу после завершения фазы расслабления, возникает серия последовательных одиночных сокращений.
• При более высокой частоте импульсов очередной импульс может совпасть с фазой расслабления предыдущего цикла сокращения. Амплитуда сокращений будет суммироваться, возникнет зубчатый тетанус – длительное сокращение, прерываемое периодами неполного расслабления мышцы.
Во время выполнения работы мышца может сокращаться:
• изотонически – мышца укорачивается при постоянном напряжении (внешней нагрузке); изотоническое сокращение воспроизводится только в эксперименте;
• изометричеки – напряжение мышцы возрастает, а ее длина не изменяется; мышца сокращается изометрически при совершении статической работы;
• ауксотонически – напряжение мышцы изменяется по мере ее укорочения; ауксотоническое сокращение выполняется при динамической преодолевающей работе.
Молекулярные механизмы сокращения скелетной мышцы
Согласно теории скольжения нитей, мышечное сокращение происходит благодаря скользящему движению актиновых и миозиновых филламентов друг относительно друга. Механизм скольжения нитей включает несколько последовательных событий.
• Головки миозина присоединяются к центрам связывания актинового филламента.
• Взаимодействие миозина с актином приводит к конформационным перестройкам молекулы миозина. Головки приобретают АТФазную активность и поворачиваются на 120 ° . За счет поворота головок нити актина и миозина передвигаются на «один шаг» друг относительно друга .
• Рассоединение актина и миозина и восстановление конформации головки происходит в результате присоединения к головке миозина молекулы АТФ и ее гидролиза в присутствии Са++ .
• Цикл «связывание – изменение конформации – рассоединение – восстановление конформации» происходит много раз, в результате чего актиновые и миозиновые филламенты смещаются друг относительно друга, Z -диски саркомеров сближаются и миофибрилла укорачивается .
74. Проблема вкусовых рецепторных белков.
Вкус — это химическое чувство, требующее, чтобы пищевое вещество было растворено в жидкости и приведено в контакт со специализированными вкусовыми клетками. После этого вкусовые клетки получают химические молекулы и развивают нервные импульсы для передачи в центральную нервную систему. На концах этих клеток нах-ся микроворсинки, содержащие специфические белки. Это белки-рецепторы формируют 4 вкуса: соленое, сладкое, горькое, кислое. Вкусовые рецепторы распределены по приблизительно 10 000 вкусовым почкам, в основном на языке, но также на глотке, мягком нёбе и гортани. Вкусовые почки — это центры вкусовых рецепторов для четырех различных вкусовых ощущений, расположенные в разных частях языка. Сейчас выделены белки и рецепторы сладкого (монеллин, тиуматин и миракулин) и их антагонисты (гимнемовые кислоты и зизифин). Монеллин (белок, М=10000) в 3000 раз слаще сахарозы, способен вызывать электрический сигнал на мембране вкусовой луковицы.
76. Общие представления о структуре и функции рецепторных клеток в работе сенсорных систем.
Для любого живого организма характерно свойство раздражимости, т.е. способность отвечать на раздражение. Последнее обеспечивается адекватными для данного рецепторного аппарата раздражителями (световые, механические, электрические, химические и т.д). Любое раздражение имеет свои основные параметры (интенсивность, длительность, градиент и т.д.), которые оцениваются (проявляются) в деятельности анализаторов. В свою очередь анализатор (как система) состоит из 3-х частей (звеньев)- периферический конец, проводник и корковый конец.
Первое звено- рецепторы- обеспечивает восприятие специфических форм энергии, которые для рецептора являются адекватными раздражителями. Например для рецептора уха- это механические колебания от 16 до 25 000 Гц. Второе звено- проводниковое- обеспечивается работой афферентных нервов. Корковое звено- это третья часть анализаторов, в которой возникают ощущения и восприятия. То что корковая часть- это в определенном смысле самостоятельная часть анализатора подтверждается фактом, что ощущения могут возникать и без раздражения (обусловлены изменениями в окружающей рецептор среде) и без возбуждения (оно обуславливается обменом веществ в организме в следствие раздражения), например во сне или при галлюцинациях. Известно также, что возможна работа периферического звена без коркового звена (жизнь без сознания).
77. Понятие фазатона мозга и движение аттрактора ВСОЧ в фазовом пространстве с возрастом человека
Центральным регулятором ФСО является некоторая система на базе ЦНС, обеспечивающая интегрированное управление, условно называемая фазатоном мозга (ФМ).
Фазатон мозга включает в себя 3 системокомплекса: 1.нейро-моторный с.; 2. нейро-трансмитерный с.; 3. н-вегетативный с.
НВС – проявляется в ПАР и в СИМ НС. Тропотрофный эффект, эрготропный эффект; увеличивает концентрацию К+ в крови и его внутрикл.транспорт; увеличивает концентрацию Са++ в крови; Повышает показатели активности ПАР в НС, понижает СИМ; Повышает СИМ и понижает ПАР.
НМС – нерв Павлова – работа сердца. По вазастрикторным данным есть люди ПАР и СИМ: СИМ(вазаделяторные)-краснеют; ПАР(вазастрикторные)-бледнеют; НМС – гладкая и скелетная мускулатура автоматически активирует ФМ и ост-ые системы. Выплеск адреналина, дофамина. В мышцах есть флексоры и экстензоры.
НТС – 2 типа- возбуждающий и тормозный медиаторы. Возбужд.-адреналин, дофамин, нор-адреналин. Тормозные – ГАМК, Ацетил-холин, глицин(спин.мозг).
Т – тоническая фаза, PN – псевдо нормальная область, N – норматоник, F – фазатоник.
Область начала координат – это область М – область смерти.
С возрастом человек перемещается из верхней правой области в нижнюю левую область.
79. Оценка коэффициента асинергизма χ с помощью матрицы А в рамках компартментного подхода.
Все количественные показатели ФСО характеризуют состояние кардио-респираторной системы (КРС) для ряда лиц, как критические, а для большинства - как адаптационные, но с отклонением от среднеевропейской нормы. Ситуация усугубляется высоким показателем уровня оксигемоглобина.
Пусть мы имеем две обобщенные координаты, описывающие вектор состояния ФСО x и гомеостаз в целом. В качестве x1 можно выбрать уровень фазического сухожильного рефлекса, а в качестве x2 - уровень катехоламинов, который может меняться под действием L-ДОПА (наком, мадопар, синемет) или угнетаться действием нейролептиков (которые индуцируют атетоидные, торсионно-дистонические гиперкинезы). Откладывая по вертикали значения x1 и по горизонтали x2, мы получим (рис. 2) картину: N - норма (пересечение двух областей), фазическая патология (F), тоническая патология (T).
Положение центров областей Т или F может смещаться (постоянный нейромоторно-вегетативный баланс). А это значит, что и область N может постоянно меняться по размерам, а ее центр тяжести смещаться ближе к области Т или F. При этом у человека может преобладать тонический моторно-вегетативный гомеостаз или фазический.
Используя компартментный подход модели ФСО и ФМ можно представить в виде ориентированного графа. При этом структурная и параметрическая идентификация матмоделей подобных БДС может быть реализована в конечном виде, если мы имеем дело с линеаризованной динамической системой. В этом случае матмодель системы управления иерархической БДС - ИБДС имеет вид системы дифференциальных уравнений
dx/dt=Ax-bx+ud (2)
где x - вектор состояния ИБДС, A - блочно-треугольная матрица межкомпартментных и межкластерных связей, b - коэффициент диссипации возбуждения в БДС, d учитывает управляющий драйв. Для ИБДС с и d в отличие от вида (1) представляется не векторами, а матрицами.
Входящая в (2) матрица A имеет n уровней иерархии, каждый из которых моделируется определенным кластером ИБДС. При этом графу взаимодействий между уровнями иерархии единственным образом сопоставляется матрица A, у которой наличие/отсутствие связей между уровнями задается соответственно ненулевыми или нулевыми блочными матрицами, стоящими под блочной диагональю. Каждому неразложимому диагональному блоку разложимой матрицы A соответствует свой кластер компартментов всей ИБДС. Каждый отдельно взятый кластер описывается уравнениями вида (1).
Тогда исходное фазовое пространство модели представляется в виде прямой суммы подпространств и для кооперативных биологических систем A должна иметь неотрицательные компоненты (A0). В соответствии с расщеплением пространства R, вектор внешних воздействий d имеет вид:
Решение задачи структурной идентификации ИБДС сводится к идентификации матриц Aij, входящих в матрицу A, идентификации числа уровней иерархии и положения каждого кластера в многоуровневой иерархической структуре ИБДС. В ряде наших работ представлено подробное описание алгоритмов этой идентификации. Отметим, что такая идентификация A ii и A ij должна сопровождаться установлением интервалов дискретизации регистрируемых сигналов, в рамках которых входные управляющие воздействия длительностью t1 (длительность управляющих воздействий, поступающих на первый кластер) и t2 (длительность управляющих воздействий для кластера 2-го уровня для двухкластерных систем, например) не меняют порядки m1 и m2 и структуры исследуемых кластеров. Вывод о неизменности моделей кластеров делается по анализу собственных значений матриц A11 и A22. Определение и задание длительностей входных воздействий на кластеры i-ых уровней - это принципиальная задача, требующая теоретического и приборного обеспечения с помощью специальных фармпрепаратов или др/ терапевтическими методами (у нас - гирудотерапия).
80. Методы изучения конформационной подвижности: изотопный обмен, люминесцентные методы, спиновая метка, гамма-резонансная метка ЯМР высоко разрешения, импульсные методы ЯМР.
Метод изотопного обмена. Исторически возникновение понятия о конформационной подвижности белков связано с развитием метода изотопного обмена атомов водорода. Явление изотопного обмена состоит в том, что атомы водорода, входящие в основном в амидные пептидные группы, могут вступать в обратимую реакцию обмена с атомами дейтерия и трития, находящимися в окружающем растворителе.
Метод изотопного обмена дает уникальную возможность регистрировать ничтожные концентрации конформационно неравновесных состояний. Но он
не позволяет установить, какая часть молекулы белка и каким образом должна
перестроиться, чтобы ее NH-группы оказались доступными растворителю. Этим методом нельзя определить частоту конформационных движе
нии, которая представляет собой важную характеристику внутримолекулярной по
движности белка. Ценность метода изотопного обмена определяется информацией
о локальных конформационно неравновесных состояниях, которые, накапливаясь в
достаточных концентрациях, могут способствовать конформационным переходам,
сопровождающим функциональные процессы в белках.
Сегодня люминесцентные анализ охватывает широкий круг методов определения разнообразных объектов от простых ионов и молекул до высокомолекулярных соединений и биологических объектов. Детектируется люминесценция самого объекта или его производных, возможно также использование изменения люминесценции специфичных агентов. Для сложных проб люминесцентное детектирование сочетается с химическим разделением (хроматография, электрофорез) или с биологическим выделением (иммуноанализ, метод полимеразной цепной реакции - ПЦР).
Процесс люминесценции включает в себя переход молекул на возбужденный электронный уровень, колебательную релаксацию в возбужденном состоянии, переход на основной электронный уровень либо с испусканием света (собственно люминесцентное излучение), либо безызлучательно и колебательной релаксации в основном состоянии.
Спиновая метка. Суть метода: Присоединение к функц-ой группе белка свободного радикала и изучения хар-к его сигналов ЭПР. Наиболее удобны в этом отн-ии нитроксильные радикалы, сод-ие свободнорадикальную группу N-О. Неспаренный электрон прин-т 2p-орбиталям N и О2 и фактически делакализован м\ду атомами Nи О, эф-но взаимодействуют по диполь-дипольному механизму с магнитным моментом спина ядра атома азота. В силу этого происходит расщепление линии поглощения сигнала ЭПР (СТС) на три составляющие, соответствующее трем разным проекциям ядерного спина азота на направление Но. Вид спектра определяется главным образом анизотропным взаимодействием.
Гамма-резонансная метка. Этот метод дает важную информацию о динамике белков. Он позволяет определять амплитуды смещений атомов в структуре белка на коротких временах (10-7-10-9 с). Он основан на том, что при поглощении у-кванта происходит переход ядра из основного (Е\) в возбужденное состояние (Е-2) согласно обычному закону ∆Е = Е2 — Е1 = hv, где для ядерных уровней ∆Е составляет 103-105 эВ. Поглощение у-квантов наблюдается на ядрах тяжелых атомов Fe, Cu, Pb. Для изотопа 57Fe, содержащегося в природных соединениях в количестве 2,2%, величина ∆Е при резонансном поглощении составляет 14,4 КэВ, а время жизни ядра 57Fe в возбужденном состоянии τ* ~ 10 -7 с. Отсюда согласно соотношению неопределенностей для энергии можно найти, что естественная ширина резонансной линии поглощения у-квантов составляет очень малую величину Г ~ 10 -8 эВ.
Спектры ЯГР (ядерного гамма-резонанса) отражают химическую и физическую структуру окружения ядра и характеризуются химическим сдвигом, квадру-польным расщеплением, формой линии и сверхтонкой структурой. В настоящее время ЯГР становится мощным орудием в расшифровке атомной структуры активных центров.
Ядерный магнитный резонанс (ЯМР). Одним из мощных методов изучения
динамики биополимеров является метод ядерного магнитного резонанса. Сущность
явления ЯМР сходна в основных чертах с электронным парамагнитным резонансом. Ядра (помимо ядер с четным числом протонов и нейтронов), к числу которых принадлежат основные изотопы углерода 612С и кислорода 816О), имеют отличные от нуля значения спина І (принятое для ядер обозначение) и магнитного дипольного момента. При этом магнитные моменты разных ядер отличны друг от друга. Условия резонанса для ядер, например протонов, входящих в состав молекул, будут отличаться от условий для свободного протона вследствие экранирования электронными оболочками и влияния ядер химического окружения протона. Поэтому резонансное магнитное поле в должно быть заменено эффективным полем, учитывающим влияние окружения. Кроме того, магнитные моменты различных ядер взаимодействуют между собой и электронами в молекуле, причем характер этого взаимодействия также зависит от окружения ядра. Эти факторы влияют на параметры спектра ЯМР, давая тем самым информацию о химических свойствах и внутримолекулярной динамике образца.
Импульсные методы ЯМР. основаны на том, что система спинов, ориентированных в постоянном внешнем магнитном поле, возбуждается импульсом радиочастотного поля и выводится тем самым из равновесия. Это приводит к отклонению вектора микроскопической намагниченности от его первоначальной ориентации вдоль направления поля Но В результате система ядерных спинов начинает прецес-сировать вокруг Но, наводя ЭДС в приемной катушке, что регистрируется в виде сигнала свободной индукции после окончания радиочастотного импульса. Сигнал свободной индукции представляет фурье-отображение спектра, по которому может быть восстановлен и сам спектр после соответствующей обработки с помощью ЭВМ. Этот метод позволяет резко ускорить регистрацию спектров и его широко применяют в современных спектрометрах ЯМР.
Таким образом, метод ЯМР позволяет идентифицировать определенные виды внутримолекулярного движения в молекуле белка. Все это дает возможность осуществлять прямые экспериментальные исследования связи между внутренней динамикой и функцией белковых молекул.
81. Определение с помощью ЭВМ показателей асимметрии в аттракторах метеофакторов Югры (Р и Т).
Аттра́ктор (англ. attract — привлекать, притягивать) — множество точек в фазовом пространстве динамической системы, к которым стремятся траектории системы. Если траектория прошла достаточно близко к аттрактору, то со временем она уже не покинет окрестность аттрактора и даже будет подходить к нему всё ближе и ближе, то есть будет наблюдаться эффект притяжения к аттрактору. Простейшим случаем аттрактора является точка. Аттракторами могут быть кривые, гладкие подмногобразия, а также произвольные сложные подмножества точек фазового пространства, в том числе фрактальные множества.
Параметры порядка – показатели которые создают и описывают систему.
Фазовое пространство представляет множество всех состояний системы в фиксированный момент времени. Каждому возможному состоянию системы соответствует точка фазового пространства.
Сущность понятия фазового пространства заключается в том, что состояние сколь угодно сложной системы представляется в нём одной единственной точкой, а эволюция этой системы — перемещением этой точки.
По данным метеофакторов Югры (т.е. это данные по температуре и давлению) можно составить общую картину (систему) погодных условий данной территории. Для это используем программу составленную в двухмерном пространстве. На экране квадрат ( фазовая плоскость) , внутри него множество точек – которые создают аттрактор. Находятся такие величины как : S (площадь), центр аттрактора, статистический центр, Rx (расстояние от центра до ребра квадрата).
0>0>0>0>















