150139 (766855), страница 3
Текст из файла (страница 3)
На цій стадії зручно, слідуючи Ньюману (1976), ввести функцію Коші:
Оскільки і та exp {- ik (x cos + y sin ) + kz} - гармонічні функції, які задовольняють (А5), з (А19) витікає, що Hі() може бути записане як негативн величина того ж підінтегрального виразу проінтегрованого по Sc. Це дозволяє поведінку і в далекій області, яка дана в (А15) використати для отримання:
де
Якщо, тепер R, з методу стаціонарної фази випливає, що:
таким чином, що функція Коші безпосередньо пов’язана з розсіювальною амплітудою потенціалу і в далекій області.
Тепер, прямою підстановкою:
з ф0 дано (А16).
Ми можемо замінити ф0 - фd – фs. Але поверхневий інтеграл, який включає фs зникає, якщо, використовуючи (А19), ми заміняємо його негативним поверхневим інтегралом по Sj та Sc, ми знаходимо, що внеску від кожного і та фs немає, і задовольняє умови (А5) і (А6).
Ми залишились з :
Маючи на увазі (А24), ми бачимо, що об’єм потоку через Sі через плюс дифрагованої області набігаючої хвилі пропорційний поведінці розсіяному потенціалу в далекій області в напрямку, протилежному до такої сукупності набігаючих хвиль, внаслідок однорідного коливального розподілу тиску через Sі. Цей результат відповідає відношенням Хакінда для руху твердих тіл (Ньюман 1976, рівняння (45).
Далі, ми розглядаємо:
де * позначає сполучений комплекс. Оскільки і , *j задовольняють (А3) ми маємо:
де використані (А11), (А13), (А22).
Знову: де використані (А15) і (А24).
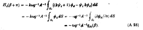
Отже:
де використано (А25) і зроблена проста заміна змінної інтегрування. Тут
Pw=1/4w-1g2A2 .
Окрім цих тривимірних результатів також можна отримати важливі двовимірні взаємовідношення для розподілів тиску. Рівняння (А2) - (А14) залишаються тими ж самими, але тепер (А15) потрібно замінити:
де рух відбувається в площині (x, z) . Подібно (А16) стає:
і функція Коші тепер визначена тільки для кутів рівних 0 чи . Попередній аргумент рухається маленькими кроками і результати в двовимірній області відповідають (А24), (А25), (А26) є:
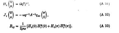
Рівняння для Hі (0) в (А32) відповідають набігаючій хвилі gАw-1 exp [- ikx + kz] з x=+, з qdі () , які відповідають об’єму потоку через Sі .
З (А31) і (А32) випливає, що:
Показує, що цьому у двовимірній області також вимушений потік через Sі за допомогою набігаючої та дифрагованої області пропорційний амплітуді випромінюваного потенціалу в далекій області в напрямку, в якому прибуває набігаюча хвиля. В (А34) qdi – об’єм потоку в одиниці ширини поверхневого тиску. Подальші відношення між властивостями рішення і задачі потужності випромінювання та фd, рішенням дифракційної задачі в і дво- та тривимірних областях також можна отримати використанням функцій Коші та теореми Гріна. Зокрема, нові відношення, доведені Ньманом (1976), рівняння (48), (49)), переносяться на розподіли тиску без змін. Вони не подані тут, оскільки метод доведенняу ідентичний і вони не є необхідними в існуючому контексті.
З цього випливає, що всі результати, які зв’язують властивості вимушеного руху твердого тіла в даному способі (Ньюман 1976), або ряд незалежно коливающихся твердих тіл (Срокоз 1979), відповідають задачі дифракційного розсіювання області набігаючої хвилі таким тілом або тілами, мають аналогію в поверхневих розподілах тиску. Відповідність буде, якщо тверді тіла прийняті як тонкі горизонтальні пластини, які роблять одиничні вертикальні коливання у вільній поверхні. Хоча вимагається, щоб к дорівнювало нулю в (А11) у цьому випадку, це не торкається результатів, які отримані за допомогою теореми Гріна. Відповідність завершується відзначенням, що вертикальна захоплююча сила на Sі, тільки iwpk-1qdi, тобто пропорційна об’єму потоку через Sі.
Отримані деякі загальні результати для ефективності використання енергії системою однорідних осцилюючих поверхневих розподілів тиску. Результати, основані на класичній лінійній теорії водної хвилі, показують близькі аналогії з теоріями для систем поглинання коливальних твердих тіл, а також запропоновано і доведено безліч нових взаємовідношень для розподілів тиску. Деякі прості приклади, які ілюструють загальні результати даються у порівнянні з відповідними результатами для твердих тіл.
















