166201 (767820)
Текст из файла
Новые сложные гребнеобразные полиэфиры и полиамиды: синтез, структура и свойства
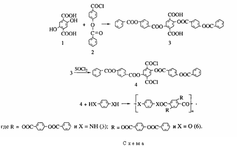
Недавно был осуществлен синтез жесткоцепных ароматических гребнеобразных сложных полиэфиров и полиамидов, содержащих сложно-эфирные мезогенные боковые заместители [1]. Синтезированные полимеры оказались растворимы в обычных растворителях и плавились при нагревании (сложные полиэфиры) в отличие от своих незамещенных аналогов, что подтверждает теоретические прогнозы [2]. Из растворов и расплавов этих полимеров получены гибкие и прочные пленки. Полимеры синтезировали поликон денсацией хлорангидридов замещенных терефталевых кислот и n-фенилендиамина или гидрохинона. Чтобы исследовать зависимость свойств полимеров, имеющих то же самое строение полимерной цепи от природы и топологии замещения,1 мы синтезировали серию сложных полиэфиров и полиамидов, содержащих фрагмент дизамещенной терефталевой кислоты, на основе хлорангидрида замещенной терефталевой кислоты и полифенилендиамина или гидрохинона. Синтез мономера и полимеров показан на схеме I.
Все мезогенные группы были связаны с полимерной цепью сложноэфирными связями. Хлор-ангидрид 2 получали по методике [3]. Замещенную терефталевую кислоту 3 переводили в соответствующий хлорангидрид 4 кислоты кипящим тионилхлоридом в присутствии следов ДМФА. Хлорангидрид 4 был чрезвычайно плохо растворим даже в кипящем тионилхлориде и после окончания реакции его отфильтровывали от горячего тионилхлорида и перекристаллизовывали из ксилола.
Первоначально попытались получить полимер 5 из л-фенилендиамина и мономера 4 в среде N-метилпирролидона (МП), однако, полимер оказался нерастворим в этом растворителе и осаждался из реакционной смеси в процессе синтеза. Гомогенный раствор полимера образовывался в том случае, когда поликонденсацию вели в 5%-ном растворе LiCl в МП. Синтезированный полимер оказался нерастворим в МП, но растворялся в растворах солей LiCl и СаС12 в МП. Нам не удалось получить достаточно высокомолекулярные образцы полиамида 5 Спприв = 0.52 дл/г), вероятно, вследствие низкой растворимости ди-хлорангидрида в реакционной среде; не удалось также приготовить пленки из солевых растворов полиамида 5 из-за выпадения соли при испарении растворителя. Сравнивая растворимость полимера 5 с растворимостью аналогичного полимера, описанного в работе [1], можно отметить уменьшение растворимости при введении второго заместителя во фрагмент терефталевой кислоты. Мы полагаем, что это явление связано с симметричным расположением заместителей в полиамиде 5 в отличие от несимметричного замещения, имеющего место в полимере, описанном в работе [1]. При получении сложного полиэфира 6 из мономера 4 и гидрохинона использовали две различные методики. Первая - высокотемпературная поликонденсация в растворе, проведенная в дифениловом эфире при 200 - 250°С приводила к образованию нерастворимого и неплавкого полимера, который постепенно выделялся из реакционной смеси в ходе поликонденсации. Вероятно, в ходе высокотемпературной поликонденсации протекала переэтерификация, приводящая к образованию сшитого продукта. Другой метод поликонденсации - низкотемпературная поликонденсация в растворе, проведенная при 50°С в пиридине в течение нескольких часов, давала низкомолекулярный продукт с Гприв = =0.22 дл/г, который был растворим в смеси трифторуксусной кислоты с метиленхлоридом. Выпадение полимера из реакционной смеси происходило одновременно с растворением хлорангидрида. По нашему мнению, низкая молекулярная масса полимера 6 в этом случае связана с нерастворимостью полимера в пиридине.
В ИК-спектрах синтезированных полимеров присутствует полоса при 1735 см-1, связанная со сложноэфирным карбонилом, и отсутствует полоса при 1690 с-1, обусловленная концевыми карбоксильными группами. В ИК-спектрах полиамида 5 наряду с полосой сложного эфирного карбонила появляется полоса поглощения амидного карбонила при 1670 см-1. Эти результаты, наряду с данными элементного анализа подтверждают предложенные структуры полимеров.
2,5-Бис-( (4-бензоилокси)бензоилокси) терефталевая кислота (3)
Смесь 10 мл пиридина, 17 мл МП и 0.68 г (3.43 ммоль) 2,5-дигидрокситерефталевой кислоты (I) нагревали до 60°С для получения прозрачного раствора. После охлаждения смеси до -10°С 1.79 г (0.687 ммоль) хлорангидрида 2 прибавляли при перемешивании. Реакцию вели в течение 5 ч при 0°С, выливали содержимое колбы в воду, осадок отфильтровывали и перекристаллизовывали из смеси диоксан : уксусная кислота =1:1. Выход 62%, Тт = 261 - 262°С (разл.). Найдено, %: С 66.43; Н 3.86. С36Н22012. Вычислено, %: С 66.87; Н 3.43.
2,5-Бис-((4-бензоилокси)бензоилокси) терефшалоилхлорид (4)
3.5 г дикислоты 3 кипятили с обратным холодильником в свежеперегнанном тионилхлориде, содержащем следы ДМФА в течение 3 ч. Твердый продукт отфильтровывали в токе аргона и перекристаллизовывали из ксилола. Выход 44%, Гпл = 212 - 215°С. Найдено, %: С 63.21; Н 3.01. СзбН2о010С12. Вычислено, %: С 63.27; Н 2.95.
Полиамид (5)
0.18 г LiCl, высушенного в вакууме при 300°С и 0.2003 гр-фенилендиамина растворяли в 9 мл МП в токе аргона, после чего прибавляли за один прием 1.2656 г хлорангидрида 4 при -5°С и реакционную массу перемешивали в течение 5 ч при комнатной температуре. Полимер осаждали водой, отфильтровывали и сушили в вакууме при 100°С. Выход 93%, т|прив = 0.52 дл/г при 25°С в 0.5% растворе МП, содержащем 5% LiCl. Найдено, %: С 69.18; Н 4.05; N 4.13. (C42H26N2O10)n. Вычислено, %: С 70.19; Н 3.65; N 3.90.
Полиэфир (6)
Метод А. 0.4701 г хлорангидрида 4 и 0.0757 г гидрохинона растворяли в 6 мл свежеперегнанно-го дифенилового эфира в токе аргона. Поликонденсацию вели в течение 2 ч при 150°С и 3 ч при 220°С. В ходе поликонденсации полимер постепенно осаждался из реакционной смеси. После охлаждения реакционную смесь разбавляли метанолом, выпавший полимер отфильтровывали и сушили в вакууме при 100°С. Полимер не растворялся в обычных растворителях; выход 88%.
Рис. 1. Схемы рентгенограмм, полученных при съемке "в бок" для полимеров 5 (а) и 6 (б). Аморфное гало на схемах не обозначено.
Найдено, %: С 69.54; Н 3.33. (С42Н24012)„. Вычислено, %: С 70.00; Н 3.55.
Метод Б. К раствору 0.1841 г гидрохинона в 10 мл пиридина, в токе аргона прибавляли 1.1370 г хлорангидрида 4 при перемешивании, при 20°С. Реакционную массу нагревали до 50°С и перемешивали при этой температуре в течение 4 ч. После охлаждения смесь разбавляли эфиром, осажденный полимер отфильтровывали, промывали водой, ацетоном и сушили при 150°С в вакууме. Выход 87%, Лприв = 0.22 дл/г в CF3COOH-CH2Cl2 (1 : 1, по объему при 25°С, 0.5% концентрация. Найдено, %: С 69.82; Н 3.44. (С42Н24012)„. Вычислено, %: С 70.00; Н 3.55.
Синтезированные полимеры 5 и 6 представляли собой порошки. Из них можно было получить таблетки прессованием при давлении 250 атм и температуре 250 - 285°С. Таблетки были хрупкими, и повышение температуры не приводило к улучшению их деформируемости.
Макроскопическую плотность образцов р определяли методом пикнометрического титрования.
ТГА осуществляли в атмосфере гелия при скорости нагревания 40 град/мин на приборе "METTLER ТА-3000", навеска - 10 мг. Проведенные исследования показали, что синтезированные полимеры обладают похожими теплофизическими свойствами. Оказалось, что образцы начинали терять массу при 200°С, при 220 - 230°С, потеря массы составляла 1%. При температуре выше 250°С наблюдали интенсивные потери массы, и при 400°С они достигали 30%. После нагревания образцы темнели, тем не менее необходимо отметить, что края исследуемых таблеток были оплавлены. Повторное нагревание как полимера 5, так и полимера 6 сопровождалось значительно меньшими потерями массы. Нагревание полимера 6 до 420°С приводило к 10%-ным потерям массы.
Структуру полученных полимеров исследовали рентгенографическим методом. Большеугловые рентгенограммы получали на установке УРС-2 в плоскокассетной камере, а малоугловые - на установке с вращающимся анодом и точечной коллимацией "Elliott GX-13" (СиАГа-излучение, Ni-фильтр). Съемку рентгенограмм проводили тремя способами: первичный пучок направлен перпендикулярно к большой плоскости пленки, (съемка "в лоб") и в двух перпендикулярных направлениях параллельно указанной плоскости ("в бок"). Малоугловые рентгенограммы получали только при съемке "в бок". Для точного определения угловых положений рефлексов проводили также дифрактометрические измерения на приборе ДРОН-2 (Си/Га-излучение, изогнутый асимметричный кварцевый монохроматор). Малоугловые дифрактограммы получали на установке КРМ-1 (щелевая коллимация), при этом использовали сканирование по точкам со временем накопления до 600 с.
Результаты и их обсуждение
На рентгенограмме, полученной при съемке полимера 5 "в лоб" имеется несколько узких дебаевских колец и широкое аморфное гало с максимумом в области 18.7°С. На рентгенограмме, полученной при съемке "в бок" (рис. 1) наблюдали кристаллические рефлексы в форме протяженных дуг, расположенные в экваториальной и меридиональной областях, и изотропное аморфное гало. Таким образом, большеугловые фоторентгенограммы свидетельствуют о наличии в образцах осевой текстуры, ось которой расположена перпендикулярно плоскости таблетки, обозначим эту ось как Ь. Рассчитанные из болынеугловых и малоугловых измерений межплоскостные расстояния приведены в табл. 1. Как видно, на нулевой слоевой линии присутствуют шесть кристаллических рефлексов, причем два последних с d ~ 3.2 и 2.13 А имеют значительно большую полуширину з радиальном направлении. Указанные рефлексы, а также дугообразный рефлекс с d ~ 11.9 А являются порядками внутримолекулярной дифракции на периоде основной цепи с, аналогичной цепи ПФТА. Следует отметить, что рефлекс 11.9 А является первым порядком отражения, который в ПФТА запрещен правилом погасания. Его присутствие в полимере 5 может быть обусловлено искажением основной цепи. Некоторое расхождение значений с, рассчитанных из разных порядков рефлекса 00/, можно объяснить влиянием суперпозиции форм-фактора и интерференционной функции на положение максимума рефлекса при малых размерах упорядоченных областей [4]. При этом к истинному значению с ближе величина, рассчитанная из высоких порядков отражения, т.е. из 004 с -12.8 А. Расчеты на моделях показали, что рефлексу с d~ 18.6 А отвечает расстояние между основными цепями макромолекул, определяемое длиной бокового заместителя и поперечными размерами основных цепей. При этом в отличие от поливных пленок из несимметрично замещенных полимеров [5] рефлексы Л00 находятся на нулевой слоевой линии. Поскольку рефлексы 00/ также располагаются на экваторе, можно сделать вывод, что макромолекулы лежат в плоскости (ас) или (010), образуя слои, которые под действием приложенного давления располагаются в плоскости таблетки. На меридиане находится только межслоевой рефлекс 010 с d ~ 3.75 А. Таким образом, наблюдаемая текстура является аксиальной с осью, перпендикулярной большой плоскости пленки. На рис. 2 приведена схема расположения макромолекул в исследуемых спрессованных образцах, которая отвечает экспериментально наблюдаемым на дифракционной картине сгущениям интенсивности рефлексов.
Энергетически устойчивую конформацию изолированной макромолекулы полимера 5 рассчитывали с помощью пакета программ Alchemy П. Результаты расчета представлены на рис. За. Оказалось, что если все боковые ответвления находятся в конформации I или II, то существует возможность полного взаимопроникновения боковых ответвлений соседних цепей (рис. 36). Однако, поскольку внутренние энергии конформации I и II заместителя одинаковы, можно предположить, что в реальном случае они сосуществуют и их число примерно равно. В связи с этим нельзя утверждать, что все боковые ответвления одной макромолекулы входят в промежутки между боковыми ответвлениями соседней цепи.
Характеристики
Тип файла документ
Документы такого типа открываются такими программами, как Microsoft Office Word на компьютерах Windows, Apple Pages на компьютерах Mac, Open Office - бесплатная альтернатива на различных платформах, в том числе Linux. Наиболее простым и современным решением будут Google документы, так как открываются онлайн без скачивания прямо в браузере на любой платформе. Существуют российские качественные аналоги, например от Яндекса.
Будьте внимательны на мобильных устройствах, так как там используются упрощённый функционал даже в официальном приложении от Microsoft, поэтому для просмотра скачивайте PDF-версию. А если нужно редактировать файл, то используйте оригинальный файл.
Файлы такого типа обычно разбиты на страницы, а текст может быть форматированным (жирный, курсив, выбор шрифта, таблицы и т.п.), а также в него можно добавлять изображения. Формат идеально подходит для рефератов, докладов и РПЗ курсовых проектов, которые необходимо распечатать. Кстати перед печатью также сохраняйте файл в PDF, так как принтер может начудить со шрифтами.
















