84965 (763935)
Текст из файла
К парадоксу близнецов
Солонар Д. П.
Многими авторами рассматривался “парадокс близнецов” и большинство из них придерживаются выводов А. Эйнштейна по этому вопросу в той или иной форме видоизменяя его.
Поэтому в данной статье рассмотрены некоторые вопросы, по теории относительности А. Эйнштейна и показаны ряд неточностей и ошибок, которые, в конечном итоге, привели к неверным выводам и постулатам этой теории. Показано, что положение А. Эйнштейна о влиянии движения системы на возраст живых, заключенных в футляр, является не верным, т.к. оно противоречит постулату о равенстве физических законов в инерциальных системах.
Введение.
По мнению А. Денисова [1] теория относительности привела к отказу от материального эфира в физическом пространстве и к замене его идеальным полем векторов и скаляров в пространстве координат.
Эйнштейновское замедление времени – это единственный миф, имеющий реальные основания, а его мифичность состоит в неверной формализации указанного процесса. В частности, она породила миф о парадоксе близнецов, который, конечно же, не может иметь место. Дело в том, что время по Эйнштейну может только замедляться. В действительности же по мере удаления движущегося близнеца его местное время уменьшается, но по мере возвращения – на столько же увеличивается.Часы местного времени, движущиеся вместе со световой волной, вообще стоят, то есть показывают одно и то же время. Это означает, что все процессы в движущихся со скоростью света системах протекают бесконечно долго, если ориентированы на местное время (очевидно, время в движущемся объекте.)
А. Гернек пишет [2]. Из постоянства скорости вытекает один из парадоксов теории относительности, который касается замедления часов в быстро движущихся системах по сравнению с часами, находящимися в системе, покоящейся по отношению к первой. Из этого следует, что космонавт в космическом корабле, который в течение длительного времени с очень большой скоростью летит через Вселенную, при своем возвращении на Землю окажется моложе своего брата близнеца, оставшегося дома. Это объясняется тем, что часы космонавта, а вместе с ними и все физические процессы идут медленнее, чем часы и процессы на Земле.
Согласно А. Н. Матвееву [3], никакого парадокса близнецов не возникает, поскольку в системе координат, связанной с Землей, течение времени в ракете, летящей от Земли замедляется, а в летящей к Земле ускоряется. Интервал времени между событиями, измеренный движущимися часами меньше чем интервал времени между теми же событиями, измеренными покоящимися часами. Это означает, что темп хода движущихся часов замедлен относительно неподвижных.
Д. Джанколи [4] отметил, что время, измеренное наблюдателем на Земле, будет меньше чем время, измеренное на борту космического корабля. Это общий результат специальной теории относительности замедление времени и означает, что движущиеся часы идут медленнее.
В действительности, парадокс близнецов не является парадоксом. Дело в том, что все следствия специальной теории относительности, в частности замедления времени, применимы только к наблюдателю, находящемуся в инерциальной системе отсчета, а космический корабль ускоряется в начале и в конце своего полета.
Как пишет В.Л. Гинзбург [5], одно из первых подтверждений замедления времени было получено в опытах по исследованию мюонов. Если имеет место эффект замедления времени, то среднее время жизни мюона, согласно преобразований Лоренца, должно быть тем больше, чем больше его скорость. Эксперимент подтвердил данный вывод.
Как видно из краткого анализа многими авторами рассматривался “парадокс близнецов” и большинство из них придерживаются выводов А. Эйнштейна по этому вопросу, в той или иной форме видоизменяя его. Поэтому в данной статье рассмотрены некоторые вопросы, по теории относительности А. Эйнштейна и показаны ряд неточностей и ошибок, которые, в конечном итоге, привели к неверным выводам и постулатам этой теории.
Результаты исследования. В работе (6) А. Эйнштейн пишет: Пусть в покоящемся пространстве даны две координатные системы S и S1, каждая с тремя взаимно-перпендикулярными осями, выходящими из одной точки.
Пусть оси Х обоих систем совпадают, а оси Y и Z соответственно параллельны. Пусть часы в системе S1 идут синхронно с часами покоящейся системы, т.е. показания их соответствуют “времени покоящейся системы” в тех местах, в которых эти часы как раз находятся и, следовательно, стрелки этих часов, по выражению А. Ейнштейна, должны занимать одно и тоже положение. Каждому набору значений х, y, z, t, которые полностью определяют место и время события в покоящейся системе, соответствуют значения
, устанавливающие это событие в движущейся системе.
Далее А. Эйнштейн пишет. Пусть координатной системе S1 сообщается постоянная скорость v в направлении возрастания значений х в другой покоящейся систем S . Из начала координат О системы S1 в момент времени
посылается луч света вдоль оси Х в точку х1 и отражается оттуда в момент времени
назад, в начало координат, куда он приходит в момент времени
Тогда должно существовать соотношение,
или, выписывая аргументы функции
и применяя принцип постоянства скорости света в покоящейся системе, после некоторых преобразований, имеем
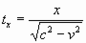
где х1 - координата точки , находящейся на оси Х движущейся системы;
с- скорость луча света;
v-скорость движения системы S1;
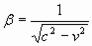
-показания часов, покоящихся в системе S1.
Как следует из [6], относительно начала координат системы S1 луч света при измерении, проведенном в покоящейся системе, движется со скоростью
, вследствие чего время движения луча света к точке х1 при измерении, проведенном из покоящейся системы.
,
в связи с чем уравнение (2) преобразуется к виду
Равенство (1) было бы выполнимо при условии что, луч света распространяется в покоящейся системе, в которой время движения этого луча от начала координат к точке x1 и обратно к началу координат одинаково.
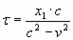
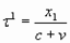
Однако, луч света распространяется в движущейся системе S1, в которой он движется от начала координат этой системы к точке x1 со скоростью ( c-v), а затем от x1 к началу координат со скоростью (c+v ). Поэтому, время движения луча из О к точке х1, равное
, не равно времени движения луча из х1 к началу координат О, то есть
и , следовательно, 1/2
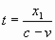
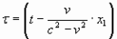
Результирующее время движения луча от начала координат этой системы к точке x1 и обратно к началу координат
а время движения луча от x1 к началу координат.
В связи с этим должно существовать соотношение
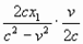
и, поэтому, необходимо записать
или
Откуда, получается, что
, т.е.
не является функцией координат движущейся системы и не изменяется в этой системе.
По мнению ученых [9] время является одним из видов энергии, которая способствует жизненным процессам и не есть понятие производное, а поэтому не может быть ни доказано, ни анализируемо. Время есть нечто всецело созданное нашим мышлением. Т.е., согласно этому высказыванию нельзя брать производную времени по координате или тем более по времени.
Очевидно, время можно представить полем, которое изменяется в пространстве по соответствующим законам. При движении тел в этом поле, оно может оказывать соответствующее влияние на физические и физиологические процессы, протекающие в этих телах, замедляя или ускоряя их.
Причем, вопреки законам физики, А. Эйнштейном было принято [8], что вдоль оси Х также как и вдоль осей Y и Z, движущейся системы, при условии параллельности осей Х систем S и S1, и при измерении, проведенном из покоящейся системы. луч света распространяется еще и со скоростью
. Тогда, согласно А. Эйнштейну, время движения луча света вдоль этой оси
.
На основании этого предположения и равенства (2) для определения временной зависимости события, происходящего в системах S1 и S по оси Х, при условии, что оси Y и Z этих систем в момент времени t параллельны между собой, а оси Х обоих систем совпадают, А. Эйнштейн, предложил выражения
или при х=0
где
- коэффициент, характеризующий составляющие скоростей луча света на оси Y и Z
Если проанализировать уравнения (2) и (3), то выражение
, которое можно привести к виду
, характеризует время движения луча от начала координат системы S1 к точке х1 со скоростью (c-v) и обратно, от х1 к началу координат этой же системы со скоростью (c+v).
Причем, как следует из уравнений (3) и (9) при определении
А. Эйнштейн исходил из двух различных предпосылок. В равенстве (3) скорость луча света принималась равной (с-v) и (с+v), в зависимости от его направления, а в уравнении (9) при определении одного и того же времени
,скорость этого же луча принималась равной
.
Кроме того, необходимо еще отметить, что все уравнения выводились
А. Эйнштейном, исходя из равенства
, которое выполнимо только при движении луча света в неподвижной системе, когда его скорость к точке х1 и обратно от х1 к началу координат будет одинаковой. Но так как А. Эйнштейн рассматривал свою теорию при условии, что луч света распространяется в движущейся системе только в направлении оси Х в сторону возрастания координат, то применение равенства (2) приводит к ошибочным выводам.
Поэтому, как следует из приведенного анализа,
не определяет время движения луча света в движущейся системе вдоль оси Х в сторону возрастания координат при измерении, проведенном в движущейся системе, как это предлагалось А. Эйнштейном, .
Характеристики
Тип файла документ
Документы такого типа открываются такими программами, как Microsoft Office Word на компьютерах Windows, Apple Pages на компьютерах Mac, Open Office - бесплатная альтернатива на различных платформах, в том числе Linux. Наиболее простым и современным решением будут Google документы, так как открываются онлайн без скачивания прямо в браузере на любой платформе. Существуют российские качественные аналоги, например от Яндекса.
Будьте внимательны на мобильных устройствах, так как там используются упрощённый функционал даже в официальном приложении от Microsoft, поэтому для просмотра скачивайте PDF-версию. А если нужно редактировать файл, то используйте оригинальный файл.
Файлы такого типа обычно разбиты на страницы, а текст может быть форматированным (жирный, курсив, выбор шрифта, таблицы и т.п.), а также в него можно добавлять изображения. Формат идеально подходит для рефератов, докладов и РПЗ курсовых проектов, которые необходимо распечатать. Кстати перед печатью также сохраняйте файл в PDF, так как принтер может начудить со шрифтами.
















