84958 (763928), страница 2
Текст из файла (страница 2)
.
Также соотносятся и массы соответствующих b и c-кварков:
.
Таким образом, можно предположить, что J/Y частица (или
) есть t состояние p -мезона, а g - частица (или
) есть t состояние K- мезона. D и B-мезоны – есть комбинации соответствующих c и b кварков с кваркими m - состояния.
Из табл. 1 видно, что при n = 6 масса виртуальной частицы равна массе наблюдаемой. Масса виртуальной частицы при n = 0 равна массе наблюдаемой при n = 12 (7× 1020 me). Эти частицы (n = 6, n = 12) являются соответственно W и X – бозонами. t-кварк представляетW- состояние K- мезона. W – состояние p - мезона, так же как и состояния с n = 3 в виде частиц не реализуются.
Отметим также, что отношения масс адронов того же порядка, что и отношение масс m , t и w состояний
;
.
Элементарные частицы, в соответствии с их квантовыми состояниями, можно расположить в виде таблицы 2. Из нее видно, что частица – это комбинация двух или более состояний (кроме электрона). Частица с одним или двумя квантовыми уровнями – слабовзаимодействующие.
Частицы с тремя и более уровнями – адроны.
При дальнейшем увеличении энергии коллайдеров можно ожидать появления массивного лептона следующего ранга (n = 7) с массой около 6 Тэв.
Вернемся к таблице №1. Как предполагалось выше, электрон – есть структура, “состоящая” из виртуальной частицы массой m0 (самая тяжелая после mпл,
n = 12, m =7× 1020 me), “движущейся” в радиусе r0 ~ 10-31 см. Сама же частица m0 “образуема” ореолом из легчайшей частицы массой 2× 10-42me, “движущейся” в радиусе r12.
Вычислим 2r12 или комптоновскую длину волны электрона:
, (4)
где
.
С другой стороны, комптоновская длина волны электрона равна
.
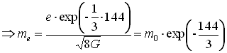
Приравняв это значение к (4), получим:
,
где
- магнитный монополь (e- заряд электрона, G – гравитационная постоянная).
В итоге получим:
.
Итак, при n = 12 2r12 @ 2.4× 10-10 см, что соответствует комптоновской длине волны электрона.
При n = 11 2r11 @ 1.2× 10-13 см получаем характерный масштаб сильного взаимодействия.
Масса тяжелых частиц, при которых происходит так называемое “великое” объединение и которые определяют время жизни протона равна 3.3× 1017 me или 1014 ¸ 1015 Гэв.
При n = 10 2r10 @ 10-16 см получаем характерный масштаб слабого взаимодействия.
Итак, масса самой тяжелой m0 или c - частицы
7× 1020 me. Она выше, чем масса “великого” объединения. масса наилегчайшей частицы 2× 10-42 me. Таким образом, “динамический диапазон” спектра масс составляет 3.5× 1062 = e144. Назовем эту константу a или постоянной инфляции. О ней речь пойдет далее.
А пока стоит заметить, что для макромасштабов (например, для Земли) формула (1) будет выглядеть:
,
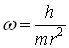
где Q – наведенный заряд, m – масса тела, имеющего радиальную составляющую скорости
во вращающемся с частотой w поле тяготения массивного тела с потенциалом
- квадрат скорости убегания, g0 – ускорение свободного падения на поверхности массивного вращающегося тела. При подстановке
,
,
,
, Q = e,
получим формулу (1). По-видимому, этот механизм носит универсальный характер и ответственен за электромагнитные эффекты, возникающие при радиальном движении тел во вращающемся поле тяготения массивного объекта.
В интегральной форме это можно выразить как:
или
где
- потенциал, L- момент вращения, а W – электромагнитная энергия.
Это означает, что изменение момента вращения внутри поверхности S вызывает поток электромагнитной энергии через эту поверхность.
2. О связи микро и макромасштабов и возможном сценарии развития Вселенной
1. Если вышеупомянутое число e144 @ 3.5× 1062 обозначить a , то связь между радиусом Вселенной и Планковской длиной будет:
a × lпл = RB @ 3× 1029 см,
а между массой Вселенной и массой Планка – соответственно:
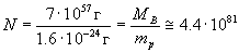
a × mпл = MB @ 1057 г.
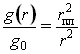
2. Если максимально возможная плотность вещества – это
(то есть масса Планка на квант пространства), то, если предположить, что минимальная плотность – это
, то есть, наоборот, квант массы приходится на весь “диапазон” пространства, получим:
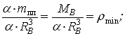
;
,
тогда для массы Вселенной:
- критический радиус.
.
Этот размер совпадает со временем жизни протона, умноженным на скорость света:
,
.
3. В момент возникновения вселенной период экспоненциального расширения (инфляция) – размер и масса (как одно из измерений) шестимерного образования (элемент Планка) возрастают в a = e144 раз. То есть
,
.
,
.
В то же время происходит распад шестисферы Планка на c - частицы (n=12) с массой
, то есть происходит разделение 6-ти равноправных измерений на вещество и пространство-время.
Отношение массы Планка к массе c - частицы равно
,
где
- постоянная тонкой структуры (не путать с a - постоянной инфляции).
Площадь 6-ти сферы в 7-ми мерном пространстве равна
,
то есть шестисфера Планка “включает”
c - частиц (так как масса – одно из измерений).
- это фундаментальная константа космологии определяет барионную асимметрию Вселенной (отношение числа фотонов реликтового излучения к числу барионов в единице объема).
По-другому, из экспериментальных данных, постоянную b можно вычислить как:
,
где nB – плотность барионов
- современная оценка из астрономических данных.
V = (2.5 × 1029 см)3 @ 1.5 × 1088 см3
- объем Вселенной.
- число барионов (mp – масса протона).
- плотность фотонов реликтового излучения.
То есть величина, полученная выше, совпадает с оценкой, основанной на наблюдениях.
4. Итак, при n = 12 на первом этапе рождения материи при E ~ 1017 Гэв в течение первых 10-6 с (доадронная эра), происходят переход кварк « лептон, сопровождающиеся рождением легчайших частиц в количестве
где
- характерное время процесса (рождение частиц).
При снижении энергии до 3.3× 1017me ~ 1014Гэв (энергии объединения электро-слабого и сильного взаимодействия n = 11 (см. таб 1)) происходит рождение-распад барионов. При сверхвысоких температурах и плотностях характерное время процесса рождения-распада бариона в кварк-барионной плазме может быть порядка 10-28 – 10-29 с. согласно современным представлениям, этот процесс продолжается около 10-4с от начала взрыва до температуры 1013К.
Каждый акт рождения-распада бариона сопровождается появлением легкой частицы
n = 11; m = 2× 10-32me; r = 1021 ¸ 1022 см (см. табл. 1).
Общее количество таких легких частиц составит:
.
Множитель b имеет место, поскольку аннигиляция антибарионов происходит после.
Учитывая, что масса этих частиц в 1010 раз больше массы легких частиц (n = 12, r = 1031 см), получим, что их общая масса превышает массу вещества (барионов) Вселенной. По-видимому это и есть скрытая масса (невидимое гало галактик).
По аналогии можно предположить, что при переходах следующего уровня (n = 10, слабое взаимодействие), например, при нейтронизации звезд и вспышках сверхновых также происходит рождение большого числа легких частиц (n = 10, r = 1012 ¸ 1013 см), способствующих выбросу тяжелых элементов и образованию планетных систем.
3. О связи мировых констант и чисел a и b
Как указывалось выше, число a - есть константа инфляции e144 @ 3.5× 1062. Число b или космологическая величина, характеризующая степень барионной асимметрии Вселенной, равна отношению числа реликтовых фотонов к числу барионов
Из многомерной геометрии известно, что поверхность 6-ти сферы равна
(при этом размерность пространства n = 7). Поверхности 5-ти и 7-ми сфер равны, соответственно
,
. Следует отметить, что поверхность S6 имеет максимальный коэффициент 33.07 для всех значений Sn.
Если предположить, что наряду с инфляцией происходит распад 6-ти сферы Планка на сферы радиусом
(то есть рождение вещества - c -проточастиц с массой в 33.1 меньше Планковской), то их количество будет равно
(33.07)6 @ 1.3× 109 = b .
Физические величины, в том числе и мировые константы, выражаются в системе единиц: см, г, с (СГС), которая является симметричной Гауссовской системой единиц, в которой в частности, e 0 = m 0 = 1. можно предположить, что существует связь между этими единицами измерения физических величин и “большими” числами a и b , которые как бы задают масштабы, диапазоны их изменений.
Если изобразить три шкалы – времени, плотности и массы во всем “диапазоне” значений от минимального до максимального – получим
tmin = t0 = tпл @ 5× 10-44c; tmax = t0 × a 4/3× b 2/6 @ 2× 10 43c, причем t0 × a 4/3 – это время жизни нуклонов (барионов) (~ 1040с), а tmax – время жизни лептонов, задаваемое массой c - частицы n = 12.
.
3) m0 = mпл;
- масса легчайшей частицы (n = 12);
- масса Вселенной в “адронную эру” до аннигиляции (10-4с);















