вопросы (775560), страница 4
Текст из файла (страница 4)
Гамма-излучение - коротковолновое электромагнитное излучение с длиной волны менее 0.05 нм, испускаемое возбужденными атомными ядрами при ядерных реакциях, радиоактивных превращениях атомных ядер, при аннигиляции электрона и позитрона и при других превращениях элементарных частиц. Гамма-излучение оказывает на организмы мутагенное и канцерогенное воздействие вплоть до летального исхода. Действие гамма- и рентгеновского излучений на биологические ткани обусловлено в основном образующимися свободными электронами. Нейтроны, проходя через вещество, производят в нем наиболее сильные изменения по сравнению с другими ионизирующими излучениями.
15. Записать уравнение реакции 1-го и 2-го порядка. Как определить константу химической реакции из эксперимента
Молекулярность реакции – это минимальное число молекул, участвующих в элементарном химическом процессе. По молекулярности элементарные химические реакции делятся на молекулярные (А →) и бимолекулярные (А + В →); тримолекулярные реакции встречаются чрезвычайно редко. Если реакция протекает последовательно через несколько гомогенных или гетерогенных элементарных стадий, то суммарная скорость всего процесса определяется самой медленной его частью, а молекулярность заменяется порядком реакции – формальным показателем при концентрации реагирующих веществ. Поэтому весь процесс в целом лучше характеризует порядок реакции.
А→В
А →В+С
υ=-d[A]/dt=kx
k=l/t ln x0/x
k-константа скорости
t-время
x0-начальная концентрация
x-конечная концентрация А в момент времени.
Реакции второго порядка 2A→C+D
υ=kx^2
k=l/t (x0-x)/x*x0
Для реакции A+B→C+E
υ=k(Ca-C)(Cb-C)
k=2.303/t(Ca-Cb) lg Cb(Ca-C)/Ca(Cb-C)
Ca, Cb-начаотные концентрации веществ А и В
C-расход их к моменту времени
Для реакции 3-го порядка 3A→B+C
υ=kx^3
k=l/t ([0^2-x^2)/2x^2x0^2
16. Методы качественной теории дифференциальных уравнений в анализе динамических свойств биологических процессов.
Простейшие модели этих двух систем впервые были предложены независимо А. Д. Лоткой в 1926 г. (модель химической реакции) и В. Вольтерра в 1931 г. (модель хищник - жертва).
Пусть имеется химическая реакция, протекающая по общей схеме
А→Х→Y→В- Молекулы А с некоторой постоянной скоростью ко превращаются в молекулы вещества X (реакция нулевого порядка). Вещество X может превращаться в вещество Y. Важная особенность состоит в том, что скорость этой реакции тем больше, чем больше концентрация вещества Y. Это означает, что превращение X зависит не только от концентрации исходного реагента X, но и от продукта превращения Y. Иными словами, скорость этой реакции зависит от концентрации обоих веществ — исходного (X) и конечного (У), а сама реакция протекает как реакция второго порядка. Такие процессы, где скорость превращения исходного вещества пропорциональна концентрации продукта реакции, носят название автокаталитических. Молекулы Y, в свою очередь, необратимо распадаются, в результате образуется вещество В.
Ээкологическая модель Вольтерра. Пусть в некотором замкнутом районе живут жертвы и хищники, например зайцы и волки. Зайцы питаются растительной пищей, всегда имеющейся в достаточном количестве. Волки (хищники) могут питаться лишь зайцами (жертвами). Обозначим число зайцев х, а число волков — у. Так как количество пищи для зайцев не ограничено, мы можем предположить, что зайцы размножаются со скоростью, пропорциональной их числу.
Пусть убыль численности зайцев пропорциональна вероятности встречи их с волками, т.е. пропорциональна произведению х х у. Количество волков также нарастает тем быстрее, чем чаще их встречи с зайцами, т.е. пропорционально х х у. В химической кинетике это соответствует бимолекулярной реакции, когда вероятность появления новой молекулы пропорциональна вероятности встречи двух молекул, т. е. произведению их концентраций. Кроме того, имеет место естественная смертность волков, причем скорость убывания численности особей пропорциональна их количеству.
Метод изоклин. Для качественною построения фазового портрета системы обычно используют метод изоклин. При этом на фазовой плоскости наносят линии, которые пересекают интегральные кривые под одним определенным углом.
А=Q(x,y)/P(x,y)
Давая А определенные числовые значения, получаем семейство кривых. В любой точке каждой из этих кривых угол наклона касательной к фазовой траектории, проходящей через эту точку, равен одной и той же величине, а именно величине А.
17. Действие ионизирующих излучений на многоклеточный организм.
При действии радиоизлучения на биологические объекты, также возникает вторичное излучение, приводящее к образованию ионов и свободных радикалов с последующим образованием перекисных соединений. Последние оказывают неблагоприятное воздействие на биологическую клетку. Для количественной оценки дозы облучения биологических объектов вводят биологический эквивалент рентгена– БЭР. Существуют определенные нормы (санитарные нормы) дозы облучения предельно допустимых в различных производствах.
Доза облучения в 500 Р и выше считается смертельной для человека. Специалистам по эксплуатации и настройке аппаратуры, в которой используются радиоактивное излучения, необходимо знать предельно допустимые дозы облучения. Для медиков и биологов важно знать методы биологической защиты от радиации. Дело в том, что наряду с физическим методами защиты (используется вещества сильно поглощающие РИ, в частности нейроны– Ba, В, Pb), используются вещества (антидоты), которые активно связывают перекисные соединения и выступают в качестве протекторов мембран. Таких веществ синтезировано уже значительное количество, но это все экзогенные (внешние) факторы. К эндогенным факторам следует отнести уровень витамина С в организме. Последний сильно улучшает свойства мембран и является сильным протектором не только от негативных последствий РИ, но и эффективен при заболеваниях, для задержки старения, при стрессах.
Таким образом биологическая защита от РИ (своевременно примененная) может значительно увеличить LD100 для млекопитающих (например человек может выдержать 1000-1500 рентген и остаться живым) и это надо учитывать при возможности действия РИ.
18. Нарисовать принципиальную схему для определения электроемкости биомембран.
Включает 2 модели тканевых мембран с различными емкостными свойствами (С1 и С2), источника постоянного напряжения и переключателя П, нагрузочное сопротивление. Параллельное соединение Собщ=С1+С2.
Последовательное соединение 1/Собщ=1/С1+1/С2
19. Понятие о фазовой плоскости. Стационарные состояния биологических систем. Устойчивость стационарных состояний.
Рассмотрим плоскость с осями координат, на которых отложены значения переменных х, у. Каждая точка М этой плоскости с координатами (х, у) соответствует определенному состоянию системы. Такая плоскость носит название фазовой плоскости или плоскости состояний. Она представляет совокупность всех возможных состояний системы. Точка М(х, у) называется изображающей или представляющей. Пусть при t = to координаты изображающей точки М0(х0,у0). В каждый следующий момент времени t изображающая точка будет двигаться в соответствии с системой уравнений и принимать положение М(х, у), соответствующее значениям х (t), y(t). Совокупность этих точек на фазовой плоскости х, у называется фазовой траекторией.
Характер фазовых траекторий отражает общие качественные черты поведения системы во времени. Фазовая плоскость, разбитая на траектории, дает легкообозримый «портрет» системы. Она позволяет сразу охватить всю совокупность возможных движений (изменения переменных x, у), отвечающих различным начальным условиям. Фазовая траектория имеет касательные, тангенс угла наклона которых в каждой точке М(х,у) равен значению производной в этой точке dy(x,y)/dt. Следовательно, чтобы провести фазовую траекторию через точку фазовой плоскости M1(x1,y1), достаточно знать направление касательной в этой точке плоскости или значение производной.
Стационарное состояние – это состояние системы в котором переменные не изменяются.
Устойчивость СС характеризуется поведением системы при отклонении от СС.
Устойчивость стационарного состояния. Пусть рассматриваемая система находится в состоянии равновесия. Тогда изображающая точка на фазовой плоскости находится в неподвижности в одной из особых точек уравнения интегральных кривых, так как в этих точках, по определению, dx/dt = 0; dy/dt = 0.
Если теперь вывести систему из состояния равновесия, то изображающая точка сместится из особой точки и начнет двигаться по фазовой плоскости в соответствии с уравнениями ее движения. Устойчива ли рассматриваемая особая точка, определяет соответственно то, уйдет или нет изображающая точка из некоторой данной области, окружающей особую точку (эта область может быть большей или меньшей в зависимости от условий задачи).
В действительности в природе реализуются стационарные состояния, которые обязательно являются устойчивыми. Поэтому устойчивость стационарного состояния системы уравнений, представляющей собой математическую модель реальной системы, — один из основных критериев ее адекватности моделируемому объекту. В практике моделирования биологических процессов используют аналитический метод исследования устойчивости стационарного состояния Пуанкаре и Ляпунова, который будет изложен в упрощенной форме.
20. Особенности и механизмы фотоэнергетических реакций бактериородопсина и пигмента родопсина
Бактериородопсин – пигмент пурпурных мембран галофильных бактерий. Он создаёт трансмембранный градиент протонов за счёт энергии света, далее этот градиент используется для синтеза АТФ.
Мембрана Halobacterium halobium - бактерии соленых вод, принадлежащей к Archebacteria , может быть разделена на три фракции: желтую, красную и пурпурную. Пурпурная фракция образует кристаллы, которые можно исследовать с помощью электронного микроскопа. Помимо липидов она содержит белок весом 26 кДа. Поскольку фракция образует плоские кристаллы, структуру белка можно исследовать в атомарных деталях. Из-за светочувствительности и семидоменной "змеевидной" структуры эти белки называют бактериородопсином. Он работает как фотоактивируемый протонный насос, пересекающий бислой в виде семи альфа-спиралей. В настоящее время он изучен лучше всех родопсинов . Как и все другие родопсины, он состоит из семи плотно упакованных a-спиралей, пронизывающих мембрану. Как и другие родопсины, этот белок непрочно связан с хромофором ретиналем .
При высоких напряженностях кислорода происходит переключение на фотосинтез. Протоны, необходимые для этого процесса, переносятся через мембрану бактериородопсином, который действует как протонный насос, управляемый светом. Можно показать, что на каждый поглощенный фотон изнутри наружу через мембрану переносятся два протона. Механизм насоса явился предметом многочисленных исследований. Известно, что ретиналь связан шиффовым основанием (как и в зрительнрых пигментах животных) с лизином 216 (К216) опсина и контактирует с шестью из семи трансмембранных спиралей. Ретиналь имеет транс-конформацию и располагается в туннеле между спиралями, блокируя, таким образом, поток протонов.
В механизме протонового насоса происходит преобразование транс-конформации в 13-цис- конформацию; ретиналь изгибается в опсиновом "туннеле" и переносит протон с цитоплазаматической стороны на внеклеточную. В отличие от родопсинов сетчатки позвоночных, ретиналь не отсоединяется от опсинового апопротеина.
Аминокислотная последовательность бактериородопсина сильно отличается от опсинов животных, что позволяет допустить их независимое эволюционное происхождение. Это подтверждается тем, что ретиналь бактерии образует 13-цис-конфигурацию, а не 11-цис-конфигурацию, как в опсинах животных. Тем не менее, сама по себе конформация бактериородопсина показывает, что он принадлежаит к вездесущему надсемейству семидоменных белков, которые вовлечены в огромное число процессов в царстве животных.
Фотопревращения родопсина
Если исходить из 11-цис-, 12-s-цис-исходной формы ретиналя, то начальная стадия фотолиза родопсина включает следующие изменения конформации ретиналя: 11-цис, 12-s-цис11-транс, 12-s-цис11-транс, 12-s-транс.
Смещение протона осуществляется на ранней стадии фотолиза, которая, таким образом, не может быть сведена лишь к обычной цис-транс-изомеризации ретиналя.
21. Нарисовать простейшие эквивалентные схемы биообъектов.
Эквивалентная схема клеточной мембраны:
А – среда, окружающая клетку, В – цитоплазма.
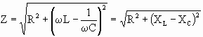
Переменным током называют ток, периодически изменяющийся по величине и направлению. Расп-ым является синусоидальный переменный ток, мгновенные значения кот. изменяются по гармоническому закону: u=Umsinw t или i=Imsinω t, где Um и Im - максимальные знач. соот-но, напряжения и тока, ω=2πn - круговая частота переменного напряжения или тока. При прохождении переменного тока в цепи, состоящей из активного, емкостного и индуктивного сопротивлений, сила тока в цепи I и напряжение U связаны обобщенным законом Ома: I=U/Z, где Z -полное сопротивление, состоящее из индуктивного, емкостного, активного сопротивлений и называется импедансом.
где R - омическое или активное сопротивление, оно обусловливает выделение теплоты в цепи в соответствии с законом Джоуля-Ленца. Разность индуктивного и емкостного сопротивлений XL -XC называют реактивным сопротивлением. Оно не вызывает нагревания элементов электрической цепи.
22. Кинетика ферментативных реакций.
















