115227 (765519)
Текст из файла
Волгоградский социально педагогический колледж
Развитие познавательных процессов детей 6-10 лет средствами физического воспитания
Кандидат педагогических наук, доцент В.А. Баландин Кубанская государственная академия физической культуры, Краснодар
Волгоград 2010
Ключевые слова: дети 6-10 лет, познавательные процессы, темпы прироста, физическое воспитание.
Гармоничное развитие ребенка является важнейшей предпосылкой формирования духовной и физической сфер взрослого человека [4, 13].
Младший школьный возраст - один из благоприятных периодов для развития психических процессов [11]. Большинство ученых убеждены в огромной роли данного возрастного отрезка в формировании и развитии познавательных процессов. Этой проблеме посвящено достаточное количество исследований, в которых теоретически и экспериментально обосновываются возможности средств и методов различных видов воспитания для создания условий, необходимых для их развития у детей [5, 6, 7, 11].
К сожалению, этого нельзя сказать о научных исследованиях в области физической культуры и спорта. Они немногочисленны, и, как правило, в них рассматриваются отдельные фрагменты данного вопроса [8, 10, 14].
Вместе с тем нельзя не согласиться с мнением целого ряда авторов, считающих, что физическое воспитание имеет огромные возможности в плане развития познавательных процессов людей различных возрастов, в том числе и младших школьников [3, 9, 10].
Методика и организация исследования. Средовая и генетическая обусловленность развития познавательных процессов человека обязывает начинать анализ возможностей педагогического влияния на них с возрастных особенностей динамики изучаемых характеристик психики ребенка [5, 7, 14, 16].
В частности, принципиальное значение для разработки стратегии и тактики педагогического эксперимента имели научные факты о возрастных изменениях абсолютных значений, темпах их прироста, стабильности и прогностической значимости ювенильных значений, половых и временных различиях, доминантных признаках их развития. Основу содержания физкультурных занятий, направленных на развитие психических процессов, составляли подвижные игры. С учетом выявленных особенностей развития познавательных процессов у детей 6 - 8 лет [1, 2, 12, 16] подвижные игры были сгруппированы в соответствии с оценкой их влияния не только на развитиe физических качеств, но и на формирование структурных единиц психики: памяти - слуховой, моторно-слуховой, зрительной; воображения - творческого, воссоздающего, а также оригинальности решений задач; восприятия - степени развития наблюдательности, объема и адекватности воспроизведения ; мышления - способности к анализу, сравнению и обобщению, наглядно-образного и логического; внимания - произвольного, переключения, распределения и устойчивости.
Влияние уровня развития познавательных процессов на успешность обучения детей 6-10 лет
| № п/п | Познавательные процессы | Пол | Успешность обучения | ||||
| 6 лет | 7 лет | 8 лет | 9 лет | 10 лет | |||
| Память | |||||||
| 1 | Слуховая, колич. | м | 374 | 386 | 497 | ||
| 688 | 856 | 754 | 780 | 834 | |||
| 2 | Моторно-слуховая, балл. | м | 368 | 420 | 388 | ||
| 447 | |||||||
| 3 | Зрительная, балл. | м | 498 | 373 | 503 | 584 | 702 |
| 470 | 830 | 668 | 684 | 831 | |||
| Воображение | |||||||
| 4 | Оригинальность решения задач, балл. | М | 388 | ||||
| 440 | 372 | 389 | 504 | ||||
| 5 | Творческое, балл. | М | 411 | 401 | 421 | ||
| 421 | 361 | ||||||
| 6 | Воссоздающее, балл. | М | 542 | 405 | |||
| 381 | |||||||
| Восприятие | |||||||
| 7 | Степень развития наблюдательности, балл. | М | 631 | 686 | 704 | 730 | 757 |
| 516 | 412 | 408 | 511 | 820 | |||
| 8 | Адекватное воспроизведение, балл. | М | 508 | 423 | 570 | 603 | 766 |
| 447 | 365 | 489 | 557 | 671 | |||
| 9 | Степень развития объема восприятия, балл. | М | 515 | 600 | 631 | 627 | 743 |
| 484 | 534 | 576 | 603 | 722 | |||
| Мышления | |||||||
| 10 | Анализ, сравнение и обобщение, балл. | М | 488 | 593 | 645 | 740 | 831 |
| 583 | 618 | 683 | 670 | 814 | |||
| 11 | Наглядно-образное, балл | М | 804 | 705 | 606 | 500 | 473 |
| 559 | 387 | 373 | 380 | 372 | |||
| 12 | Логическое, балл. | М | 587 | 667 | 747 | 788 | 922 |
| 410 | 486 | 644 | 714 | 833 | |||
| Внимание | |||||||
| 13 | Произвольное, усл.ед. | М | 696 | 600 | 713 | 702 | 823 |
| 612 | 657 | 777 | 758 | 784 | |||
| 14 | Переключение и распределение, усл. ед. | М | 362 | 644 | 765 | 784 | 877 |
| 372 | 390 | 797 | 820 | 794 | |||
| 15 | Устойчивость, усл.ед. | М | 389 | 420 | 425 | 415 | 420 |
| 383 | 386 | 410 | 478 | 505 | |||
Примечания: 1. Представлены только достоверные коэффициенты корреляции. 2. Ноли перед коэффициентами корреляции опущены. 3. Подчеркнуты значения коэффициентов корреляции, имеющие уровень достоверной взаимосвязи р<0,01, не подчеркнуты р< 0,05.
Перспективное планирование использования подвижных игр осуществлялось на основе выявленной взаимосвязи показателей познавательных процессов с успешностью обучения. Результаты корреляционного анализа представлены в таблице.
Физические упражнения и подвижные игры использовались во всех формах работы по физическому воспитанию детей старшего дошкольного и младшего школьного возрастов: в утренней гимнастике, на физкультурных занятиях, во время активного отдыха, перемен, на физкультминутках, физкультурных праздниках и в самостоятельной двигательной деятельности.
Подвижные игры, подобранные с учетом выявленных особенностей взаимосвязи показателей познавательных процессов с успешностью обучения, были разбиты на три группы. В первую группу вошли игры, развивающие те познавательные процессы, которые в данном возрасте показали высокую взаимосвязь с успешностью обучения (р < 0,01). Во вторую группу были включены игры, создающие условия для развития познавательных процессов, которые имели средний уровень взаимосвязи с успешностью освоения знаний (р 0,05).
Дополнительными критериями для отбора игр являлись:
- соответствие игрового материала задачам исследования;
- возможность включения в процессе игры элементов психики, несущих преимущественную нагрузку в процессе обучения;
- доступность и эмоциональная привлекательность игрового материала.
Особенность использованных игр заключалась в проведении их в цикличном порядке, с соблюдени ем требования адекватности характера и объема двигательной активности возрастным и половым особенностям детей.
С учетом критериев подбора игр были разработаны годовые планы развития познавательных процессов детей 6-10 лет [1].
За основу игровой формы, как правило, брался сюжет, к которому подбирались средства и методические приемы обучения. При этом готовился стихотворный текст, который потом читал педагог. В содержание текста включались стихи детских писателей, поговорки, дразнилки, загадки, считалки и стихи собственного сочинения [15].
С целью проверки эффективности подобранных средств и методов физического воспитания, способствующих развитию познавательных процессов детей 6-10 лет, был проведен педагогический эксперимент на базах детских образовательных учреждений (ДОУ) и общеобразовательных школ (ОШ) г. Краснодара. Были сформированы две группы детей 6 лет - экспериментальная и контрольная.
На экспериментальной группе (30 девочек и 31 мальчик) из ДОУ № 31 проверялись эффективность воздействия подобранных средств и методов физического воспитания на развитие познавательных процессов в течение как первого года эксперимента, так и последующих четырех лет после перехода детей в общеобразовательные школы № 4 и 6.
Контрольная группа (31 девочка и 33 мальчика) из ДОУ № 131, а в дальнейшем - учащиеся школы № 72, на протяжении всех лет эксперимента обучалась по общепринятым программам.
Результаты исследования и их обсуждение. Изучение динамики познавательных процессов осуществлялось по интегральным показателям (ИП). Анализ внутригрупповых изменений абсолютных значений ИП познавательных процессов показывает, что как в контрольной, так и в экспериментальной группе в течение учебного года произошли достоверные изменения. Отмечено достоверное увеличение показателей уровня развития познавательных процессов детей контрольной группы, что, по-видимому, обусловлено влиянием генотипического раз вития и результатами обучения и воспитания по обычным программам:
- 6 лет - воображения, восприятия у детей обоего пола;
- 7 лет - внимания у детей обоего пола, восприятия (у девочек);
- 8 лет - памяти, восприятия, мышления, внимания у детей обоего пола;
- 9 лет - памяти, восприятия, внимания у детей обоего пола, мышления (у девочек);
- 10 лет - памяти, мышления, внимания у детей обоего пола, восприятия (у мальчиков).
Необходимо отметить, что количество и уровень достоверной вероятности изменившихся в годичном цикле характеристик у детей эксперимен тальной группы превосходят аналогичные значения у их сверстников из контрольной.
Статистически значимые различия между детьми контрольной и экспериментальной групп по большинству изучаемых признаков на начало учебного года выявлены в 9-летнем возрасте. В конце учебного года преимущество детей экспериментальной группы наблюдается с 8 лет, за исключением показателей внимания у мальчиков. Очевидно, предлагаемая система стимулирования развития познавательных процессов средствами физического воспитания оказывает существенное влияние на их абсолютные значения через 2-3 года. Вместе с тем обращает на себя внимание достоверное преимущество по большинству показателей темпов прироста познавательных процессов детей экспериментальной группы начиная с 6 лет. Если на начало учебного года по абсолютным значениям познавательных процессов между детьми контрольной и экспериментальной групп наблюдаются достоверные различия в 42% случаях, а в конце учебного года в 60%, то по темпам прироста статистически достоверная разница выявлена в 86% случаев.
В ходе педагогического эксперимента определяли наличие элементов полового диморфизма по абсолютным значениям и темпам прироста изучаемых характеристик психики. Установлено, что по исходному уровню развития познавательных процессов мальчики и девочки 6 лет контрольной и экспериментальной групп не отличаются друг от друга. В конце учебного года картина повторяется (табл. 4). По мере взросления детей количество элементов полового диморфизма по изучаемым признакам возрастает. Вместе с тем по темпам прироста различия между мальчиками и девочками более значительны. Из 25 показателей в возрастном диапазоне 6-10 лет достоверны различия у детей контрольной группы по 16 показателям (64,0%), экспериментальной - по 12 (52,0%).
Необходимо отметить, что по абсолютным значениям познавательных процессов преимущество наблюдается у девочек. Исключение составляют характеристики мышления, по которым выявлены более высокие значения у мальчиков контрольной группы в 10 лет. По темпам прироста наблюдается обратная картина: достоверно большие значения выявлены у мальчиков. Исключение составляют показатели темпов прироста у девочек в контрольной группе по параметрам памяти, мышления и внимания в 6 лет, восприятия и внимания в 7 лет; в экспериментальной - мышления в 6 лет и внимания в 7 лет, что на достоверном уровне превосходит показатели мальчиков.
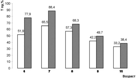
Средняя сумма темпов прироста показателей познавательных процессов у детей контрольной и экспериментальной групп по результатам пятилетнего педагогического эксперимента
Количество достоверно значимых отличий между мальчиками и девочками у детей контрольной группы больше, чем в экспериментальной, как по абсолютным значениям, так и по темпам прироста. Очевидно различные методики неодинаково влияют на развитие познавательных процессов у детей разного пола. Экспериментальная методика, по нашему мнению, способствует нивелированию половых различий в уровне развития психических свойств детей 6-10 лет.
0>Характеристики
Тип файла документ
Документы такого типа открываются такими программами, как Microsoft Office Word на компьютерах Windows, Apple Pages на компьютерах Mac, Open Office - бесплатная альтернатива на различных платформах, в том числе Linux. Наиболее простым и современным решением будут Google документы, так как открываются онлайн без скачивания прямо в браузере на любой платформе. Существуют российские качественные аналоги, например от Яндекса.
Будьте внимательны на мобильных устройствах, так как там используются упрощённый функционал даже в официальном приложении от Microsoft, поэтому для просмотра скачивайте PDF-версию. А если нужно редактировать файл, то используйте оригинальный файл.
Файлы такого типа обычно разбиты на страницы, а текст может быть форматированным (жирный, курсив, выбор шрифта, таблицы и т.п.), а также в него можно добавлять изображения. Формат идеально подходит для рефератов, докладов и РПЗ курсовых проектов, которые необходимо распечатать. Кстати перед печатью также сохраняйте файл в PDF, так как принтер может начудить со шрифтами.
















