169905 (742633)
Текст из файла
Основные принципы строения и функционирования экосистем и обитаемой биосферы в целом
1. Концепция экосистемы
Экосистемой называют совокупность физико-химических и биологических компонентов, с помощью которой осуществляется биотический круговорот веществ, движущийся благодаря направленному потоку энергии. Вещественно-энергетические потоки регулируются при участии информационных взаимодействий. Границы экосистемы определяет исследователь, исходя из конкретных задач. Естественно, при этом не снимается вопрос о необходимости классифицировать экосистемы на основе тех или иных принципов (также исходя из конкретных задач). Типизация предполагает предварительное знание объектов. Ученые зачастую находятся в таком положении, что могут классифицировать экосистемы лишь в рабочем порядке, исходя из каких-то недостаточно исследованных или гипотетических свойств. При этом можно опираться как на очень общие и поверхностные сведения, так и на точные, но формальные критерии. Примером последних может служить произвольно принятая масштабность, за пределами которой тот или иной компонент считается "элементом" системы, далее неделимым. В другом случае он же может сам рассматриваться как система.
Очень близко к представлению об экосистеме стоит представление о биогеоценозе. Первоначально подчеркивалось, что биогеоценоз - совокупность специфически взаимодействующих однородных природных явлений на земной поверхности. Кроме того, часто указывалось, что биогеоценоз представляет собой наименьшую "самостоятельную" ячейку при подразделении биогеосферы (обитаемой части биосферы). Однако в определение не вводили в явном виде критерий однородности (неделимости).
Неявно он присутствовал в примерах конкретных биогеоценозов в виде масштабно-пространственных придержек. Сейчас понятия "биогеоценоз" и "экосистема" нередко считают синонимами. Правильнее понимать биогеоценоз как частный случай более общей и широкой концепции экосистемы, рассматривать биогеоценоз как экосистему определенного ранга в классификационной системе. Этот ранг соответствует наименьшей типологической единице фитоценозов - ассоциации. Таким образом, экосистема в границах растительной ассоциации и есть биогеоценоз.
Часто биогеоценоз масштабно приравнивают к фации - наименьшей категории территориальных комплексов, обычно принимаемой в ландшафтоведении (физической географии). Понятие ландшафта территориально совпадает с более крупной и более сложной экосистемой. Подробные рассуждения о соотношении указанных терминов выходят за рамки настоящего обзора. Подчеркнем лишь, что конкретные исследования, в которых эти понятия используются, часто дают очень ценный материал. Это же касается некоторых специфических методов (например, картографический, аэрофотометоды и т.п.), привлечение которых необходимо при комплексном изучении экосистемы.
Концепция экосистемы - наиболее подходящий фундамент для развития синтетических биогеографических исследований биосферы с условием, что таковые будут включать в себя факты и методические достижения различных биологических и географических дисциплин (например, таких, как общая экология, физическая география, геофизика и геохимия ландшафта, физика биосферы и т.д.).
Преимущества этой концепции как раз и состоят в отсутствии жестких пространственного и масштабного, генетического и геохимического критериев. Она свободна от априорных гипотетических положений о степени дискретности и "дальнейшей неделимости", о степени взаимной обусловленности компонентов и их организованности. Указанные характеристики можно получить только в результате интенсивных исследований.
Около 50 лет назад русский минералог и геохимик В.И. Вернадский на основе большого описательного и расчетного материала показал, что вся совокупность организмов нашей планеты - живое вещество, несмотря на ничтожную по сравнению с неживым веществом массу, представляет мощный глобальный фактор, преобразующий всю земную поверхность, воды и атмосферу. Всю толщу горных пород, вод и атмосферы, которые изменились под воздействием живого вещества, В.И. Вернадский назвал биосферой.
Живое вещество обладает огромной геохимической активностью прежде всего за счет различных катализаторов (ферментов), ускоряющих в тысячи раз различные реакции при обычных температурах.
За длительный срок своего существования жизнь коренным образом изменила состав атмосферы, вод, осадочных пород. Кислород, уголь, известняки, почвенный покров - все это прямой результат деятельности мириадов живых существ.
Общий слой "влияния жизни" (т.е. границы биосферы по вертикали) имеет мощность 20-30 км, однако заселены живыми организмами лишь толща вод и преимущественно тонкая планетарная "пленка". В последнее время нередко именно ее и называют биосферой, хотя здесь лучше употреблять выражение "обитаемая биосфера".
Обитаемая биосфера может быть определена как гигантская планетарная экосистема. В разных публикациях ее называют биогеосферой, ландшафтной оболочкой. В сущности понятие "биосфера" совпадает с понятием "географическая оболочка".
2. Разделение экосистемы на блоки
Если при разделении экосистемы с функциональных позиций начинать с самых крупных блоков, или элементов, то первый шаг такого анализа приведет к выявлению трех элементов:
1 - радиации Солнца (источник превратимой энергии), 2 - массы неживых компонентов, 3 - массы живых компонентов экосистемы. Какого типа связи объединяют указанные элементы? Прежде всего блоки 2 и 3 характеризуются энергетическими и вещественными (материальными) взаимосвязями. От блока 1 к блокам
2 и 3 идут односторонние энергетические воздействия, которые после ряда трансформаций уходят за пределы системы в виде тепла (длинноволнового излучения).
Последующее пристальное рассмотрение экосистемы приводит к расчленению описанных выше элементов на более дробные. В частности, при характеристике компонентов биогеоценоза В.Н. Сукачев выделял следующие компоненты (природные явления): атмосферу, горные породы, гидрологические условия, растительность, животный мир, микроорганизмы и почвы. Видимо, при функциональном подходе на сходном уровне подробности следует несколько видоизменить набор компонентов. Так, зеленые и не зеленые растения, относящиеся к различным трофическим (энергетическим) уровням экосистемы, целесообразно рассматривать отдельно, в разных блоках. Гидрологические условия - результат тех или иных свойств, присущих ряду элементов системы. Поэтому они сами по себе могут в ряде случаев и не рассматриваться в виде элемента системы (если их выделять таким образом, то лучше в виде элемента системы рассматривать воду).
Учитывая характер трансформации энергии и вещества, можно выделить следующие элементы, или блоки, экосистемы:
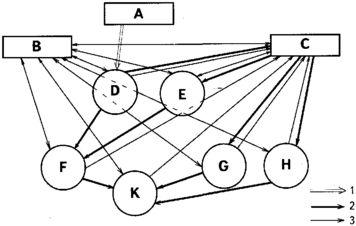
А - радиацию Солнца, В - атмосферу (конкретнее - определенную смесь газов, взвешенных твердых и жидких веществ, взаимодействующую с другими блоками экосистемы), С - почвогрунт (без учета живых организмов), D - автотрофные, а точнее - фотоавтотрофные, организмы, Е - хемоавтотрофные организмы, F - хемогеторотрофов-биофагов первого порядка, G - хемогетеротрофов-сапрофагов, Н - прототрофов-сапрофагов, К - хемогетеротрофов-биофагов высших порядков (в основном - второго и третьего). Если первые три блока не требуют особых пояснений, то остальные нуждаются в более подробной характеристике.
Фотоавтотрофные организмы - это зеленые растения, которые характеризуются тем, что в качестве источника энергии для построения органических веществ (для формирования биомассы) используют солнечную радиацию, в качестве источника углерода - углекислый газ атмосферы и почвы, а как источник азота - минеральные соединения.
Хемоавтотрофные организмы в качестве источника энергии используют энергию химических связей (минеральные вещества), переводя их в более простые соединения. Эти же соединения используются и для пополнения значительной части вещественного бюджета, который целиком основывается на неорганических источниках. Группа представлена хемосинтезирующими бактериями.
Прототрофы в качестве источника энергии и углерода используют органические вещества. Основная масса их - сапрофаги. В качестве источников азота они могут довольствоваться минеральными веществами. Эта группа состоит из грибов, актиномицетов и некоторых бактерий.
Хемогетеротрофы - наиболее сложная в функциональном отношении группа. Она же объединяет значительно большее число видов организмов, чем все остальные группы вместе взятые. В качестве источника энергии, углерода и азота хемогетеротрофы используют органические вещества других живых существ, включая их остатки и после отмирания, и метаболиты, выделенные во внешнюю среду. Хемогетеротрофы включают всех животных, большую часть бактерий и растения (в том числе высшие), ведущие паразитическое существование.
В эту схему не включены фотогетеротрофы, занимающие промежуточные положения между хемогетеротрофами и фотоавтотрофами, так как их удельный вес в природе обычно мал. Кроме того, они чаще попеременно входят то в один, то в другой блок, в зависимости от условий среды. К фотогетеротрофам относятся и некоторые простейшие. С долей условности, видимо, можно причислить к ним и лишайники, которые по существу представляют собой симбиотическое сожительство водорослей и грибов.
Хемогетеротрофов можно на определенном этапе рассматривать как один блок, но мы показали их в виде нескольких: биофагов первого и высших порядков и сапрофагов. Указанные три группы занимают весьма различные позиции в системе трофических уровней и обладают разными регуляторными возможностями. Так, деятельность сапрофагов, приводящая к освобождению веществ минерального питания, положительно влияет на блок фотоавтотрофов. Влияние же на последних биофагов первого порядка, стоящих на том же трофическом (энергетическом) уровне, гораздо сложнее и в общем отрицательно. Это определяет далеко идущие последствия, приводя к сопряженному филогенезу (коэволюции) и сильно осложненным взаимным реакциям.
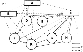
Если попытаться представить графически потоки энергии, вещества и информации между выделенными девятью блоками, то получится весьма сложная и трудно читаемая картина. Поэтому целесообразно привести две схемы, которые показывают характер вещественно-энергетических взаимосвязей в экосистеме (см. рис. 1,2). Потоки вещества, в принципе, могут иметь характер круговорота в замкнутом цикле. Значительная часть химических элементов действительно с той или иной скоростью длительное время циркулирует в экосистеме. Однако для некоторых задач нужно иметь в виду, что полной замкнутости даже по веществу не достигается ни в отдельной экосистеме, ни в биосфере в целом. Часть вещества из блока С переходит в геологические циклы с совершенно иной шкалой времени, часть из блока В диссипируется за пределы биосферы. Элемент А, естественно, не связан вещественными взаимодействиями с другими блоками.
Рис. 1. Потоки непревратимой и сильные потоки превратимой энергии между основными блоками экосистемы: 1 - превратимая энергия фотосинтетически активной радиации (ФАР); 2 - превратимая энергия химических связей; 3 - потоки тепла (непревратимой энергии); х - поток внутреннего тепла Земли, у - тепловое излучение в космос. Блоки: А - радиация Солнца, В - атмосфера; С - почвогрунт, D - фотоавтотрофные организмы; Е - хемоавтотрофные организмы; F - хемогетеротрофы-биофаги первого порядка; G - хемогетеротрофы-сапрофаги; Н - прототрофы-сапрофаги; К - хемогетеротрофы-биофаги высших порядков.
Рис. 2. Основные потоки превратимой энергии и потоки вещества между блоками экосистемы (блоки те же, что и на рис.1):
1 - энергия ФАР; 2 - энергия химических связей (органических, а для блока Е - неорганических веществ); 3 - потоки неорганических веществ
Потоки превратимой энергии однонаправлены. Фотосинтетически активная радиация (ФАР) идет от А к D и затем происходит дальнейшая трансформация энергии химических связей органических веществ. Несколько особняком стоит взаимосвязь С-Е. Элемент В не участвует в трансформации превратимой энергии. Непревратимая энергия (тепло) не может служить источником для непосредственного использования организмами, однако является условием протекания многочисленных взаимодействий.
Блоки А, В, С служат источником сигналов, однако сами не способны к восприятию и переработке информации. Эта способность присуща живым организмам, которые могут реагировать на существенные для них сигналы, так как обладают памятью (хранение и накопление наследственной информации - в нуклеиновых кислотах, а для индивидуума - также в нервной системе и других образованиях, преобразование информации экосистемой - в процессе отбора и реализации фенотипов), а также имеют "программу" поведения.
3. Характер связей в экосистеме
Выше упоминалось о связях трех типов (вещественных, энергетических и информационных) между компонентами экосистемы. Их изученность на разных уровнях подразделения по элементам еще очень недостаточна. Исторически прежде всего начали изучать вещественно-энергетические взаимосвязи в рамках классической трофодинамики и моделей типа "хищник-жертва". Кроме того, развивались представления о совокупностях отдельных групп организмов, связанных общностью местообитания. Последнее направление особенно интенсивно развивается в рамках геоботаники - науки о растительном покрове Земли, распространении и закономерностях размещения растительных сообществ, а особенно в фитоценологии - разделе геоботаники, изучающем растительные сообщества: их классификацию, состав, смену, изменения; взаимоотношения между собой и между компонентами сообществ в них и в окружающей среде.
Некоторые черты сходства с геоботаническими концепциями можно усмотреть также в гидробиологических работах, посвященных бентосным сообществам. И в том и в другом случае исследователи имеют дело с комплексами преимущественно одного трофического уровня. Поэтому говорить о непосредственных энергетических связях между ними не приходится. Что касается косвенных (конкурентных) взаимодействий, то в ряде случаев было показано, что такая система стремится к их минимизации. Такие же выводы, касающиеся наземной растительности, появились позже.
В последнее время выясняется очень большая роль трофических связей так называемого нехищного типа, которые особенно характерны для низших организмов водной среды. Эти связи осуществляются путем выделения в раствор различных метаболитов. Несомненно, что такого рода "экологический метаболизм" имеет место в почвах наземных экосистем.
Таким образом, в экосистеме можно выявить связи разной природы. Исследователи стремятся к анализу все новых и новых типов связей (например, сенсорных). Это, с одной стороны, открывает новые интересные перспективы, а с другой - все более проблематичной становится возможность отыскания неких универсальных единиц для измерения силы взаимодействия организмов друг с другом в рамках целой экосистемы.
С одной стороны, к такого рода оценкам можно подойти через информационные показатели зависимости между компонентами, с другой - через определение энергетических последствий тех или иных взаимодействий ("энергия как валюта"). Видимо, возможно совмещение этих двух подходов. Однако во всех случаях на окончательный результат большое влияние будут оказывать характер наших предварительных допущений, степень генерализации, принципы выделения элементов системы и другие факторы, в сильной мере зависящие от биологической интуиции и опыта исследователя.
Термины "эффективность функционирования", "стабильность" и "степень организованности" не имеют однозначного определения, когда они касаются экосистем или их крупных блоков, однако в последнее время эти понятия все чаще обсуждаются.
Характеристики
Тип файла документ
Документы такого типа открываются такими программами, как Microsoft Office Word на компьютерах Windows, Apple Pages на компьютерах Mac, Open Office - бесплатная альтернатива на различных платформах, в том числе Linux. Наиболее простым и современным решением будут Google документы, так как открываются онлайн без скачивания прямо в браузере на любой платформе. Существуют российские качественные аналоги, например от Яндекса.
Будьте внимательны на мобильных устройствах, так как там используются упрощённый функционал даже в официальном приложении от Microsoft, поэтому для просмотра скачивайте PDF-версию. А если нужно редактировать файл, то используйте оригинальный файл.
Файлы такого типа обычно разбиты на страницы, а текст может быть форматированным (жирный, курсив, выбор шрифта, таблицы и т.п.), а также в него можно добавлять изображения. Формат идеально подходит для рефератов, докладов и РПЗ курсовых проектов, которые необходимо распечатать. Кстати перед печатью также сохраняйте файл в PDF, так как принтер может начудить со шрифтами.
















