12165 (761198)
Текст из файла
Фотоотверждаемые композиции для волоконных световодов
Батталов Э.М., Прочухан Ю.А.
Интенсивное развитие новых технологий потребовало создания специальных покрытий для защиты оптического волокна от внешних физико-химических воздействий.
В начале разработок систем связи на волоконно-оптических элементах (1965-1979 гг.) выбор материалов для покрытий оптических волокон был весьма ограничен и включал в себя в основном такие материалы, как тефлон, лаки, полиолефины, силоксановые эластомеры. Для нанесения таких материалов требуется достаточно сложное технологическое оборудование (экструдеры, специальные термопечи и др.), и сам процесс довольно длителен. В 1980-е гг. сотрудниками фирмы GAF Corp., AT Bell Labor., Eastm. Kod. Co, работающими над созданием полимерных покрытий, были получены различные составы олигомеров, чрезвычайно быстро отверждающиеся под УФ-облучением. Это привело к упрощению технологии производства волоконных световодов и существенному снижению затрат.
УФ-отверждаемая композиция для оптических волокон должна отвечать следующим требованиям: не содержать высоколетучих токсичных компонентов, обладать требуемой вязкостью, быть однокомпонентной, иметь незначительную усадку в результате полимеризации. Покрытие на основе такой композиции должно наноситься на оптическое волокно в процессе вытяжки со скоростями более 30 м в минуту, обеспечивать его механическую прочность и работоспособность в широком интервале температур. Материал на основе фотоотверждаемых композиций не должен влиять на передаточные характеристики оптического волокна, что может быть вызвано, например, усадкой при полимеризации, неоднородностью структуры, недостаточной устойчивостью к механическим, химическим, термическим условиям эксплуатации. Фотоотверждаемые композиции имеют большое будущее и в других областях науки и техники (например, для офсетных красок, оптических дисков, декоративных материалов и др.). Однако удельный вес фотоотверждаемых композиций, по сравнению с другими полимерами, пока невелик. Мировое потребление покрывных материалов составляет 20 млн. тонн в год, и при этом ежегодно в атмосферу выбрасываются 8 млн. тонн растворителей. Альтернативные экологические лакокрасочные материалы, отверждаемые под действием излучения (УФ и электронного), занимают меньше 1 % от общей массы [1].
В настоящей работе приведены данные, касающиеся химии и технологии фотоотверждающихся композиций, нашедших применение в производстве оптических световодов.
Такие свойства оптических волокон (0В), как, например, оптические потери за счет микроизгибов, дифференциальных механических и температурных изменений, стойкость к воздействию факторов окружающей среды, прочность на разрыв, во многом определяются типом защитного покрытия [2].
Основным материалом 0В является кварцевое стекло. Теоретически оно является одним из наиболее прочных материалов (14000 Н/мм2), но на практике такая прочность редко реализуется из-за чрезвычайно быстрой деградации поверхности стекла, в частности, вследствие развития микротрещин [3, 4]. Поэтому в процессе формирования оптического волокна защитное покрытие должно наноситься на 0В в течение 1-2 секунд (и менее). Первые покрытия для 0В представляли собой силиконовые масла, целлюлозные лаки, полиуретаны, силиконовые каучуки [4], эластомеры горячего плавления [5] и некоторые другие [6-12]. Большинство этих материалов не обеспечивало достаточно эффективной защиты 0В и ограничивало скорость нанесения покрытия. Указанные трудности были успешно преодолены благодаря внедрению композиций, полимеризующихся под действием УФ-облучения.
УФ-отверждение является фотохимическим процессом, при котором мономеры (олигомеры) подвергаются полимеризации и (или) сшиванию. УФ-полимеризуемые композиции содержат фотоинициатор (сенсибилизатор), который поглощает УФ-энергию и инициирует полимеризацию мономеров [13]. Скорость фотополимеризации зависит от нескольких факторов [14]:
от химического строения соединений, входящих в состав композиции: каждый мономер (олигомер) отверждается с различной скоростью, связанной с его реакционной способностью, а также с количеством и активностью фотоинициатора (сенсибилизатора);
от толщины слоя покрытия: чем толще слой, тем больше время его экспозиции под УФ-облучением. К тому же количество поглощенной энергии света падает экспоненциально с глубиной отверждаемого слоя. Например, если слой толщиной 1 мм поглощает 90 % падающей энергии, то следующий слой в 1 мм поглощает уже 90% остатка, то есть 9 % исходного количества энергии. Чтобы привести количество энергии во втором слое к эквивалентному (с первым слоем) количеству, необходимо увеличить исходное освещение в 10 раз. Таким образом, двукратное увеличение толщины отверждаемого слоя требует 10-кратного повышения интенсивности УФ-облучения;
от количества световой энергии, приходящейся на единицу поверхности покрытия: до определенного момента скорость отверждения растет с увеличением количества энергии, приходящейся на единицу поверхности. Например, увеличение указанной энергии в 2 раза может привести к 3-х, 4-х или 10-кратному росту скорости отверждения. Отсюда следует, что для повышения скорости отверждения лучше использовать одну более мощную лампу, чем две меньшей мощности;
от спектра источника излучения: спектры поглощения фотоинициатора (сенсибилизатора) и мономера (или других добавок) не должны совпадать. С другой стороны, спектр излучения должен совпадать со спектром возбуждения фотоинициатора. Ртутные лампы среднего давления излучают в широком интервале длин волн (180-400 нм), поэтому они пригодны практически для всех процессов УФ-отверждения.
Для системы, содержащей жидкую УФ-отверждаемую композицию, полимеризующуюся только в присутствии фотоинициатора, процесс УФ-отверждения как свободно-радикальной полимеризации может быть описан схемой, включающей элементарные стадии инициирования, роста и обрыва цепей [13].
Рассмотрим расчет энергии фотополимеризации, необходимой для нанесения покрытия на 0В [15]. В начале происходит поглощение фотона инициатором S, переход последнего в возбужденное состояние, распад которого сопровождается генерированием свободных радикалов R'
S+hv>S*,
S*>2R S*.
Пусть фотоинициатор имеет концентрацию [С] (моль/л) и поглощает УФ-излучение около длины волны l (нм). Тогда, учитывая соотношение энергетического баланса для процесса покрытия волокна, проходящего через сфокусированную УФ-излучающую систему, можно получить следующее выражение:
,
где W - мощность источника света, Вт; D и d - диаметры покрытого и непокрытого волокна, соответственно, мкм; - эффективность инициирующей системы; Vf - скорость вытяжки, м/с. Видно, что необходимая мощность источника линейно связана со скоростью вытяжки 0В с покрытием.
УФ-отверждаемые композиции на основе эпоксиакрилатов были описаны ещё в 1958 г. [16-17]. Они не предназначались специально для защиты 0В, но показали высокие скорости фотополимеризации и хорошие эксплуатационные свойства полимеров. Это позволило позднее использовать их в качестве УФ-отверждаемых композиций для 0В. Так, авторы [18] использовали бромированный бисфенол, который этерифицировали акриловой кислотой в присутствии диглицидилового эфира 1,4-бутандиола, гидрохинона и диэтиламиноэтанола. К полученной композиции добавляли фотоинициатор и силановую адгезионную добавку. Такая композиция позволяет покрывать 0В защитным полимерным покрытием со скоростью до 25 м/мнн.
Способ синтеза олигомеров, в частности, эпоксиакрилатов, достаточно отработан [19] и поддается простому контролированию хода реакции по кислотному или эпоксидному числу, а также по изменению динамической вязкости продукта [20].
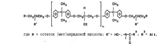
Известна эпоксиакрилатная фотоотверждаемая композиция, содержащая до 40% диакрилатов [21-22] и имеющая высокую скорость полимеризации.
Строение основного компонента, полученного этерификацией эпоксиолигомеров акриловой кислотой, авторы выражают следующей формулой:
Аr, X-алкилэфирные остатки.
УФ-отверждаемые олигомеры на основе эпоксиакрилатов могут подвергаться дальнейшей модификации. Так, проведены реакции эпоксиакрилатов с полиаминокислотами [23], причем синтез последних осуществляли реакцией диангидрида тетракарбоновой кислоты и диамина, содержащего фенольные гидроксильные группы.
Для синтеза олигомеров на основе эпоксиакрилатов применяют различные классы эпоксиолигомеров. Например, УФ-отверждаемые эпоксиакрилатные олигомеры на основе алифатических эпоксидных смол (ДЭГ-1, ТЭГ-17) с фотоинициаторами (производные бензофенона) использовали для защиты 0В [24-27]. Покрытия показали себя как высокоэффективные, защитно-упрочняющие материалы для сохранения оптических и механических свойств волоконных световодов. Важным свойством этого покрытия явилась способность к взаимодействию олигомера во время фотополимеризации с поверхностью кварцевой нити, в результате чего прочность световода увеличивается в несколько раз. При образовании покрытия на поверхности оптического волокна возможны следующие химические реакции с образованием химических связей Si-O-C на границе раздела «кварц-полимер»:
Полимерные оболочки оптических волокон в зависимости от состава УФ-отверждаемой композиции по-разному влияют на прочность оптического световода. В работах [25, 28, 29] приведены измерения прочности на разрыв световодов, покрытых силиконовым термоотверждаемым эластомером «Sylgard-182», эпоксиуретанакрилатным покрытием фирмы «DeSoto 950X131» и эпоксиакрилатным покрытием. В экспериментах фиксировали относительное удлинение волоконных световодов в зависимости от нагрузки. Наибольшее значение прочности на разрыв имеют световоды с эпоксиакрилатной оболочкой, причем упрочняющий эффект зависит от молекулярной массы олигомера и концентрации свободных эпоксидных групп (в эпоксиакрилатном олигомере содержатся как моно-, так и диакрилаты). Видимо, это связано с тем, что эпоксидные группы способны проникать в микротрещины оптического волокна и «зашивать» дефектные участки после фотополимеризации. При этом число дефектов на кварцевой нити значительно уменьшается, вследствие чего функция распределения вероятности обрыва ОВ значительно сужается. Так, если ОВ, покрытые композицией «Sylgard-182» или «DeSoto 950X131», обрываются под нагрузкой в одном месте, то световод с эпоксиакрилатным покрытием под большой нагрузкой обрывается одновременно в нескольких местах, что свидетельствует о меньшем количестве микротрещин на нем.
Некоторые УФ-отверждаемые композиции содержат специальные добавки для повышения адгезии на границе кварц-полимер [18-24]. Например, в работе [24] использовали 0,1-1,0 % вес. w-аминогексилaминометилтриэтоксисилана, при этом скорость нанесения защитной оболочки достигала 32 м/мин. УФ-отверждаемые композиции содержат полимеризационноспособный олигомер, растворитель (не всегда), фотоинициатор отверждения, красители, адгезионные добавки, сополимеризующиеся мономеры и др. Состав определяется требованиями, предъявляемыми к полимерной оболочке: теплостойкостью, относительным удлинением, температурой стеклования и др. Например, фотополимеризующаяся композиция, описанная в [27], состоит из акрилата эпоксидированного соевого масла (содержит 3-4 акрилатные группы в молекуле) и сенсибилизатора (ацетофенон, кетон Михлера, имеющие энергию триплетного состояния от 42 до 85 ккал/моль) в количестве от 0,5 до 20 % вес. В композицию дополнительно вводят продукты реакции моноакрилового эфира этиленгликоля с толуилендиизоцианатом и алкидные олигомеры из триметилпропанола и жирных кислот. Для окраски композиции могут быть использованы красители трифенилметанового ряда (метилфиолет, родамин, аурамин и др.). По энергии триплетного состояния фотоинициатора можно в какой-то степени предвидеть реакционную способность УФ-отверждаемой композиции (табл. 1) [27].
Таблица 1. Энергии триплетного состояния некоторых инициаторов [27]
| Фотоинициатор | Энергия триплетного состояния, ккал/моль | Время полного отверждения композиции, сек.* |
| Бензил | 54 | 265 |
| Антрацен | 42 | 760 |
| Эозин | 43 | 860 |
| Фенол | 82 | 1360 |
| Бензол | 85 | 1060 |
*Длина волны l=230-410 нм, мощность источника излучения W=0,05-0,1 Дж/см2.
Таблица 2. Области максимального поглощения УФ-абсорберов
| УФ-абсорбер | Максимум поглощения, нм |
| 2-гидрокси-4-метоксибензофенон | 350 |
| 2,2'-дигидрокси-4-метоксибензофенон | 390 |
| 2-гидрокси-4-метокси-2'-карбоксибензофенон | 340 |
| 2-гидрокси-4-(4-метокси-5-сульфо)бензофенон гидрат | 340 |
| 2-гидрокси-4-11-октооксибензофенон | 360 |
| 2-гидрокси-4-метоксибензофенон | 350 |
| 2,4-ди-третбутилфенил-3,5-ди-третбутил-4-гидрокси-бензоат | 280 |
| 2-гидрокси-5-третоктилфенилбензотриазол | 370 |
Применение фотоинициатора - эфира бензилиденовой кислоты (А)
RO-Ph-CH=С(-О-ОR)2 , A
где R - алкилгидроксиалкилен, позволило получить погодоустойчивое, нежелтеющее, стойкое к растрескиванию и действию растворителей полимерное покрытие [31]. Скорость отверждения композиции при нанесении защитного покрытия на оптическое волокно составляет 10-20 метров в минуту.
Характеристики
Тип файла документ
Документы такого типа открываются такими программами, как Microsoft Office Word на компьютерах Windows, Apple Pages на компьютерах Mac, Open Office - бесплатная альтернатива на различных платформах, в том числе Linux. Наиболее простым и современным решением будут Google документы, так как открываются онлайн без скачивания прямо в браузере на любой платформе. Существуют российские качественные аналоги, например от Яндекса.
Будьте внимательны на мобильных устройствах, так как там используются упрощённый функционал даже в официальном приложении от Microsoft, поэтому для просмотра скачивайте PDF-версию. А если нужно редактировать файл, то используйте оригинальный файл.
Файлы такого типа обычно разбиты на страницы, а текст может быть форматированным (жирный, курсив, выбор шрифта, таблицы и т.п.), а также в него можно добавлять изображения. Формат идеально подходит для рефератов, докладов и РПЗ курсовых проектов, которые необходимо распечатать. Кстати перед печатью также сохраняйте файл в PDF, так как принтер может начудить со шрифтами.
















