183399 (743545)
Текст из файла
Лаптева В.М. «Моделирование состава машинно-тракторного парка». 1999 г.
Министерство сельского хозяйства и продовольствия
Российской Федерации
ТЮМЕНСКАЯ ГОСУДАРСТВЕННАЯ СЕЛЬСКОХОЗЯЙСТВЕННАЯ АКАДЕМИЯ
КАФЕДРА ИНФОРМАТИКИ
Курсовой проект по моделированию:
МОДЕЛИРОВАНИЕ СОСТАВА
МАШИННО-ТРАКТОРНОГО ПАРКА
Выполнила:
Студентка IV курса заочного
экономического факультета
В.М.Лаптева,
Шифр: Э-990348
Проверила:
Е.Г.ПУТИЛОВА
Тюмень – 1999 г.
Содержание проекта
| Стр. | |
| Введение………………………………………………………………………… | 3 |
| Ситуация с сельхозтехникой в южных районах области…………………... | 3 |
| Значимость машинно-тракторного парка……………………………………... | 4 |
| Основные задачи машинно-тракторного парка …………………………….. | 5 |
| Рекомендуемый состав МТП……………………………………………………. | 6 |
| Экономико-математическое моделирование состава МТП……………….. | 7 |
| Характеристика изучаемого хозяйства …………………………………… | 11 |
| Динамика производственной деятельности………………………………….. | 12 |
| Основные производственные показатели……………………………………. | 13 |
| Себестоимость продукции в хозяйстве……………………………………….. | 14 |
| Моделирование структуры машинно-тракторного парка в изучаемом хозяйстве…………………………………………………………… | 15 |
| Заключение и выводы………………………………………………………… | 22 |
| Список использованной литературы………………………………………….. | 24 |
ВВЕДЕНИЕ
За последние годы произошло значительное сокращение количества сельскохозяйственной техники в стране. Тяжелое финансовое положение предприятий, нарушенный паритет цен на машины, горюче-смазочные материалы, запасные части и выращиваемую продукцию, и, в особенности, топливный кризис, охвативший государство в апреле-июле текущего года, не позволяют приобретать новую технику и эффективно эксплуатировать имеющуюся.
В этих условиях государство должно выступить гарантом перед банками для предоставления фермерам и коллективным сельскохозяйственным предприятиям долгосрочных кредитов на льготных условиях, организации продажи сельскохозяйственной техники на условиях лизинга.
Ситуация с сельхозтехникой
в южных районах области.
В настоящее время в южных районах Тюменской области создано 1600 фермерских хозяйств и сельскохозяйственных предприятий, за которыми закреплено 18 тыс. га пахотных земель, кроме этого, многие фермеры арендуют в коллективных хозяйствах незанятую землю и тем самым вовлекают в производство дополнительные площади.
Фермы, специализирующиеся на выращивании зерновых культур, в среднем имеют наделы земли 50-70 га.
Минимальный набор сельскохозяйственной техники, выпускаемой на российских заводах, для такого хозяйства может состоять из: колесного трактора ЮМЗ-6Л или ЧТЗ-60м, плуга, дискового лущильщика, культиватора, комплекта зубовых борон, сеялки, опрыскивателя, тракторного прицепа, косилки. Стоимость такого комплекта - около 300000 рублей, что эквивалентно приблизительно 200 т пшеницы III класса. Приобретать зерноуборочный комбайн СК-5М "Нива", стоимостью около 1000000 рублей для одной фермы нецелесообразно. Выгоднее привлекать на уборку комбайны коллективных предприятий или машинно-тракторных станций, отдавая за услуги 15-20% собранного зерна.
Если набор техники будет приобретен по лизинговой форме с выплатой их стоимости в течение 5 лет, то хозяйству придется ежегодно отдавать в погашение долга 50000-70000 рублей или 35-45 т пшеницы III класса.
Для выполнения сельскохозяйственных операций на площади 50га потребуется израсходовать 2,5 т дизельного топлива и моторного масла стоимостью в текущих ценах болеее 12000 рублей. Расходы на текущий ремонт и техническое обслуживание техники составит в год около 30000 рублей.
Таким образом, ориентировочно общие расходы на выращивание зерновых на площади 50 га за год составят (без учета амортизации техники и расходов на уборку зерна) 85000-95000 рублей. При средней урожайности 3,0 т/га, фермер со своего участка получит 150 т зерна, из которых 32 т отдаст за работу зерноуборочного комбайна, 10 т - за семена, из оставшегося зерна (108 т) стоимостью 120000 рублей оплатит расходы на текущий ремонт и техническое обслуживание и получит прибыль в размере 30000-40000 рублей.
На 6-й год после выплаты полной стоимости техники доход несколько увеличится, но возрастут затраты на ремонт и амортизацию машин.
Значимость машинно-тракторного парка
В связи с тем, что в настоящее время государство не в состоянии выделить средства на приобретение техники для всех фермерских хозяйств, а в коллективных сельскохозяйственных предприятиях и совхозах парк машин значительно сократился, и также отсутствуют средства на приобретение новой техники, государство должно выступать гарантом для предоставления банками фермерам и коллективным хозяйствам долгосрочных кредитов на льготных условиях, организации продажи сельскохозяйственной техники на условиях лизинга.
Следует также создать специальные предприятия - машинно-тракторные станции (МТС) для оказания помощи и услуг хозяйствам в производстве сельскохозяйственной продукции. МТС могут иметь форму акционерных обществ (компаний) открытого или закрытого типа с привлечением средств частного капитала, коммерческих структур, предприятий с государственной и смешанной формами собственности.
Очень активно машинно-тракторные станции создавались в конце 20-х - начале 30-х годов. Однако, в начале 50-х годов, в ходе реформирования сельскохозяйственного производства, большая часть машинно-тракторных станций была реорганизована в различного рода мастерские, заводы и другие производства, а, зачастую, просто расформированы.
В настоящее время внось возникли экономические предпосылки, обоснованные нами выше, для создания машинно-тракторных станций.
Машинно-тракторные станции (МТС), по нашему мнению, целесообразно создавать в отдельных административных районах области на базе ремонтно- транспортных предприятий, райснабов, предприятий агросервиса и райсельхозхимии.
Основные задачи парка
машинно-тракторных станций
Основными задачами МТС являются:
•помощь в выполнении сложных механизированных процессов в фермерских и арендных хозяйствах, коллективных сельскохозяйственных предприятиях, совхозах;
•ремонт и техническое обслуживание сельскохозяйственной техники;
•обучение фермеров и арендаторов передовым технологиям и методам работы;
•консультативная помощь в освоении новой сельскохозяйственной техники, новых технологий, средств химизации.
Рекомендуемый состав парка
машинно-тракторных станций
В составе МТС следует иметь мобильные отряды:
• по основной обработке почвы, оснащенные энергонасыщенными тракторами со шлейфом почвообрабатывающих машин;
• по внесению минеральных и органических удобрений;
• по борьбе с сорными растениями, вредителями и болезнями сельскохозяйственных культур, оснащенные колесными тракторами, опрыскивателями, опыливателями, агрегатами для приготовления рабочих жидкостей;
• по заготовке сена, сенажа, силоса, укомплектованные самоходными прицепными и навесными косилками-плющилками, косилками- измельчителями и пресс-подборщиками;
• по уборке зерновых и технологических культур, оснащенные высокопроизводительной техникой.
Состав и структура машинно-тракторного парка станции (МТС) должны определяться в зависимости от возможных объемов работ и сроков их выполнения. При этом следует учитывать, что дорогостоящие сельскохозяйственные тракторы и машины должны эксплуатироваться в пределах оптимальных агротехнических сроков выполнения технологических операций не в одном, а в разных хозяйствах. Учитывая особенности Тюменской области - как территории с резко континентальными климатическими условиями, при комплектовании парка обязательно должны учитываться возможные отрицательные климато-географически факторы воздействия.
Принимая во внимане то, что технологические отряды будут перемещаться как в пределах административного района, так и в соседних районах, при выборе техники должны быть учтены расходы на переезды из одного хозяйства в другое.
Для оптимизации состава и структуры парка тракторов, комбайнов, орудий машинно-тракторной станции (МТС) следует использовать методы экономико-математического моделирования.
Экономико-математическое моделирование
состава машинно-тракторного парка
Отправным пунктом при расчетах должна служить производственная программа обслуживаемых хозяйств, технологическая карта на возделывание основных культур, при выращивании и уборке которых будет применяться техника МТС.
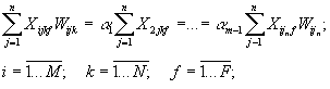
Математическая модель оптимальной структуры МТП в общем виде может быть сформулирована следующим образом:
Найти число агрегатов Хijkf, удовлетворяющее следующими ограничениям:
•требование выполнения технологических, транспортных и вспомогательных операций в наиболее целесообразные агротехнические сроки:
•ограничение непрерывного выполнения технологических операций в пределах агросрока:
•ограничение согласования операций:
Требования к выполнению объемов работ и количеству машин в составе МТП:
Ограничение экологического воздействия (разового и суммарного) на природную сферу:
Ограничения неотрицательных переменных:
где:
Хj - количество агрегатов j-типа в составе МТП;
Хijk - количество агрегатов j-типа, используемых на i-операции, в k-период;
Wijk - производительность агрегата j-типа, i-операции, k- период;
bikf - объем работ на i-операции, k-период при возделывании f-культуры;
a - коэффициент согласования технологических и взаимосвязанных работ;
lijr - количество машин r-типа, входящих в состав j- агрегата при выполнении i-операции;
I -количество рассматриваемых типов агрегата;
K - количество рассматриваемых периодов годового цикла работ;
J - количество рассматриваемых операций; N - количество типовых вариантов погодных условий.
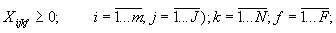
Критерий оптимальности - минимум интегральных затрат, включаяющий:
1) затраты на приобретение и содержание парка машин:
где
Сj - затраты, связанные с приобретением и содержанием техники j- типа (включая нормативную эффективность капитальных затрат), в расчете на N годовых циклов выполнения работ;
2) прямые (эксплуатационные) затраты на выполнение операций по возделыванию сельскохозяйственных культур:
где
Сir - прямые затраты на выполнение единицы объема работ по i-той операции, j-того типа за один час работы;
Pirkn - объем работ.
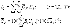
3) экономическая оценка невосполнимых экологических нарушений при использовании отдельных машин:
где
Uij - снижение урожая культуры при использовании на ее возделывании машин j-того типа в течение t лет;
Ri - стоимость единицы продукции урожая l - культуры; nj - количество машин j-го типа в определении состава МТП в расчете на 1000 г земли в обработке;
xl - коэффициенты объема l-ой культуры в структуре площадей хозяйства.
Коэффициент
- устанавливается для различной интенсивности использования машин (в основном тракторов) определенных типов.
4) Потери части урожая культуры из-за использования агрегатов определенными экологическими отклонениями
| |
| |
где
- стоимость потерянной части урожая определенной культуры (исходя из номера операции i), при выполнении единицы объема работ по i-той операции j-м агрегатом;
Pi - стоимость единицы продукции l-й культуры.
Функционал рассматриваемой оптимизационной задачи:
Характеристики
Тип файла документ
Документы такого типа открываются такими программами, как Microsoft Office Word на компьютерах Windows, Apple Pages на компьютерах Mac, Open Office - бесплатная альтернатива на различных платформах, в том числе Linux. Наиболее простым и современным решением будут Google документы, так как открываются онлайн без скачивания прямо в браузере на любой платформе. Существуют российские качественные аналоги, например от Яндекса.
Будьте внимательны на мобильных устройствах, так как там используются упрощённый функционал даже в официальном приложении от Microsoft, поэтому для просмотра скачивайте PDF-версию. А если нужно редактировать файл, то используйте оригинальный файл.
Файлы такого типа обычно разбиты на страницы, а текст может быть форматированным (жирный, курсив, выбор шрифта, таблицы и т.п.), а также в него можно добавлять изображения. Формат идеально подходит для рефератов, докладов и РПЗ курсовых проектов, которые необходимо распечатать. Кстати перед печатью также сохраняйте файл в PDF, так как принтер может начудить со шрифтами.
















