84766 (763865)
Текст из файла
Исследование заряженных аэрозолей электрооптическим методом
Сушко К.Б.
Значительная доля пылевых частиц, находящихся в реальной атмосфере, в космическом пространстве или в искусственных аэродисперсных системах, имеют несферическую форму и несут на себе электрический заряд. Под действием аэродинамических, электрических, магнитных или гравитационных полей несферические частицы могут приобретать определенную ориентацию в пространстве.
Зарядка аэрозольных частиц, находящихся в униполярной ионной атмосфере в отсутствие внешнего электрического поля, полностью определяется тепловой диффузией ионов, движущихся через дисперсионную среду по направлению к частице. Ионы присоединяются к заряжаемой частице до тех пор, пока возрастающая в процессе зарядки кулоновская сила отталкивания не уменьшит вероятность дальнейшего заряжения до исчезающе малой величины. Броуновским движением самих частиц при описании процесса зарядки обычно пренебрегают, так как масса аэрозолей намного превышает массу ионов. Простая теория процесса униполярной диффузионной зарядки аэрозольных частиц в слабых электрических полях с исчезающе малой напряженностью разработана Арендтом и Кальманом [1]. Ими найдено, что скорость зарядки частицы прямо пропорциональна площади ее поверхности, а также плотности объемного заряда ионов. Заряд частицы
при этом возрастает со временем по логарифмическому закону :
где r - радиус частицы, mi - масса иона, k - постоянная Больцмана, ni - концентрация ионов, qi - заряд иона, T - абсолютная температура.
В связи с тем, что после первых секунд зарядки частица приобретает заряд, близкий к предельному, при практических подсчетах пользуются формулой для максимального заряда:
где A - коэффициент, зависящий от концентрации ионов. При ni=108 см-3, T=3000 С, t=1 с, A=1.
Необходимая для расчета заряда аэрозолей величина диффузионного потока униполярных ионов на частицу была впервые рассчитана в работах Фукса [2]. Им показано, что среднее значение заряда не зависит от присутствия газообразных примесей в зоне зарядки и определяется произведением проводимости газа в зоне зарядки на время зарядки частиц. Хорошее согласие теории Фукса с экспериментом наблюдается в диапазоне размеров частиц 0,03 0,1 мкм.
Уайт опубликовал теоретическое исследование процессов ударной и диффузионной зарядки [3]. Он вывел уравнения, которые в настоящее время признаются классическими. Согласно Уайту, уравнение диффузионной зарядки имеет вид:
где n - количество зарядов на частице; q - мгновенный заряд частицы; a - радиус частицы; N0 - плотность свободных ионов;
- среднеквадратичная скорость теплового движения; t - время зарядки частицы.
Средний заряд частицы может быть определен из формулы:
В работе [4] на основе системы кинетических уравнений типа уравнения Больцмана проведено теоретическое исследование процесса униполярной диффузионной зарядки монодисперсного аэрозоля, находящегося в ионной атмосфере, и найдено стационарное распределение заряда на частицах.
На базе независимых уравнений Больцмана для нейтральных молекул и ионов разработана теория униполярной диффузионной зарядки мелких аэрозольных частиц [5, 6]. Получены кинетические уравнения, описывающие зарядку частиц при больших и промежуточных числах Кнудсена. Значения безразмерного заряда частиц ne/rkT получены как функция от безразмерного времени зарядки
где V - средняя тепловая скорость движения ионов, N - концентрация ионов вдали от частицы. Решения получены без учета потенциала зеркального заряда. Учет влияния зеркальных сил при зарядке очень мелких частиц может быть произведен с помощью критерия минимального потока [6], для чего находится концентричная с заряжаемой частицей сфера, поток ионов через которую окажется минимальным. Учет влияния зеркальных зарядов при униполярной диффузионной зарядке произведен также в работе [7], при этом утверждается, что не учитывающая зеркальных сил формула Уайта дает заниженные вдвое значения заряда.
Лиу и Йе опубликовали достаточно простую теорию униполярной диффузионной зарядки [8]. Ими решено уравнение диффузии ионов к заряженной частице для двух режимов зарядки:
для чисто диффузионного механизма,
для диффузионного механизма, осложненного ударной зарядкой в электрическом поле.
Теория учитывает зеркальный потенциал и броуновское движение аэрозолей, а также диффузию ионов и их движение в электрическом поле. Теория хорошо согласуется с экспериментальными данными при условии, что электрическая подвижность ионов равна 1,1 10-4 м2/В сек. Такой подвижностью обладают ионные комплексы, состоящие из 16 молекул. Однако в работах других авторов [9] приводятся значения электрической подвижности, которые в 1,5-2 раза больше, чем принято Лиу и Йе.
Изучение особенностей зарядки несферических аэрозольных частиц произвольной формы представляет значительный интерес для возможного повышения эффективности улавливания аэрозолей с помощью электрофильтров, нанесения защитных покрытий, а также в других применениях электронно-ионных технологий. Первое теоретическое исследование процесса диффузионной зарядки частиц неправильной формы с размерами >10-5 см проведено Cедуновым [10]. Он показал, что распределение частиц по зарядам при установившемся статистическом равновесии подчиняется Гауссову закону. Дисперсия распределения частиц определяется соотношением их тепловой и электростатической энергий, морфологические различия частиц оказывают влияние на значение электростатической энергии только через фактор электрической емкости. При рассмотрении процессов зарядки особенности формы несферических частиц ранее обычно не принимались во внимание, поскольку было экспериментально показано, что значение удельного поверхностного заряда частиц мало зависит от их формы, а определяется характерными размерами частиц. Так, в пределах погрешности эксперимента совпадали значения зарядов цилиндрической и эллипсоидальной частиц с одинаковыми характерными размерами. Поэтому частица произвольной формы при расчетах заменялась двух- или трехосным эллипсоидом. Процесс ударной зарядки трехосного диэлектрического эллипсоида рассмотрен в [11]. Получена формула, выражающая кинетику процесса заряжения частицы, ориентированной большой полуосью f вдоль электрического поля E, которая аналогична формуле Потенье для крупных частиц; при этом:
где
Для произвольно ориентированной частицы значение заряда Q находится по формуле:
где значения зарядов Qmax B и Qmax C определяются аналогично Qmax A, при этом вместо значения E0 берется значение проекции вектора напряженности электрического поля на соответствующую ось.
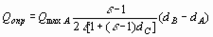
Мирзабекян рассмотрел процесс ударного заряжения сильно вытянутых диэлектрических эллипсоидов в электрическом поле и показал, что в этом случае процесс зарядки осложняется периодическим опрокидыванием частицы под действием момента сил, возникающих вследствие того, что заряжающие ионы попадают лишь на часть поверхности эллипсоида, которая обращена навстречу полю. Значение заряда Qопр частицы, при котором происходит ее опрокидывание, находится по формуле:
где
Опрокидывание диэлектрического эллипсоида происходит лишь в том случае, когда значения его поверхностного и объемного сопротивлений весьма значительны, а время растекания заряда по поверхности эллипсоида больше, чем время получения заряда Qопр. Образование на поверхности частицы гидратной оболочки резко снижает значение ее поверхностного сопротивления и меняет картину заряжения частицы.
Вомела и Уитби рассмотрели вопрос о заряжении частиц сложной формы (цепочечные и гроздеобразные агрегаты) [12] и показали несоответствие значений зарядов, полученных экспериментально и рассчитанных для сферической частицы с эквивалентным объемом. Заряд агрегатированных частиц в этом случае примерно на 70 % превышает заряд сферической частицы с диаметром порядка 0,05 мкм. Об аналогичном повышении значения заряда частицы по мере усложнения ее поверхности сообщали также и другие авторы.
Существует определенная зависимость между зарядом аэрозольных частиц и их оптическими свойствами. Так, Лушниковым с соавторами теоретически исследовано рассеяние электромагнитных волн заряженными аэрозольными частицами [13]. Ими найдено, что в тех случаях, когда носители заряда могут свободно передвигаться по поверхности частицы, в спектрах электромагнитной энергии, рассеянной и поглощенной частицами, должны появляться специфические плазменные резонансы, обусловленные собственными колебаниями двумерного электронного газа на поверхности. Показано, что наличие у частицы избыточного заряда должно привести к значительному увеличению сечения упругого рассеяния электромагнитного излучения в области длин волн плазменных резонансов (
=10-40,1 м). Описанный эффект может наблюдаться на отрицательно заряженных аэрозольных частицах, у которых избыточные электроны выходят на поверхность частицы.
Рис. 1. Блок-схема устройства для униполярной зарядки аэрозольных частиц.
Существует целый ряд способов для приобретения электрического заряда аэрозолями. Наиболее эффективным из них является способ зарядки частиц с помощью униполярного коронного разряда, позволяющий достичь предельно допустимых значений заряда. Зарядное устройство, используемое нами для электризации аэродисперсных частиц, подобно устройству, описанному Гевиттом [14]. Его блок-схема изображена на рис. 1. Проволочный коронирующий электрод 1 устройства расположен вдоль оси цилиндрического электрода 2, при этом часть поверхности цилиндра образована металлической сеткой 3, к которой снаружи примыкает канал зарядного объема. Этот канал, в свою очередь, образован изоляционными стенками 4 и электродом вытягивающего поля 5, представляющим собой часть цилиндрической поверхности большего радиуса, расположенной соосно с цилиндрическим электродом 2.
Заряжаемые аэрозоли из генератора аэрозолей 6 поступают в канал зарядного объема, образованный заземленной сеткой 3 и электродом вытягивающего поля 5. Газовые ионы, образующиеся в зоне коронного разряда между электродами 1 и 2, при подаче на них высокого напряжения от источника 8 через заземленную сетку 3 вытягиваются электрическим полем источника 7 в зарядный объем, где вследствие упорядоченного движения ионов происходит зарядка аэрозольных частиц. В схеме использованы следующие приборы: 7 - источник вытягивающего поля – блок питания Б1-4; 8 - источник высокого напряжения (013 кВ) типа БП 13-0,5; 9 - микроамперметр (050 мкА) типа М-494 для контроля тока коронного разряда.
Характеристики
Тип файла документ
Документы такого типа открываются такими программами, как Microsoft Office Word на компьютерах Windows, Apple Pages на компьютерах Mac, Open Office - бесплатная альтернатива на различных платформах, в том числе Linux. Наиболее простым и современным решением будут Google документы, так как открываются онлайн без скачивания прямо в браузере на любой платформе. Существуют российские качественные аналоги, например от Яндекса.
Будьте внимательны на мобильных устройствах, так как там используются упрощённый функционал даже в официальном приложении от Microsoft, поэтому для просмотра скачивайте PDF-версию. А если нужно редактировать файл, то используйте оригинальный файл.
Файлы такого типа обычно разбиты на страницы, а текст может быть форматированным (жирный, курсив, выбор шрифта, таблицы и т.п.), а также в него можно добавлять изображения. Формат идеально подходит для рефератов, докладов и РПЗ курсовых проектов, которые необходимо распечатать. Кстати перед печатью также сохраняйте файл в PDF, так как принтер может начудить со шрифтами.















