151700 (766891)
Текст из файла
КОСМИЧЕСКИЕ ЛУЧИ И РЕЛИКТОВОЕ ИЗЛУЧЕНИЕ ВО ВСЕЛЕННОЙ
Г. Е. Кочаров
Открытие космических лучей, подобно многим открытиям, было сделано случайно в процессе изучения другого явления. В 1911 году молодой австрийский физик Виктор Гесс поднял ионизационную камеру на воздушном шаре с целью измерения коэффициента поглощения гамма-излучения, испускаемого земной корой. Вопреки ожиданиям скорость ионизации с удалением от земной поверхности не только не уменьшилась, как ожидал Гесс, а даже увеличилась. В 1912 году Гесс совершил еще семь полетов на воздушных шарах. Первый из них был 17 апреля 1912 года во время частичного солнечного затмения. Уменьшения скорости ионизации не было, и Гесс заключил, что Солнце не является источником ионизации. Седьмой знаменитый полет начался 7 августа 1912 года в 6 ч 12 мин утра около города Ауссита (Австрия). Была достигнута рекордная высота 5350 м. При подъеме до 1000 м было небольшое уменьшение скорости ионизации, обусловленной поглощением гамма-излучения радиоактивных веществ, находящихся в земной коре. После этого ионизация окружающего воздуха стала увеличиваться с высотой. Таким образом, шар приближался к источнику ионизации, а не удалялся от него. Гесс установил, что на высоте 5 км скорость ионизации была уже в четыре раза больше, чем на уровне моря.
В результате тщательного анализа полученных данных Гесс пришел к выводу, что излучение большой проникающей способности входит в атмосферу сверху. Открытое излучение Гесс назвал ультра-гамма-излучением. В 1925 году американский физик Роберт Милликен предложил переименовать это излучение в космические лучи. Нобелевскую премию Гесс получил в 1936 году, то есть через 24 года после открытия космических лучей. По определению, Нобелевская премия должна присуждаться за новейшие достижения. Задержка была обусловлена как наличием сомнений в существовании космических лучей, так и необходимостью понимания важности этого нового явления для физики и астрофизики.
В 20-е годы Р. Милликен и В. Кольхерстер, интенсивно занимающиеся космическими лучами, изучали, как они поглощаются в атмосфере Земли, воде и других веществах. Но что собой представляли эти лучи, никто не знал. Не было в руках ученых, исследующих космические лучи, прибора, пригодного для изучения этого явления, хотя он уже и существовал. Это была камера Вильсона - один из самых замечательных физических приборов, впервые позволивший осуществить то, что любой физик мог бы посчитать несбыточной фантазией: увидеть треки отдельных элементарных частиц.
В 1923 году Д.В. Скобельцын начинает заниматься эффектом Комптона, то есть изучением характеристик электронов, выбиваемых гамма-лучами радиоактивных веществ, в лаборатории, которой руководил его отец в Ленинградском политехническом институте, а также в Физико-техническом институте, где он тогда работал. Для этой цели он решил использовать камеру Вильсона, помещенную в магнитное поле. По современным масштабам магнитное поле было слабым, всего 1000 эрстед, но этого было вполне достаточно для изучения эффекта Комптона. С помощью разработанной им методики Д.В. Скобельцыну впервые удалось непосредственно наблюдать и фотографировать пути электронов отдачи, получающиеся в результате столкновения гамма-квантов с электронами атомов газа, наполнявшего камеру. Энергия электронов измерялась по отклонению их треков в магнитном поле.
Такие исследования не только подтвердили гипотезу о квантовой природе эффекта Комптона, но и позволили эффективно применять это явление для спектроскопии гамма-лучей. В ходе работ было сделано одно интересное наблюдение, которое никак нельзя было объяснить за счет радиоактивных веществ. Среди следов в камере были и такие, которые принадлежали частицам, значительно превосходящим по энергии все остальные. И самое главное, что они появлялись группами. Проанализировав треки этих частиц, Д.В. Скобельцын пришел к заключению, что подобные частицы могут создавать как раз такую ионизацию, которую создают космические лучи.
Для того чтобы обнаружить такое редкое явление, как появление в камере космической частицы на фоне многих следов других частиц, требовалось большое экспериментальное искусство. И только необычно точные измерения импульсов частиц позволили надежно отделить следы частиц космических лучей от следов электронов отдачи. Таким образом, только через 15 лет после работ Гесса и Кольхерстера были установлены виновники ионизации молекул атмосферы Земли - космические частицы. Но Д.В. Скобельцын открыл не только заряженные частицы, приходящие из Космоса, но и то, что они приходят к поверхности Земли группами - ливнями. И сейчас, через 70 лет, можно сказать, что физика высоких энергий ведет свое начало именно от этих работ.
Результаты исследований Д.В. Скобельцына вызвали большой резонанс в научном мире того времени. Один из создателей квантовой механики - В. Гейзенберг детально обсуждал результаты Д.В. Скобельцына в одной из своих развернутых статей и строил на их основе новые гипотезы. Космические лучи, генерированные в естественных ускорителях частиц, сыграли решающую роль в развитии физики высоких энергий и элементарных частиц. Даже сейчас, при наличии могучей армии ускорителей частиц, космические лучи не оказались "безработными". Более того, естественные ускорители частиц, позволяющие диагностировать физические процессы при ультравысокой энергии и на ультрадалеких расстояниях, регулярно преподносят сюрпризы и загадки в физике и астрофизике. Ниже будет уделено основное внимание космическим лучам ультравысокой энергии (Е > 1020 эВ), которые в рамках современных представлений не должны были дойти до земной атмосферы. Но они дошли. Почему?
О происхождении космических лучей
В настоящее время нет однозначного ответа на вопрос о происхождении космических лучей. Ясно одно, что кроме Солнца, которое является источником космических лучей относительно низкой энергии, на небе есть источники, обеспечивающие ускорение частиц до очень больших энергий. В целом проблема происхождения космических лучей включает механизм ускорения и распространения в различных условиях. На основе многолетних исследований с использованием спутниковой и баллонной техники, наземных экспериментов установлены следующие основные характеристики галактических космических лучей.
1. Плотность энергии космических лучей составляет 1 эВ в 1 см3. Эта величина сравнима с плотностью энергии света звезд, чернотельного излучения, турбулентного движения межзвездного газа, магнитного поля в Космосе. Таким образом, космические лучи являются равноправными партнерами в космическом сообществе и соответственно их вклад в динамику космических явлений является весомым.
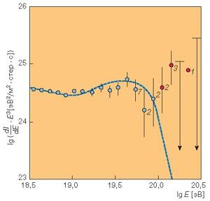
2. Дифференциальный энергетический спектр галактических космических лучей степенной: N(E ) ~ E - g, где g = 2,7, от низких энергий до 1015 эВ. Для энергии больше 3 · 1015 эВ в спектре имеются важные особенности, которые будут рассмотрены ниже.
3. Вплоть до очень высоких энергий не обнаружена анизотропия.
4. Поток галактических космических лучей практически не меняется во времени.
5. Наиболее вероятным источником галактических космических лучей являются взрывы сверхновых звезд. Основа такого заключения - энергетические соображения. Основополагающие идеи и конкретные теоретические разработки принадлежат В.Л. Гинзбургу.
Атмосфера земли - защитный экран и детектор космических лучей сверхвысокой энергии
Земная атмосфера выполняет две важные функции. Во-первых, она берет удар на себя и спасает людей от облучения космическими лучами. Известно, что люди, живущие в горных районах или часто летающие самолетом, получают значительную дозу радиации. Во-вторых, атмосфера трансформирует космические лучи высокой и сверхвысокой энергии в частицы и излучения низких энергий, которые регистрируются традиционными наземными детекторами.
Теория прохождения космического излучения через атмосферу Земли базируется на идее, сформулированной в 1949 году Г.Т. Зацепиным, о существовании ядерно-каскадного процесса. Установлено, что при взаимодействии космических лучей с ядрами первичный нуклон теряет всего часть своей энергии на генерацию вторичных частиц. Второе взаимодействие нуклона почти не отличается от первого. Генерированные при высоких энергиях пионы не успевают распасться и тоже участвуют в ядерных процессах. Толщина атмосферы достаточно большая и имеет место десять последовательных столкновений первичной частицы. Пионы распадаются и рождаются электронно-фотонные каскады. В конечном итоге в атмосфере образуется целая лавина процессов. При энергии первичной частицы 1014 эВ или более число частиц в ливне очень велико, так что частицы могут расходиться до расстояний, достигающих сотен метров и больше. Такой воздушный ливень называют широким атмосферным ливнем (ШАЛ).
Систематические экспериментальные исследования космических лучей сверхвысокой энергии начались в конце 50-х годов XX столетия после запуска больших установок по измерению ШАЛ в Волкано-Рэнч (США) и Москве (установка МГУ). Выполненные на этих установках измерения выявили частицы с энергией 1017-1018 эВ в составе космических лучей и их крутой энергетический спектр. Впоследствии были введены новые большие установки в различных странах мира, что позволило получить детальную информацию о спектре космических лучей сверхвысокой энергии и их анизотропии. Космические лучи сверхвысокой энергии Е > 1017 эВ, скорее всего, имеют внегалактическую природу из-за трудности их удержания галактическими магнитными полями.
О распространении космических лучей сверхвысокой энергии от источника до солнечной системы
В 1961 году Бруно Понтекорво и Я.А. Смородинский сформулировали гипотезу о том, что вещество образовалось на плотном фоне нейтрино и антинейтрино. Во время флуктуации плотность энергии нейтрино должна была быть намного больше плотности энергии возникшего вещества. Это означает, что в настоящее время во Вселенной должны находиться остатки фона. Кроме того, нейтрино, непрерывно образующиеся за счет различных ядерных реакций, накапливаются, так как во Вселенной они практически не поглощаются. Нейтрино, как и любая материя, должны создавать вокруг себя гравитационное поле, искривлять пространство и влиять на динамику развития Вселенной. Я.Б. Зельдович и Я.А. Смородинский в 1961 году предложили метод оценки плотности энергии, заключающийся в том, что при известном современном состоянии Вселенной плотность всех видов материи определяет прошлое Вселенной.
Различные проявления нейтринного моря очень активно обсуждались в начале 60-х годов. В частности, Б.П. Константинов и автор настоящих строк пришли к выводу о возможном обрыве формы энергетического спектра космических лучей сверхвысокой энергии (больше 1017 эВ) за счет взаимодействия с нейтринным морем во Вселенной. Вскоре был обнаружен реликтовый фон фотонов во Вселенной и стало ясно, что спектр космических лучей сверхвысокой энергии должен сильно обрываться именно за счет взаимодействия с фотонами, если источник космических лучей находится достаточно далеко. Возможность искажения спектра космических лучей за счет взаимодействия с нейтринным фоном упомянута в данной статье не только с точки зрения истории развития обсуждаемой проблемы о космических лучах сверхвысокой энергии. Как будет показано ниже, нейтринное излучение претендует на "монополию над космическими лучами сверхвысокой энергии". Сейчас уже обсуждается идея о том, что не протоны являются представителями космических лучей сверхвысокой энергии, а именно нейтринное излучение. Эта далеко не стандартная идея была предложена еще в 1968 году В.С. Березинским и Г.Т. Зацепиным. Здесь же хочется отметить также, что Г.Т. Зацепин первым (в 1951 году) сформулировал идею о том, что космические лучи сверхвысокой энергии должны терять энергию при взаимодействии с фотонами низких энергий (на примере фотонов солнечного излучения).
Эффект Грейзена, Зацепина и Кузьмина и форма энергетического спектра космических лучей в области сверхвысокой энергии
Вскоре после обнаружения фона реликтовых фотонов Г.Т. Зацепин и В.А. Кузьмин и К. Грейзен показали, что наличие реликтовых фотонов должно привести к дефициту потоков космических лучей в области сверхвысокой энергии (Е > 1019 эВ). Эта фундаментальная идея базируется на том, что ускорять частицы столь высокой энергии в Галактике чрезвычайно трудно, а в радиогалактиках и квазарах такие энергии сравнительно легко достижимы. Однако возникает трудность в распространении таких частиц в межгалактическом пространстве. Из-за столкновений протонов с реликтовым излучением (Т = 2,7 К) частицы сверхвысокой энергии должны тормозиться, то есть энергетический спектр должен становиться более крутым при энергии более 1019 эВ. Зарегистрированные протоны с энергией выше 3 · 1020 эВ не могут иметь возраст более 108 лет, то есть источник должен находиться не далее 1026 см. Поскольку частицы с такой большой энергией практически не отклоняются в галактических и межгалактических магнитных полях, направление на источник известно. Однако подходящего источника в таком направлении нет.
Фундаментальная важность обсуждаемой проблемы неизбежно привела к огромному интересу как теоретиков, так и экспериментаторов.
Характеристики
Тип файла документ
Документы такого типа открываются такими программами, как Microsoft Office Word на компьютерах Windows, Apple Pages на компьютерах Mac, Open Office - бесплатная альтернатива на различных платформах, в том числе Linux. Наиболее простым и современным решением будут Google документы, так как открываются онлайн без скачивания прямо в браузере на любой платформе. Существуют российские качественные аналоги, например от Яндекса.
Будьте внимательны на мобильных устройствах, так как там используются упрощённый функционал даже в официальном приложении от Microsoft, поэтому для просмотра скачивайте PDF-версию. А если нужно редактировать файл, то используйте оригинальный файл.
Файлы такого типа обычно разбиты на страницы, а текст может быть форматированным (жирный, курсив, выбор шрифта, таблицы и т.п.), а также в него можно добавлять изображения. Формат идеально подходит для рефератов, докладов и РПЗ курсовых проектов, которые необходимо распечатать. Кстати перед печатью также сохраняйте файл в PDF, так как принтер может начудить со шрифтами.
















