183675 (743612)
Текст из файла
Теоретические основы специальности.
Оптимизационные методы решения экономических задач. Классическая постановка задачи оптимизации. Оптимизация функций. Оптимизация функционалов. Общая постановка задачи.
К экономическим задачам оптимизационного типа относятся задачи, в которых требуется найти наилучшее или оптимальное решение при заданных условиях производства. Такие задачи называются задачами на максимум или минимум. Особенностью задач оптимизационного типа является многовариантность их решений, обусловленная следующими причинами: взаимозаменяемостью ресурсов; взаимозаменяемостью готовых видов продукции; существованием альтернативных технологий производства; неодинаковостью технико-экономических показателей даже однотипных хозяйственных субъектов.
Возможны два подхода к постановке оптимизационных задач: при первом подходе требуется получить максимальные конечные результаты при заданных условиях производства; при втором подходе требуется получить заданные конечные результаты при минимальных затратах ресурсов.
Математический инструментарий, позволяющий решать экономические задачи оптимального типа, называется программированием. Различают линейное и нелинейное программирование.
На практике наибольшее распространение получило линейное программирование.
Методы линейного программирования в математике известны под названием общей задачи линейного программирования.
Аналитическая формулировка общей задачи линейного программирования
Общая задача линейного программирования формулируется следующим образом:
Найти решение {Х1,Х2,….Хn}, позволяющее максимизировать или минимизировать целевую функцию
F = C1X1+C2X2+…+ CnXn
при условиях
Х1≥0; Х2≥0; …; Хn≥0.
Это развернутая запись общей задачи линейного программирования.
Сокращенная запись этой модели имеет вид:
Найти решение {Xj}, позволяющее максимизировать (минимизировать) функцию
при условиях
Xj ≥ 0, j = 1,2,…,n.
Вышеприведенные записи общей задачи линейного программирования называют аналитической формой записи.
Любое решение, удовлетворяющее условиям, называется допустимым решением. Допустимое решение систем неравенств, удовлетворяющее целевой функции, называется оптимальным решением. Такое решение единственно при заданных условиях.
Матричная форма записи общей задачи линейного программирования
при ограничениях AX≤B
X≥0,
где С = (с1, с2,…, сn);
где С – матрица-строка
А – матрица системы
Х – матрица-столбец переменных
В – матрица-столбец свободных членов
Векторная форма записи общей задачи линейного программирования
F = CX → max (min)
при ограничениях
Х≥0,
где СХ – скалярное произведение векторов
С = (С1, С2, …, Сn) и Х = (х1, х2, …, хn),
векторы
состоят соответственно из коэффициентов при переменных и свободных членов.
(про функционал)
В общем случае задача оптимизации формулируется как задача отыскания max или min значения I(v) для
.
Под решением такой задачи понимается такое
, что для остальных элементов
выполняется неравенство
или
в зависимости от требований задачи.
При этом:
v – некоторая функция
I(v) – функционал вида
Многокритериальная оптимизация. Методы сведения многокритериальной задачи к однокритериальной. Метод уступок. Методы определения уровня предпочтений. Способы поиска паретовского множества альтернатив.
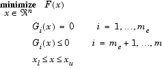
Многокритериальная оптимизация представляет собой минимизацию некого вектора целей F(x), на которой могут быть наложены дополнительные ограничения или предельные значения:
|
| (3-47) |
Отметим, что поскольку F(x) является неким вектором, то любые компоненты F(x) являюся конкурирующими и отсутсвует некое единое решение поставленной задачи. Взамен этого, для описания характеристик целей вводится концепция множества точек неулучшаемых решений [41] (так называемая оптимальность по Паретто [4],[6]). Неухудшаемое решение есть такое решение, в котором улучшение в одной из целей приводит к некому ослаблению другой. Для более точной формулировки данной концепции рассмотрим некую область допустимых решений
в параметрическом пространстве
, которое удовлетворяет всем принятым ограничениям, т.е.
|
| (3-48) |
при ограничениях
Отсюда возможно определить соответствующую область допустимых решений для пространства целевых функций
.
|
| (3-49) |
Точка неулучшаемого решения может быть определена как:
Определение. Точка
является неулучшаемым решением, если для некоторой окрестности
нет некого
такого, что
и
|
|
Стратегия взвешенных сумм
Данная стратегия взвешенных сумм преобразует многокритериальную задачу минимизации вектора
в некую скалярную задачу путем построения неких взвешенных сумм для всех выбранных объектов.
Далее уже к данной задаче оптимизации уже может быть применен стандартный алгоритм оптимизации без наличия ограничений. В этом случае рассматриваются взвешенные коэффициенты для каждой из выбранных целей. Взвешенные коэффициенты необязательно должны напрямую соответствовать относительной значимости соответствующей цели или принимать во внимание взаимовлияние между конкретно выбранными целями. Более того, границы неулучшаемых решений могут быть и не достигнуты, так что определенные решения являются по существу недостижимыми.
Некий определенный способ, который отчасти позволяет преодолеть проблему выпуклости метода взвешенных сумм, есть метод
-ограничений. В этом случае осуществляется минимизация основной цели
и при представлении остальных целей в форме ограничений типа неравенств.
при выполнении условия
Подобный подход позволяет определить некое количество неулучшаемых решений для случая вогнутой границы, что, по существу, является недоступным в методе взвешенных сумм, например, в точке искомого решения
и
. Однако проблемой данного метода является подходящий выбор
, который мог бы гарантировать допустимость некого решения.
Метод достижения цели.
Описанный далее метод представляет собой метод достижения цели Гембики. Данный метод включает в себя выражение для множества намерений разработчика
, которое связано с множеством целей
. Такая формулировка задачи допускает, что цели могут быть или недо- или передостижимыми, и что дает разработчику возможность относительно точно выразить исходные намерения. Относительная степень недо- или передостижимости поставленных намерений контролируется посредством вектора взвешенных коэффициентов
и может быть представлена как стандартная задача оптимизации с помощью следующей формулировки
|
| (3-53) |
При условии, что
Член
вносит в данную задачу элемент ослабления, что, иначе говоря, обозначает жесткость заданного намерения. Весовой вектор w дает исследователю возможность достаточно точно выразить меру взаимосвязи между двумя целями. Например, установка весового вектора w как равного исходному намерению указывает на то, что достигнут тот же самый процент недо- или передостижимости цели
. Посредством установки в ноль отдельного весового коэффициента (т.е.
) можно внести жесткие ограничения в поставленную задачу. Метод достижения цели обеспечивает подходящую интуитивную интерпретацию поставленной исследовательской задачи и которая, в свою очередь, является вполне разрешимой с помощью стандартных процедур оптимизации.
Гладкая оптимизация. Седловая точка. Условие Куна-Таккера. Двойственные задачи оптимизации.
Метод множителей Лагранжа позволяет отыскивать максимум или минимум функции при ограничениях-равенствах. Основная идея метода состоит в переходе от задачи на условный экстремум к задаче отыскания безусловного экстремума некоторой построенной функции Лагранжа. Пусть задана задача НП при ограничениях-равенствах вида
при ограничениях
Предположим, что все функции
– дифференцируемы. Введем набор переменных
(число которых равняется числу ограничений), которые называются множителями Лагранжа, и составим функцию Лагранжа такого вида:
Справедливо такое утверждение [18]: для того чтобы вектор
являлся решением задачи (5.2.1) при ограничениях (5.2.2), необходимо, чтобы существовал такой вектор
, что пара векторов удовлетворяла бы системе уравнений
Характеристики
Тип файла документ
Документы такого типа открываются такими программами, как Microsoft Office Word на компьютерах Windows, Apple Pages на компьютерах Mac, Open Office - бесплатная альтернатива на различных платформах, в том числе Linux. Наиболее простым и современным решением будут Google документы, так как открываются онлайн без скачивания прямо в браузере на любой платформе. Существуют российские качественные аналоги, например от Яндекса.
Будьте внимательны на мобильных устройствах, так как там используются упрощённый функционал даже в официальном приложении от Microsoft, поэтому для просмотра скачивайте PDF-версию. А если нужно редактировать файл, то используйте оригинальный файл.
Файлы такого типа обычно разбиты на страницы, а текст может быть форматированным (жирный, курсив, выбор шрифта, таблицы и т.п.), а также в него можно добавлять изображения. Формат идеально подходит для рефератов, докладов и РПЗ курсовых проектов, которые необходимо распечатать. Кстати перед печатью также сохраняйте файл в PDF, так как принтер может начудить со шрифтами.
















