84958 (763928), страница 3
Текст из файла (страница 3)
Из 2) и 3) можно получить
и далее:
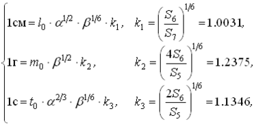
1 см » l0 × a 1/2 × b 1/6,
1 г » m0 × b 1/2, (*)
1 с » t0 × a 2/3 × b 1/6.
Отсюда можно получить приближенные значения констант:
- не зависит от b .
Более точные значения констант можно получить, домножив (*) на константы, близкие к 1, а именно:
где S5, S6, S7 – площади единичных сфер в 6-ти, 7-ми и 8-ми мерном пространстве. С учетом этого получим:
где
.
4. Альтернативный способ представления элементарных частиц или что такое “цвет” кварка.
Как видно из таблицы 1 электрон представляет собой частицу, образованную двойным движением (n = 0, mвирт = 7× 1020me). В свою очередь, m = 7× 1020me при n = 12 “образована” движением частицы mвирт = 2× 10-42me. Радиус одного “внутреннего” движения равен ~ 10-31 см, а радиус “внешнего” движения
~ 10-10 см.
Для электрона возможны четыре варианта структуры двойного движения. Обозначим их схематично следующим образом:
где стрелка внизу показывает направление внутреннего движения от центра или к центру, верхняя стрелка, соответственно, направление внешнего движения. Представим эти структуры, как лептоны нулевого уровня и присвоим им соответствующие значения лептонного заряда L.
Для промежуточных бозонов W± и Z0, (n = 6) структура будет следующей:
Для составных частиц, например нуклонов, структура будет выглядеть следующим образом:
где u и d кварки можно представить как
а число n0 определяет “цвет” кварка. Кварк d имеет цвета
, а кварк
– цвета
.
Можно составить 4 комбинации из 4-х по 3 для нуклонов и антинуклонов.
Цвет e- и ve имеет одинаковое лептонное число L = 1, но разные зарядовые состояния.
.
(распад d- кварка цвета “
” на u-кварк цвета “ve” и
- бозон, т.е.
).
Массу протона и нейтрона можно выразить как
Где
и L = 1 для нуклона, n1 = 1, n2 = 2 – для протона, n1 = 2, n2 = 1– для нейтрона.
В итоге получаем
что более чем в 3 раза превышает массу нуклона. Таким образом, более 2/3 этой энергии является энергией связи кварков в нуклоне. 1/3 этой энергии за вычетом энергии связи одного пиона (~ 150 Мэв, 300 me) даст массу нуклона.
Для p - мезонов имеем следующую структуру:
Для массы p + и p -соответственно:
что в 2 раза превышает массу нуклона, таким образом,1/2 этой энергии является энергией связи кварков в мезоне.
Разность
может иметь значение 1 для нуклона, либо 0 для мезона.
Распад пиона идет по схеме:
Мюон и мюонное нейтрино обладают следующей бескварковой “структурой”:
Распад мюона идет по схеме:
.
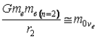
Электронное нейтрино обретает массу покоя и покидает частицу в момент переходов
(см. рисунок для нуклонов). Оценка массы покоя нейтрино, как изменение гравитационной энергии виртуальной частицы mв = 1.3 × 1019 me (n = 2) в поле тяготения электрона
, где r2 ~ 2.5 × 10-31 см дает значения для
порядка 1.8 эв.
Масса покоя vm и vt практически не отличается от
, если не учитывать поправок, вносимых mвирт 4,5 (n = 4,5), а именно,
5. Космологическая постоянная (плотность вакуума)
и соотношение космических энергий
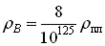
Обнаруженная в последних астрономических наблюдениях, величина плотности вакуума составляет
,
Где r пл – плотность Планка.
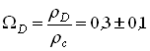
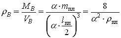
Из вышесказанного (см. раздел 2), можно выразить плотность барионного вещества следующим образом:
,
Где a = e144 @ 3.5× 1062, т.е.
, что в 25 раз меньше вышеуказанной плотности вакуума.
Однако, следует отметить, что величина r V не постоянная. Она не меняется вплоть до размеров ~ 1031 см, но затем будет убывать как
.
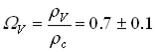
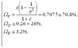
Согласно данных тех же наблюдений, отношение плотности вакуума к критической плотности, т.е. его вклад в общую массу, составляет
вклад темного вещества галактик составил
а вклад барионов равен
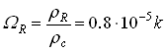
Наконец, вклад четвертой компоненты космической среды – излучения или ультрарелятивистской среды равен
Попытаемся объяснить данные соотношения, основываясь на положениях вышеуказанной гипотезы.
Обратимся вновь к таблице 1. положим, что при n = 12 частицы размером
~ 1031 см создают поле отталкивания (кривизна пространства отрицательна). Это и есть так называемый вакуум. При n = 11, частицы размером ~ 1021 см создают поле притяжения (кривизна пространства положительна). Это и есть так называемое темное вещество галактик.
При n = 10 частицы размером ~ 1013 см также создают поле отталкивания (кривизна отрицательна). Это поля, ответственные за возникновение планетарных систем (допланетного облака).
При n < 10 это чередование продолжается. Возможно, эти частицы (поля) ответственны за формирование протопланетных тел астероидных размеров из допланетного облака (n = 9), за наноэффекты (силы Казимира) при n = 8, и за синтез тяжелых элементов при n = 7.
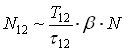
Оценим грубо число и общую массу этих частиц (n = 12, 11, 10), возникающих в момент Большого Взрыва:
,
где T12 – время t0 до окончания данной стадии (эры);
T12 ~ 10-6 c, t 12 ~ 33.1× t пл = 1.7× 10-42 c,
t 12 – характерное время процесса (рождение частиц),
b = 1.3× 109 – множитель барионной асимметрии, т.к. процесс происходит до аннигиляции барионов,
N = 4.4× 1081 – число барионов (кварков), участвующих в процессах
кварк « лептон,
Аналогично для n = 11 (переходы кварк « барион, адронная эра)
Для n = 10 (переходы n « p , лептонная эра)
(10-20с = t ew – время электрослабых процессов)
(коэффициент b не участвует).
Поскольку массы этих частиц – полей соотносятся как
то их общий вклад будет относится как
Вернемся к рассмотрению барионов. Барион – это не просто 5-ти сфера размером ~ 10-31 см. Это частица вещества, имеющая поля сильного, кулоновского и слабого взаимодействия. Для 5-ти сферы (пространство внутри шестимерно и включает 3 + 1 + масса + спин) площадь поверхности составляет
,
т.е. коэффициент компактификации или свертывания равен 31. Окружающий барионы вакуум пятимерен (3+1+ масса или кривизна).
Таким образом, можно предположить, что кривизна пространства после распада вещества будет полностью компенсирована, поскольку изначально суммарная кривизна равна нулю, т.е. барионы, составляющие
часть всей массы Вселенной или 3.2%, при распаде (т.е. уменьшение их размерности на 1) должны “аннигилировать с пространством”. Нарушение зеркальной симметрии или четности служит проявлением этого эффекта при распаде частиц материи. Для обеспечения компенсации общей кривизны, поля притяжения и отталкивания в барионах должны находится (энергетически и интегрально) в одинаковых пропорциях с соответствующими полями Вселенной.
Вселенная электрически нейтральна, т.е. электрический заряд в ней полностью компенсирован. Не компенсирован барионный заряд.
Обратимся вновь к таблице 1. Положим, что при n =1 кварк
создает поле притяжения, а при n = 2 кварк
создает поле отталкивания. При n = 3 кварк
также создает поле притяжения. Таким образом, u и d кварк могут образовывать комбинацию, при которой размер области притяжения
превысит размер области отталкивания
, а величина потенциала отталкивания (т.е. кор. (core) или сердцевина) превышает потенциал притяжения
раз (см. “Физика космоса”, энциклопедия, с.765-766, 1986 г.).
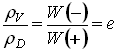
Поскольку суммарная кривизна Вселенной равна нулю, а пространство (космические энергии) служит “антивеществом” для барионов можно написать пропорцию:
.
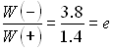
Константа слабого взаимодействия на 5 порядков меньше константы сильного, что отвечает соотношению
.
Таким образом, не учитывая вклад r R, можно приблизительно записать:
Отсюда получаем
что соответствует данным, полученным экспериментально.
Заключение
В изложенной выше статье сделана попытка связать воедино закономерности, управляющие миром элементарных частиц и Вселенной в целом. Стандартная модель (СМ) элементарных частиц не плохо описывает имеющиеся экспериментальные факты. Однако, она постулирует значения масс частиц и не использует принципов, объясняющих соотношение этих масс, а следовательно, является в большей мере описательной теорией, развитие которой продвигалось ранее лишь вдогонку за экспериментом. Думается, что она также неизбежно столкнется с трудностями объяснения фактов, которые возникнут при дальнейшем повышении энергии коллайдеров. к ним относятся безуспешные поиски бозонов Хиггса и обнаружение новых частиц в диапазоне энергии порядка 6 Тэв.
Поиск экзотических массивных частиц, образующих темную материю в окружающем пространстве, тоже вряд ли приведет к успеху, поскольку, как видно из вышесказанного, эта материя и есть окружающее пространство с определенной плотностью энергии.
В завершение можно сказать, что данная статья конечно не является фундаментальной теорией описывающей все возможные свойства элементарных частиц и Вселенной в целом. В ней высказана гипотеза, подтверждающая ряд известных фактов. Возможно, некоторый синтез стандартной модели элементарных частиц, современной космологии и вышеизложенной гипотезы помог бы продвинуться далее в понимании проблемы.
Список литературы
Для подготовки данной работы были использованы материалы с сайта http://www.sciteclibrary.ru
, 














