124361 (766152)
Текст из файла
Синтез, структура и свойства трехблочных метилтииран-ариленимидных блок-сополимеров
На основе полиариленимидов получают высокомодульные, высокопрочные, высокотермостойкие материалы. Однако применение полиимидов ограничивает их жесткость и неспособность к переработке. За последние 10 лет стали появляться работы, посвященные модификации полиимидов, синтезу имидных блок-сополимеров. Введение гибкого блока в полиимидную цепь сообщает имидному материалу новые интересные свойства: полибутадиеновые [1, 2] и полиэтиленоксидные [3] блоки увеличивают, например, гибкость и способность к переработке имидного материала. В настоящей работе описаны синтез, структура и некоторые свойства трехблочных метилтииранимидметилтиирановых блок-сополимеров.
Синтез метилтииран-амидокислотных блок-сополимеров проводили аналогично синтезу бутадиенамидокислотных блок-сополимеров [1]. К раствору олигометилтиирана (М=1000) с концевой аминогруппой (OMT-NH2) [4] в ДМФА добавляли 4,4'-диаминодифениловый эфир (ДАДФЭ), после растворения которого двумя порциями присыпали рассчитанное количество диапгидрида. Полученный блок-сополимер высаживали в этанол, отмывали от гомополиметилтиирана бензолом, от гомополиамидокислоты (ПАК) смесью ДМАА: этанол=0,23: 0,77. Численные данные суммированы в табл.1.
Турбидиметрическое титрование проводили на установке, основная составная часть которой - фотоэлектрический колориметр-нефелометр ФЭК-56, по методике, описанной в работе [5].
Для изучения блок-сополимеров методом светорассеяния использовали фотогопиодиффузометр фирмы "Sofica" и методику [6]. ТГА проводили на дериватографе при нагревании образцов в керамическом тигле на воздухе со скоростью 4,5 град/мин. .
Термомеханические кривые снимали на приборе, описанном в работе [7].
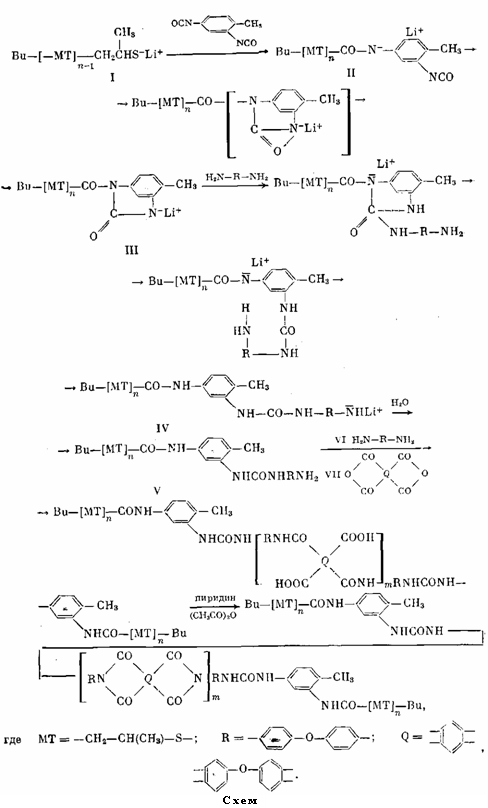
Процесс анионной полимеризации метилтиирана достаточно хорошо изучен [8, 9] и характеризуется безобрывным протеканием по механизму "живых" полимерных цепей с полным использованием инициатора. Это позволяет получить полимеры с заданной ММ и узким ММР (Мω/ Mn= 1,1-1,5). Для синтеза блок-сополимеров необходимо было получить ОМТ с концевой изоцианатной группой. По аналогии с известными реакциями гидроксилсодержащих олигомеров (рис.1, а) можно ожидать, что SH-группы "мертвого" ОМТ, получаемые при обрыве процесса полимеризации метилтиирана сокаталитическим количеством метанола, будут взаимодействовать с изоцианатной группой толуилендиизоцианата (ТДИ).
Изучение этой реакции методом ИК-спектроскопии по убыли интенсивности полосы изоцианатной группы (2260 см-1) показало, что в сравнении с аналогичной реакцией ТДИ с полиэтиленоксидом (рис.1, а) при прочих равных условиях реакционная способность SH-групп ОМТ очень мала (рис.1,6). В этой связи использование олигомера такого типа для дальнейшего синтеза не представлялось целесообразным.
Однако спектроскопический контроль реакции,"живого" ОМТ с ТДИ при [ТДИ]: [BuLijSs] показал мгновенное исчезновение изоцианатной полосы с одновременным появлением полосы карбонильной группы (1720 см-1) (рис.1, в). Полное исчезновение полосы 2260 см-1 доказывает, что в реакцию с "живыми" ОМТ (схема, I) вступает не одна, а обе изоцианатные группы ТДИ.
Рис.1. ИК-спектры раствора смеси ТДИ с полиэтиленоксидом (а), "мертвым" (б) и "живым" (в) ОМТ в ТГФ при [ТДИ]: [BuLi] =l: Л. а: 1 - начало реакции; 2,3 - через 15 и 30 мин; 4 - через 1 ч после начала реакции; 6: 1 - начало реакции; 2,3 - через 3 и 6 ч после начала реакции; в: 1 - до начала реакции, 2 - через 3 мин после начала реакции
Однако дальнейшее взаимодействие продукта реакции с ДАДФЭ и последующее образование блок-сополимеров доказывает, что вторая изоцианатная группа ТДИ остается реакционноспособной. Это кажущееся противоречие заставило предположить возможность протекания реакции "живого" ОМТ с ТДИ с образованием продукта внутримолекулярной циклизации в молекуле ТДИ (схема, III). Правомочность подобного предположения подтверждается данными работы [10], в которой показано, что при полимеризации алифатических диизоцианатов под влиянием нуклеофильных агентов образуются линейные растворимые полимеры с повторяющимися циклическими звеньями в цепи.
Совершенно неожиданным оказалось то, что выход блок-сополимера и содержание метилтиирана в нем в значительной степени зависят от способа выделения и времени хранения OMT-NH2. В том случае, когда стадия выделения OMT-NH2 отсутствовала, т.е. синтез блок-сополимеров проводили по способу, наиболее приближенному к описанному в работе [1], метилтииранамидокислотный блок-сополимер был разделен на 2 фракции: с большим (табл.1, сополимер 1а) и меньшим (сополимер 16) содержанием метилтиирановых блоков. OMT-NH2 после месячного хранения в холодильнике давал наименьшее вхождение метилтиирановых блоков в блок-сополимер (сополимер 2). Употребление OMT-NH2 сразу после его выделения приводило к более высокому содержанию метилтииранового блока в блок-сополимере (сополимеры 3,4), но отгонка ТГФ в разных условиях (в присутствии следов влаги и в контакте с воздухом (сополимер 3) и в безвоздушной и безводной среде (сополимер 4)) давала разные результаты. В первом случае выход блок-сополимера и содержание метилтиирановых блоков в нем в 1,5 раза меньше, чем во втором.
Синтезированные по схеме блок-сополимеры ОМТ с ПАК, полученной на основе пиромеллитового диангидрида (ПАК-ПМ) и диангидрида тет-ракарбоксидифенилоксида (ПАК-ДФО), исследованы методами турбиди-метрии и светорассеяния. Для них подобраны пары растворитель - оса-дитель (ДМАА - этанол) и оптимальные режимы титрования. Получены кривые титрования исходных гомополимеров и их смесей при разных концентрациях (рис.2, а).
Для каждой из двух фракций блок-сополимеров, синтезированных без выделения OMT-NH2 (табл.1, сополимеры 1а и 16), получены кривые турбидиметрического титрования при разных концентрациях (рис.2, а). Из анализа экспериментальных кривых сделаны следующие выводы о композиционной неоднородности продукта: первая фракция (табл.1, сополимер 1а), содержащая по данным элементного анализа ~38°/о метилтиирановых блоков, имеет в своем составе гибридный продукт (рис.2, а), содержащий часть, сильно обогащенную ОМТ, и часть, сильно обогащенную ПАК (широкое распределение по составу). Вторая фракция с содержанием ОМТ ~18% (табл.1, сополимер 16, рис.2, а) имеет в своем составе гибридный продукт, сильно обогащенный ПАК, и гомополимер ПАК.
Для системы ПАК-ДФО - ОМТ исследованы три образца (табл.1, сополимеры 2-4). Анализ формы кривых турбидиметрического титрования показал, что во всех образцах присутствует гибридный продукт и гомополимер ПАК-ДФО (рис.2,6). Мы определили f для смеси, отмывающей гомополимер ПАК-ДФО. После размывки образцов на кривых турбидиметрического титрования отсутствует пик, характерный для гомополимера ПАК-ДФО (рис.2,6).
Рис.3. Термомеханические кривые пленок блок-сополимера ОМТ - ПИ-ДФО (1), гомополиимида ПИ-ДФО (2) и блок-сополимера ОМТ - ПИ-ДФО - ОМТ, предварительно прогретого до 320° (3)
Образец 4 табл.1 до и после размывки был охарактеризован методами светорассеяния и вискозиметрии в ДМАА. Измерены характеристические вязкости [ц], средневесовые молекулярные массы Mw, инкременты показателя преломления Дге/с и вторые вириальные коэффициенты Аг. Сопоставление значения [t|] ж Mw для образцов до и после размывки свидетельствует об удалении примеси низкомолекулярной ПАК.
Метилтииранимидные блок-сополимеры были получены химической имидизацией пленки [15] метилтииранамидокислотного блок-сополимера. Как показывают данные рис.3, присоединение гибкого метилтииранового фрагмента к концам полиимидной цепи сообщило полимеру пластические свойства. Обрыв пленки метилтииранимидного блок-сополимера происходит при удлинении более 200% (рис.3), в то время как обрыв гомополиимидной пленки, полученной в аналогичных условиях, наступает при удлинении ~16% (рис.3). При исследовании пленки метилтииранимидного блок-сополимера, предварительно прогретой до 320°, обрыв происходит при удлинении уже не 200, а ~50%, а температура размягчения повышается с 210 до 270°. Эти результаты согласуются с данными ТГА, где 20% -ная потеря в весе при 250-300° обусловлена термодеструкцией метилтиирановых блоков. Следовательно, при предварительном прогревании пленки выше 250° происходит выгорание блоков метилтиирана и, как следствие, падение термопластичности исследуемого материала. Кроме того, известно, что при химической имидизации частично образуются изоимидные циклы, изомеризующиеся в имидные при нагревании до 300° [16]. Следовательно, повышение температуры размягчения до 270° (Тр "термического" ПИ-ДФО [17]) после предварительного прогревания пленки блок-сополимера обусловлено отсутствием в полиимиде изоимидных структур. Таким образом, прогревание метилтииранимидного блок-сополимера приводит к структуре "термического" полиимида.
Литература
-
Hergenrother W. L., Ambrose R. J. J. Polymer Sci. B, 1974, v.12, № 6, p.343.
-
Ambrose R. J., Hergenrother W. L. J. Polymer Sci. Polymer Symp., 1977, v.60, p.15.
-
Джонс P. Дж., Кассей Г. H. РЖХим., 1979, 12Т417.
-
Котон И.М., Артемьева В.И., Кудрявцев В.В., Чернова 3.Д., Кукаркина Н.В., Овсянникова Л.А., Рудковская Г.Д., Жукова Т.И., Кузнецов Ю.П. Высокомо-лек. соед. А, 1983, т.25, № 4, с.726.
-
Рудковская Г.Д., Овсянникова Л.А., Барановская И.А., Шабсельс Б.М., Иванова Р.А., Ульянова Н.Н., Власов Г.П. Высокомолек. соед. В, 1981, т.23, № 11, с.842.
-
Цветков В.Н., Эскин В.Е., Френкель С.Я. Структура макромолекул в растворах. М.: Наука, 1964.
-
Бессонов М.И., Кузнецов Н.П., Смирнова В.Е. Завод, лаб., 1975, № 11, с.1402.
-
Коротнева Л.А., Беленовская Г.П. Успехи химии, 1972, т.41, № 1, с.150.
-
Boilean S., Sigwalt P. Bull. Soc. chim. France, 1968, № 4, p.1418.
-
Iwacura Y., Uno K., Ichikawa K. J. Polymer Sci. A, 1964, v.2, № 9, p.3387.
-
Платэ H.А. В кн.: Успехи химии и технологии полимеров/Под ред. Роговина 3.А. М.: Химия, 1970, с.58.
-
Рафиков С.Р. Высокомолек. соед. А, 1979, т.21, № 12, с.2518.
-
Эскин В.Е., Барановская И.А., Котон М.М., Кудрявцев В.В., Склизкова В.П. Высокомолек. соед. А, 1976, т.18, № 10, с.2362.
-
Копаки А.Е., Ремез Н.Л. Заявка ФРГ № 1809828, 1969.
-
Котон М.М., Мелешко Т.К., Кудрявцев В.В., Нечаев П.П., Камзолкина Е.В., Богорад Н.Н. Высокомолек. соед. А, 1982, т.24, № 4, с.715.
-
Котон М.М., Мелешко Т.К., Кудрявцев В.В., Гофман И.В., Кузнецов Н.П., Дергачева Е.И., Бессонов М.И., Леонов Е.И., Горохов А.Г. Высокомолек. соед. А, 1985, т.27, № 4, с.806.
-
Рудаков А.П., Флоринский Ф.С., Бессонов М.И., Власов К.И., Котон М.М., Танонина П.М. Пласт, массы, 1967, № 9, с.26.
Характеристики
Тип файла документ
Документы такого типа открываются такими программами, как Microsoft Office Word на компьютерах Windows, Apple Pages на компьютерах Mac, Open Office - бесплатная альтернатива на различных платформах, в том числе Linux. Наиболее простым и современным решением будут Google документы, так как открываются онлайн без скачивания прямо в браузере на любой платформе. Существуют российские качественные аналоги, например от Яндекса.
Будьте внимательны на мобильных устройствах, так как там используются упрощённый функционал даже в официальном приложении от Microsoft, поэтому для просмотра скачивайте PDF-версию. А если нужно редактировать файл, то используйте оригинальный файл.
Файлы такого типа обычно разбиты на страницы, а текст может быть форматированным (жирный, курсив, выбор шрифта, таблицы и т.п.), а также в него можно добавлять изображения. Формат идеально подходит для рефератов, докладов и РПЗ курсовых проектов, которые необходимо распечатать. Кстати перед печатью также сохраняйте файл в PDF, так как принтер может начудить со шрифтами.
















