108953 (765342), страница 2
Текст из файла (страница 2)
Рис. 6. Изотермы сорбции йода (а) и родамина С (б) из их водных растворов образцами полиэтилентерефталата,
растянутыми в н-пропаноле до различных степеней вытяжки:
1 - 20%, 2 - 50%, 3 - 100%, 4 - 150%, 5 - 200%, 6 - 300%, 7 - 400%.
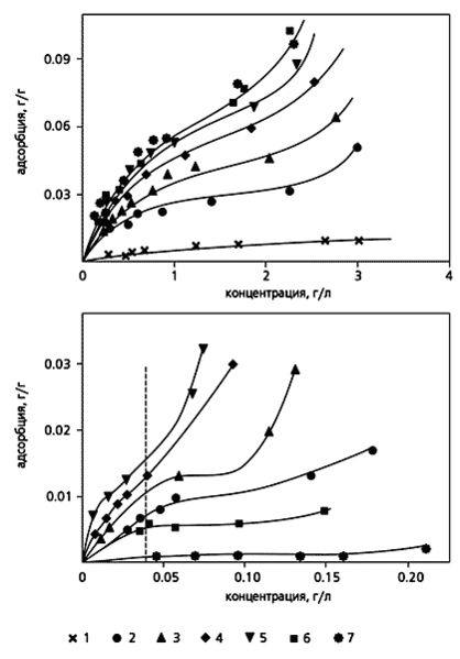
На рис.6 представлены изотермы адсорбции двух веществ - йода (а) и родамина С (б) - из их водных растворов. Хорошо видно, что полимер, растянутый в жидкости, действительно становится эффективным адсорбентом, способным поглощать любые низкомолекулярные вещества из их растворов. Причем эффективность адсорбции зависит как от величины деформации полимера, так и от молекулярных размеров сорбируемого вещества (молекулы йода имеют размер ~0.5 нм, а молекулы родамина С - 17.5 нм), рис.7.
Из рисунка хорошо видно, что адсорбция йода при малых степенях удлинения возрастает, а затем, достигнув максимума, перестает изменяться, в то время как более объемные молекулы родамина С в области 200%-го удлинения демонстрируют резкий спад адсорбции. Очевидно, крейзы, возникающие на первых этапах растяжения, содержат пустоты больших размеров, легко доступные даже крупным молекулам родамина С. По мере вытяжки крейзы разрастаются, что увеличивает площадь межфазной поверхности полимера, и, соответственно, возрастает адсорбция. Но когда начинается описанный выше структурный переход, приводящий к сжатию структуры и уменьшению эффективного диаметра пор, сокращается число пустот, доступных молекулам сначала родамина С (начиная со 250%-го удлинения), а затем и йода (с 300%-го). Таким образом, существует метод разделения молекул путем адсорбции из раствора тех из них, которые способны проникать в поры данного размера (молекулярно-ситовый эффект). Поскольку размер пор можно легко регулировать, изменяя степень вытяжки полимера в адсорбционно-активной среде (используя эффект Ребиндера), легко добиться избирательной адсорбции.
Рис. 7. Зависимость величины адсорбции от степени вытяжки полиэтилентерефталата в н-пропаноле:
а - водные растворы йода; б - водные растворы родамина С.
Важно отметить, что используемые в практике адсорбенты обычно представляют собой некий порошок или гранулят, которым заполняют разного рода емкости (например, сорбент в том же противогазе). С помощью эффекта Ребиндера легко получить пленку или волокно со сквозной нанометрической пористостью. Другими словами, открывается перспектива создать конструкционный материал, обладающий оптимальными механическими свойствами и одновременно являющийся эффективным сорбентом.
Более того, полимеры, деформированные в адсорбционно-активной среде, - это готовые разделительные мембраны. Мембраны, имеющие размер пор 1-10 нм, служат для очистки жидкостей и газов, для разделения разного рода смесей, в частности для опреснения морской воды путем обратного осмоса. Самые распространенные разделительные мембраны получают с помощью сложных и трудоемких процедур. Так, ядерные фильтры изготавливают, облучая полимерную пленку потоком тяжелых ионов, а затем протравливая места их проникновения (треки) с помощью агрессивных химических веществ [4]. В результате пленки приобретают сквозные цилиндрические отверстия. Широко используются мембраны, получаемые при фазовом разделении растворов полимеров. В этом случае в строго контролируемых условиях в раствор полимера добавляют осадитель, в результате чего полимер выделяется в осадок. Последующая сушка осадка дает пористую полимерную пленку, которая и работает затем разделительной мембраной. Регулируя условия фазового разделения, можно получать пористые пленки с порами различных размеров [5].
С помощью эффекта Ребиндера элементарным путем (простым растяжением полимерной пленки в адсорбционно-активной среде) удается делать пористые полимерные пленки на основе практически любых синтетических полимеров. Размеры пор в таких пленках легко регулировать, изменяя степень деформации полимера, что позволяет изготавливать разделительные мембраны для решения самых разных практических задач.
Наши полимеры могут работать не только как мембраны. Когда полимер последовательно проходит все структурные перестройки при вытяжке (рис.4, 5), рыхлая структура сменяется на более компактную и радиус пор уменьшается, объем полимера уменьшается тоже, и часть жидкости, захваченной полимером на первых этапах его деформации, выделяется в окружающее пространство (явление синерезиса). Как видно из адсорбционных данных, размеры пор в конце концов становятся соизмеримыми с молекулярными размерами низкомолекулярных веществ. Такого рода уменьшение межфибриллярных расстояний должно прежде всего затруднять выделение в окружающее пространство больших, громоздких молекул.
Данный эффект отчетливо заметен, если деформирование полимера проводят в жидкости, представляющей из себя смесь молекул различного размера. Наиболее удобно продемонстрировать явления, которые происходят при деформировании полимера в такой двухкомпонентной среде, с помощью растворов органических красителей в адсорбционно-активной жидкости. Схема структурных перестроек, имеющих место в деформируемом полимере в этом случае, представлена на рис.8. На первых стадиях растяжения происходит рост крейзов, вследствие чего увеличивается общий объем микропустот, заполненных раствором красителя (рис.8,а).
Рис. 8. Схема структурных перестроек, сопровождающих крейзинг полимера в двухкомпонентной жидкости,
составляющие которой имеют разный молекулярный вес.
Стрелками указано направление массопереноса жидкости на различных этапах (а, б) растяжения полимера.
Чем сильнее мы вытягиваем полимер, тем больше красителя оказывается в порах. По достижении той степени вытяжки, когда начинается коллапс фибриллизованного материала крейзов и переход от рыхлой структуры к компактной, пойдет обратный процесс - растворитель станет выдавливаться из объема крейзов в окружающее пространство через микропоры (рис.8,б). Расстояния между фибриллами из-за их слипания в процессе вытяжки непрерывно уменьшаются и в конце концов оказываются соизмеримыми с размерами молекул красителя. В итоге происходит своеобразная ультрафильтрация раствора красителя на молекулярном уровне, в результате которой молекулы красителя захватываются в объеме полимера по чисто геометрическим (стерическим) причинам, а в окружающее пространство отфильтровывается в основном чистый растворитель. Ситуация полностью аналогична ловле рыбы сетью с ячейками определенного размера: мелкая рыба свободно проходит через такую сеть, а крупная не может этого сделать и остается в ней. По сути дела, эффект Ребиндера позволяет простейшим путем внедрять и фиксировать в структуре полимера практически любые нужные добавки.
"Пустотный" транспорт
Введение разнообразных низкомолекулярных добавок в полимеры - важнейшая технологическая задача, поскольку в практике чистые, не содержащие различных целевых примесей полимеры практически не используются. Но ввести в полимер добавку весьма непросто. Проиллюстрируем это на примере такого хорошо разработанного процесса, как крашение текстильных волокон. Как известно [6], при крашении краситель самопроизвольно переходит из раствора в волокно до установления равновесия, а скорость процесса и количество красящего вещества, поглощаемого волокном, определяются законами активированной диффузии и сорбции. Таким образом, чтобы ввести в полимер низкомолекулярное вещество, необходимо обеспечить, по крайней мере, два условия. Во-первых, должен быть какой-то путь для диффузии красителя в объем полимера, и, во-вторых, у полимера и красителя должны иметься активные функциональные группы, способные взаимодействовать друг с другом.
Сорбция и диффузия - процессы довольно медленные, в связи с чем сформованное волокно окрашивают в специальных чанах при повышенной температуре. Активные функциональные группы нужны, чтобы удержать введенную добавку в структуре волокна. В противном случае краситель будет выделяться из текстильного изделия при стирках (линять). Если же необходимо ввести какую-либо добавку в гидрофобное волокно (полиэфир, полиолефин, поливинилхлорид), не содержащее активных функциональных групп, приходится использовать достаточно сложные и трудоемкие процедуры. Например, такую: волокно сначала пропитывают слегка загущенной дисперсной суспензией красителя, сушат, а затем прогревают при 200-210°С (термозоль-процесс) или подвергают воздействию паров трихлорэтилена (вапокол-процесс) [6]. Очевидно, что при этом краситель включается в основном в поверхностный слой волокна, в то время как его сердцевина остается неокрашенной.
Наши исследования позволяют рассматривать крейзинг как универсальный метод введения в полимеры модифицирующих добавок. Этот метод основан на принципиально других механизмах "доставки" примеси и ее удержания в структуре полимера. Доставка осуществляется не путем диффузии, а значительно более быстрым способом переноса вещества - путем вязкого течения по системе взаимосвязанных пор в системе крейзов. Для удержания (фиксации) добавки в структуре волокна не требуется наличия у полимера и низкомолекулярного компонента взаимодействующих функциональных групп. Фиксация происходит путем механического захвата низкомолекулярного компонента в объеме полимера из-за соизмеримости его молекулярных размеров с размерами пор. Последнее обстоятельство практически неограниченно расширяет круг вводимых добавок [7].
Напомним, что крейзинг полимера является по существу разновидностью холодной или ориентационной вытяжки полимеров. Ориентационное вытягивание полимеров - один из важнейших технологических приемов, широко используемых в производстве синтетических волокон и пленок для оптимизации их механических и прочностных свойств. Поэтому уже существует высокопроизводительное промышленное оборудование, работающее в непрерывном режиме, которое можно приспособить для крейзинга при незначительной модификации.
И, наконец, еще одна особенность: оказывается, с помощью крейзинга можно придавать полимерным пленкам и волокнам поперечный рельеф. Вообще говоря, создание рельефа не представляет серьезной проблемы в случае волокон и пленок, формуемых из расплава. Обычно изготовление синтетического волокна имеет две стадии. На первом этапе расплав синтетического полимера продавливают под давлением через пластину, имеющую маленькие отверстия (фильеру), после чего этот расплав твердеет при остывании. В результате полимер превращается в большое количество тоненьких (10-100 мкм) ниточек. Это так называемая стадия формования волокна. Затем полученные ниточки вытягивают для улучшения их механических свойств (стадия ориентационного вытягивания). Так вот, если на первой стадии формования расплав полимера продавливать через отверстия, имеющие сложную конфигурацию, например в виде звездочек, то образующееся волокно также будет иметь на поверхности рельеф, соответствующий этой конфигурации. Однако в этом случае волокно приобретает только продольный рельеф. Наиболее же ценные с точки зрения потребительских свойств природные волокна имеют хорошо выраженный поперечный рельеф.
Рис. 9. Микрофотографии природных шерстяных волокон овцы (а), собаки (б),
синтетических волокон полиэтилентерефталата, испытавших крейзинг (в, г),
полученные с помощью сканирующего электронного микроскопа. (Увел. 500.)
На рис.9,а,б представлены типичные примеры рельефа природных шерстяных волокон. Хорошо видно, что Природа старательно наносит на поверхность "изготовляемых" ею волокон регулярный поперечный рельеф. Возможно, полезные потребительские качества таких волокон обусловлены именно этим специфическим рельефом. А крейзы как раз распространяются всегда нормально оси растягивающего напряжения (рис.3). В результате на поверхности вытянутого волокна возникает поперечный рельеф, который принципиально невозможно создать при традиционном методе изготовления синтетических волокон. С помощью крейзинга поперечный рельеф легко реализуется в непрерывном режиме.
* * *
Подытожим вышеизложенное: эффект Ребиндера в полимерах несет в себе большой прикладной потенциал. Во-первых, простой вытяжкой полимера в адсорбционно-активной жидкости можно получать разнообразные полимерные сорбенты, разделительные мембраны и полимерные изделия, имеющие поперечный рельеф, и, во-вторых, эффект Ребиндера дает химику-технологу универсальный непрерывный метод введения модифицирующих добавок в полимеры.
Список литературы
1. Горюнов Ю.В., Перцов Н.В., Сумм Б.Д. Эффект Ребиндера. М., 1966.
2. А.Л.Волынский, Н.Ф.Бакеев. Высокодисперсное ориентированное состояние полимеров. М., 1985.
3. Volynskii A.L., Bakeev N.F. Solvent Crazing of Polymers. Amsterdam, 1995.
4. Дубяга В.П., Перепечкин Л.П., Каталевский Е.Е. Полимерные мембраны. М.,1981.
5. Дытнерский Ю.И. Мембранные процессы разделения жидких смесей. М., 1975.
6. Мельников Б.Н. Крашение волокон // Энциклопедия полимеров. Т.1. М., 1972. С.1135.
7. Волынский А.Л., Микушев А.Е., Ярышева Л.М., Бакеев Н.Ф. // Рос. хим. журн. (Журн. Рос. хим. об-ва им. Д.И.Менделеева). 2005. Т.50. .№6. С.118-128.
Для подготовки данной работы были использованы материалы с сайта http://vivovoco.rsl.ru
















