108807 (765291)
Текст из файла
Проектирование технологии дуговой сварки на основе модели формирования показателей свариваемости низколегированных сталей
Коновалов А.В., к.т.н. (МГТУ им. Н.Э.Баумана, Москва, Россия)
В настоящее время в области свариваемости низколегированных сталей (НЛС) накоплен значительный теоретический и экспериментальный материал, однако обеспечение достаточной свариваемости НЛС по-прежнему является сложной технологической задачей. Наиболее опасным проявлением недостаточной свариваемости НЛС являются холодные трещины (ХТ). Значительные трудности вызывает обеспечение заданного комплекса механических и эксплуатационных свойств различных зон сварного соединения.
Накопленный опыт свидетельствует, что существенные резервы обеспечения свариваемости НЛС скрыты в правильном выборе теплового режима сварки и сварочных материалов. Однако отсутствие научно обоснованной методики такого выбора не позволяет эффективно использовать указанные резервы и приводит к применению традиционных решений – назначению подогрева, последующего отпуска сварных конструкций, либо применению сварочных материалов аустенитного класса, хотя существует принципиальная возможность достижения положительного результата при использовании более дешевых сварочных материалов перлитного класса.
Перечисленные недостатки в значительной мере объясняются сложностью и большим числом взаимосвязанных процессов, протекающих в сталях при сварке, неоднозначной зависимостью показателей свариваемости от параметров технологии сварки. Совершенно очевидно, что только использование технических возможностей современной компьютерной техники для комплексного анализа технологических вариантов сварки путем моделирования совокупности протекающих в металле процессов, позволит получать оптимальные технологические решения при значительном снижении ресурсоемкости самого процесса разработки.
Технология сварки как объект проектирования
Проектирование технологии сварки заключается в выборе способа сварки, сварочных материалов, определении параметров режима и условий сварки, а также дополнительных технологических мероприятий, обеспечивающих требуемое качество сварного изделия и необходимые технико-экономические производственные показатели. Техническое задание (ТЗ) обычно оговаривает перечень и диапазон допустимых значений показателей качества сварного соединения в виде технических требований (ТТ).
Применительно к сварке НЛС обычно регламентируются показатели сплошности, геометрические характеристики и комплекс механических свойств различных зон сварного соединения; технико-экономические показатели и другие требования, отражающие специфику конкретного производства: имеющиеся производственные мощности, санитарно-гигиенические нормы, отраслевые нормы и т.п.
В основе проектирования обычно заложен принцип оптимизации - выбора наилучшего по какому-то критерию варианта из всех допустимых по ТЗ решений. Для компьютерного проектирования необходима формализация объекта в виде адекватной математической модели (ММ), определение функции цели и выбор метода решения задачи оптимизации.
Формирование модели на основе системного анализа
ММ вида Y = M(X) является математическим аналогом объекта. Под оператором М понимается полная система операций, описывающая численные и логические отношения между вектором входных параметров X и вектором выходных параметров Y (рис. 1).
Рис.1. Технология сварки как объект проектирования
Подобные модели решают задачу анализа, т.е. позволяют получать значения показателей (Y) при заданном наборе входных параметров (X). Корректность анализа определяется степенью адекватности модели исследуемому объекту.
Анализ взаимосвязей процессов, определяющих формирование показателей свариваемости НЛС (рис. 2) показывает, что эти взаимодействия могут быть описаны ветвящейся структурой с обратными связями, что приводит к усложнению модели. Для принятия обоснованного решения об упрощениях модели необходим дополнительный анализ существенности выявленных обратных связей.
Рис. 2. Схема взаимосвязей показателей свариваемости НЛС с процессами, протекающими в металле при сварке
Обратное влияние структурных превращений на протекание тепловых процессов связано с изменением теплофизических свойств материала при превращениях, а также с тепловыми эффектами этих превращений. Учет этой взаимосвязи возможен путем совместного решения температурной и структурной задач.
Если подходы к учету влияния структурных превращений на НДС хорошо известны (через величину фазовой дилатации и свойства материала), то количественное описание обратного влияния не позволяет учесть его в должной мере. По той же причине не учитывается влияние НДС на диффузию водорода (пунктирные линии на рис. 2).
В результате принятых допущений в ММ отсутствуют обратные связи, и моделирование сводится к последовательному анализу процессов в порядке, определенному структурой связей на рис. 2. Для уменьшения трудоемкости ММ формирование показателей свариваемости рассматривается не во всем объеме изделия, а лишь в ОШЗ сварного соединения, наиболее опасной с точки зрения образования ХТ. На основе разработанной ММ был создан инженерный программный комплекс «Свариваемость легированных сталей» [2,4].
Математическая формулировка цели проектирования
Как правило, целью проектирования технологии сварки является достижение наилучших технико-экономических показателей сварочного производства при обязательном условии обеспечения требуемого уровня качества изделия. Поскольку выполнение комплекса ТТ является непременным условием пригодности проектного решения, то степень выполнения каждого из условий работоспособности вида yj < TTj должна учитываться при вычислении целевой функции. Для устранения проблем, связанных с различной размерностью и физической сущностью показателей, входящих в условия работоспособности, целесообразно использовать безразмерные величины, учитывающие разброс выходных параметров объекта [3]:
где zj - запас работоспособности по j-му выходному параметру;
aj - коэффициент, отражающий важность выходного параметра;
TTj – нормативное значение выходного параметра; yj - текущее значение выходного параметра; j - величина, характеризующая разброс параметра.
Максимизация минимальной из оценок zj повышает вероятность выполнения того из условий работоспособности, которое характеризуется в данный момент наименьшей вероятностью выполнения [3]. Таким образом, синтез параметров технологии сварки НЛС сводится к следующей математической формулировке: для объекта, описываемого моделью Y=M(X) определить такой вектор входных параметров X*, лежащий в области допустимых решений ХД, чтобы, во-первых, достичь максимума целевой функции минимального запаса работоспособности и, во-вторых, обеспечить в -окрестности точки Х*, определяемой возможными возмущениями по входным параметрам, устойчивое по выходным параметрам состояние:
F( X*) = max min zj
X ХД j = [1:m]
F(X* + X ) = min zj > 0
j = [1:m ]
Выбор метода решения задачи синтеза
Важным свойством целевых функций является их гладкость, в частности, отсутствие гребней. Сложность поиска экстремума гребневой функции заключается в том, что при переходе через гребень градиент целевой функции резко меняет свое направление на почти противоположное, в то время как наилучшим направлением поиска является касательная к гребню. Это приводит обычно к «заклиниванию» поиска в окрестностях гребня.
Анализ физической сущности ТТ, предъявляемых к сварному соединению НЛС, показывает, что они являются противоречивыми: улучшение одного показателя, например, повышение прочности, приводит к ухудшению другого - снижению пластичности. В зависимости от предъявляемых ТТ возможно даже отсутствие приемлемого проектного решения. Область поиска проектных решений определяется как прямыми ограничениями на входные параметры, так и функциональными (отсутствие ХТ, требуемый комплекс свойств). Следовательно, при выборе метода решения необходимо ориентироваться на методы условной оптимизации с ограничениями.
Учитывая конфликтность выходных параметров модели, можно сделать вывод о неизбежности возникновения гребневой ситуации в процессе поиска, что позволяет рассматривать задачу оптимизации по максиминному критерию как задачу поиска при наличии ограничений типа равенств. Для решения таких задач имеется эффективный метод поиска – метод проекции градиента. При его использовании траектория поиска проходит вдоль вершины гребня, чем обеспечивается существенно более быстрое продвижение к цели, чем при применении градиентных методов или методов прямого поиска [3].
Алгоритм решения задачи проектирования
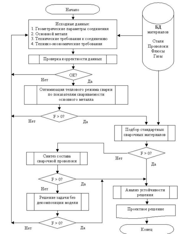
Наибольшей гибкостью обладают интерактивные средства проектирования, позволяющие использовать опыт специалиста при анализе промежуточных результатов и принятии решений. Алгоритм такой интерактивной процедуры применительно к синтезу параметров технологии сварки НЛС в среде защитных газов представлен на рис. 3.
Рис. 3. Алгоритм решения задачи синтеза параметров технологии дуговой сварки НЛС в среде защитных газов
На этапе проверки корректности исходных данных оценивается и принципиальная возможность достижения приемлемого решения. Поскольку показатели свариваемости являются структурно-зависимыми характеристиками, определяется допустимый диапазон структурных состояний НЛС, обеспечивающих выполнение ТТ к комплексу свойств ЗТВ. В случае невозможности выполнения указанных ТТ они признаются несовместными и подлежат корректировке.
Для уменьшения трудоемкости синтеза целесообразно произвести декомпозицию модели по связи шов - ЗТВ и решать задачу последовательно: сначала найти решение для основного металла без вариации состава металла шва (ТТ к основному металлу, как правило, являются более жесткими), а потом выбрать сварочную проволоку.
Оптимизация теплового режима сварки производится для обеспечения требуемого комплекса свойств ЗТВ. На этом этапе расчета определяются параметры режима сварки и подготовки кромок соединения, обеспечивающие получение сварного шва заданных размеров, а также температура подогрева для достижения требуемого структурного состояния ЗТВ и стойкости к образованию ХТ (рис. 4).
Рис. 4. Построение области качества при оптимизации теплового режима сварки
После выбора теплового режима предпринимается попытка подбора стандартной сварочной проволоки из базы данных, обеспечивающей при определенных ранее параметрах режима сварки получение требуемого комплекса свойств металла шва. Выбор признается удачным, если все ТТ к металлу шва (в том числе по стойкости к ХТ) выполняются, и при этом показатель сопротивляемости ЗТВ не опускается ниже заданного уровня. При отсутствии подходящей стандартной проволоки может быть рассчитан ее требуемый химический состав и сформулировано ТЗ на изготовление специальной проволоки.
Последним этапом является проверка устойчивости найденного решения при колебаниях входных параметров в пределах их естественного разброса. Решение признается устойчивым, если проверка методом наихудшего случая не выводит его за пределы области качества; в противном случае необходима корректировка решения, либо (при узости области качества) уменьшение разброса параметров (за счет выбора сварочного оборудования, стабилизации параметров режима и т.п.).
Список литературы
1. Макаров Э.Л. Холодные трещины при сварке легированных сталей.- М.: Машиностроение, 1981.- 247 с.
2. Макаров Э.Л., Коновалов А.В. Система компьютерного анализа свариваемости и технологии сварки конструкционных легированных сталей // Сварочное производство, 1995.- N3.- С. 6-9.
3. Анисимов Б.В., Белов Б.И., Норенков И.П. Машинный расчет элементов ЭВМ.- М.: Высшая школа, 1976.- 336 с.
4. Компьютерное проектирование и подготовка производства сварных конструкций: Учеб. пособие для вузов /Под ред. С.А.Куркина и В.М.Ховова.- М.: Изд-во МГТУ им.Н.Э.Баумана, 2002.- 464 с.
Для подготовки данной работы были использованы материалы с сайта http://www.techno.edu.ru
Характеристики
Тип файла документ
Документы такого типа открываются такими программами, как Microsoft Office Word на компьютерах Windows, Apple Pages на компьютерах Mac, Open Office - бесплатная альтернатива на различных платформах, в том числе Linux. Наиболее простым и современным решением будут Google документы, так как открываются онлайн без скачивания прямо в браузере на любой платформе. Существуют российские качественные аналоги, например от Яндекса.
Будьте внимательны на мобильных устройствах, так как там используются упрощённый функционал даже в официальном приложении от Microsoft, поэтому для просмотра скачивайте PDF-версию. А если нужно редактировать файл, то используйте оригинальный файл.
Файлы такого типа обычно разбиты на страницы, а текст может быть форматированным (жирный, курсив, выбор шрифта, таблицы и т.п.), а также в него можно добавлять изображения. Формат идеально подходит для рефератов, докладов и РПЗ курсовых проектов, которые необходимо распечатать. Кстати перед печатью также сохраняйте файл в PDF, так как принтер может начудить со шрифтами.















