166414 (740250), страница 3
Текст из файла (страница 3)
Хроматографирование проводят при температуре 18...22°С, помещая установку в специальную комнату или шкаф. Разделение осуществляется за 24...90 ч. Хроматографирование считают законченным тогда, когда на проявленной хроматограмме расстояния между пятнами будут не менее 3 мм.
После окончания разделения Сахаров хроматограммы сушат на воздухе в течение примерно 4 ч до полного удаления растворителя. При сушке хроматограммы перекидывают через стеклянную палочку, укрепленную на двух штативах.
Проявление хроматограмм. Проявителем служит раствор, содержащий 1,66 г фталевой кислоты и 0,92 см3 свежеперегнанного анилина в 100 см3 этанола.
Сухие хроматограммы смачивают равномерно проявителем кратковременным погружением в раствор, отжимают между листами фильтровальной бумаги и немного подсушивают на воздухе. Затем хроматограммы помещают в сушильный шкаф, предварительно нагретый до нужной температуры. m Несколько хроматограмм одновременно кладут на ребро так, чтобы они не касались друг друга и стенок шкафа. Проявление ведут при температуре 100...105°С в течение 5 мин. Аналогичным образом проявляют полоски бумаги с нанесенным раствором смеси чистых Сахаров. При установлении природы Сахаров руководствуются цветом пятен, их относительным расположением и расположением пятен чистых Сахаров.
Фотоколориметрическое определение Сахаров. Из проявленной хроматограммы вырезают участки, соответствующие отдельным сахарам, и разрезают их на узкие полоски. Помещают кусочки хроматограмм в пробирки с пришлифованными пробками и заливают 8 см3 раствора HCI в этаноле. Элюирование ведут в течение 1 ч при комнатной температуре, поместив пробирки в темноту. Через каждые 5...10 мин пробирки энергично встряхивают.
Элюаты сливают в подготовленные сухие пробирки и фото-метрируют - измеряют оптическую плотность на фотоэлектрическом колориметре при синем светофильтре в кювете толщиной 10 мм или же на спектрофотометре при длине волны 420 нм.
Массу каждого моносахарида определяют по соответствующим градуировочным графикам.
Зная массу сахара в пробе гидролизата, нанесенной на хроматограмме, объем этой пробы, кратность упаривания и общий объем гидролизата, рассчитывают массовую долю, % к абсолютно сухой древесине, соответствующих полисахаридов Р - глюканов, маннанов, галактанов, ксиланов, арабинанов
где Ь - масса моносахарида в пробе гидролизата, мкг; х - объем пробы гидролизата, взятый на хроматографирование, см3; V - общий объем гидролизата, V=500 - или 200 см3; k - коэффициент пересчета моносахаридов на полисахариды, £ = 0,90 для гексозанов и 0,88 для пентозанов; з - кратность упаривания; g - масса абсолютно сухой навески древесины, г.
Построение градуировочных графиков. Градуировочный график для каждого моносахарида представляет собой зависимость оптической плотности элюата от массы сахара на хроматограмме. Для построения графиков готовят точно 1% -ные растворы чистых моносахаридов. На полоску хроматографической бумаги на расстоянии 3...4 см друг от друга наносят разные количества 1% -ного раствора сахара: 0,01; 0,02; 0,03; 0,04 и 0,05 см3. После высыхания пятен полоску проявляют раствором анилинфталата в этаноле в точно таких же условиях, как и при анализе гидролизатов. Проводят элюирование и фотометрирование, как описано выше. На основании средних данных нескольких параллельных определений для каждого моносахарида строят градуировочный график. Иногда градуировочный график для глюкозы используют для всех гексоз, а график для ксилозы - для всех пентоз. Последний способ менее точен.
6. Анализ гидролизатов методом газожидкостной хроматографии
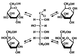
В гидролизатах происходит мутаротация моносахаридов, т.е. образование равновесной смеси таутомерных форм: б-, в-пиранозных, б-, в-фуранозных и открытой. Для глюкозы это иллюстрирует следующая схема:
Существование таутомерных форм затрудняет определение состава моносахаридов в гидролизате.
Моносахариды нелетучи и непосредственное разделение их смесей методом газожидкостной хроматографии невозможно. Сахара могут быть хроматографически разделены в виде летучих производных - простых и сложных эфиров. Широко распространен метод анализа в виде триметилсилильных производных моносахаридов. Последние являются летучими гликозидами простых О-триметилсилиловых эфиров углеводов, образующихся в результате полного замещения гидроксильных групп моносахаридов при их силировании.
В качестве силирующего реагента моносахаридов используют смесь триметилхлорсилана и гексаметилдисилазана в среде пиридина.
В качестве примера приводится схема реакции силирования для галактозы
Подобным образом синтезируются TMС-производные других моносахаридов. При этом устанавливается новая равновесная смесь, в которой преобладают пиранозные формы. Соотношение таутомеров в зависимости от условий колеблется. Состав ТМС-производных таутомерных форм индивидуальных моносахаридов приведен ниже.
Для уменьшения числа пиков на хроматограмме и упрощения ее обработки моносахариды восстанавливают до соответствующих многоатомных спиртов с последующим их превращением в ацетаты. Каждый полиол дает на хроматограмме один пик, поскольку таутомерия у полиолов невозможна.
При анализе ТМС-производных методом газожидкостной хроматографии инертный газ служит подвижной фазой, неподвижной фазой является жидкость, нанесенная тонким слоем на твердый носитель. В качестве жидкой фазы используют различные силиконовые масла и полиэфиры. Наиболее селективными фазами из вырабатываемых отечественной промышленностью являются неполярное метилхлорсиликоновое масло и полярный политриэтиленгликольсебацинат. В качестве твердого носителя применяют адсорбенты порохром-3 или хромат N.
Для хроматографического разделения смеси летучих производных моносахаридов используют газовые хроматографы, состоящие из колонки с термостатом, в которой происходит разделение смеси, пламенно-ионизационного детектора, дающего сигнал прямо пропорциональный количеству анализируемого вещества, блоков управления и самопишущего прибора. Выход ТМС-производных, регистрирующийся самопишущим прибором в виде пика на диаграммной ленте, соответствует времени удерживания tR - времени, прошедшего с момента введения пробы в колонку до момента появления компонента смеси в детекторе.
В соответствии с tR на хроматограмме в определенном порядке появляются пики индивидуальных соединений. Xpoматограмма - совокупность пиков, соответствующая порядку выхода и массе индивидуальных компонентов смеси. Порядок выхода при хроматографическом разделении ТМС-производных зависит от жидкой фазы. Его устанавливают предварительно для данной фазы с использованием модельных ТМС-производных чистых моносахаридов по их времени удерживания. На рис. приведена в качестве примера хроматограмма модельной смеси, разделенной на колонке с метилхлорфенил-силиконовым маслом в качестве жидкой фазы.
Существует несколько методов количественного определения состава смеси по полученным хроматограммам. По первому методу определяют площади пиков всех таутомеров каждого моносахарида расчетом площади треугольной аппроксимацией пика - умножением основания пика на половину высоты. При частичном наложении пиков друг на друга и невозможности прямого измерения основания площадь пика определяют умножением его высоты на ширину, измеренную на половине высоты. Возможно также определять долю каждого пика его переносом на бумагу и взвешиванием вырезанного из нее пика на аналитических весах, относя найденную массу к массе всех анализируемых пиков. Результат выражают в процентах, используя метод нормировки площадей.
Хроматограмма модельной смеси TMC производных моносахаридов
По второму методу количественное определение массовой доли конкретного моносахарида в смеси производят по площади пика одного из его таутомеров, исходя из условия, что при синтезе ТМС-производных в строго постоянных условиях соотношение таутомеров сохраняется постоянным. Это позволяет для расчета выбрать наиболее разрешенный пик, называемый характеристическим. В качестве таких пиков обычно используют пики ТМС-производных в-Ж,-арабинопиранозы, в-П-кси-лопиранозы, a-D-маннопиранозы, a-D-галактопиранозы и в-D-глюкопиранозы. Площади пиков остальных таутомеров непосредственно не измеряют, а находят расчетом. С учетом доли характеристического пика вычисляют общую площадь пиков всех таутомеров данного моносахарида. Количественное соотношение таутомерных форм необходимо устанавливать для данных условий хроматографирования и при. их изменении определение следует проводить вновь. Долю конкретного моносахарида находят отнесением площади всех пиков данного моносахарида к общей площади всех пиков.
Количественное определение массы индивидуальных моносахаридов производят с использованием внутреннего стандарта. Масса сорбита, добавляемая в анализируемую смесь, должна обеспечить его концентрацию в растворе, примерно соответствующую концентрации индивидуальных моносахаридов. Расчет ведут по градуировочному графику. График получают, по данным хроматографирования эталонных растворов, содержащих индивидуальный моносахарид и сорбит. Градуировочный график строят в координатах: по оси абсцисс - масса чистого моносахарида в эталонном растворе, по оси ординат - отношение площади характеристического пика этого же моносахарида к площади пика внутреннего стандарта. График имеет линейную форму. Прямую линию проводят с использованием метода наименьших квадратов.
Относительная ошибка определений Сахаров в гидролизате зависит от их массовой доли в жализируемой смеси и составляет 1...5%. Общее время анализа при серийном проведении определений около 2 ч, не считая времени на получение градуировочных графиков.
Методика анализа. Анализ гидролизатов методом газожидкостной хроматографии включает подготовку гидролизатов к анализу, синтез ТМС-производных моносахаридов, хроматографическое разделение этих производных и обработку хроматограмм.
Подготовка гидролизатов к анализу. Гидролизаты, полученные при обработке древесины концентрированной серной кислотой, нейтрализуют карбонатом бария до рН 5. Раствор отфильтровывают через конусообразную стеклянную воронку с бумажным фильтром от осадка сульфата бария. Гидролизаты, полученные при обработке древесины соляной кислотой, нейтрализуют карбонатом натрия до рН 5. В полученных гидролизатах определяют массовую долю PB. При необходимости гидролизат упаривают в вакуум-сушильном шкафу при температуре 40°С.
Синтез ТМС-производных моносахаридов. В круглодонную колбу вместимостью 50 см3 вносят пипеткой пробу нейтрализованного и упаренного гидролизата, содержащего около 20 мг PB.
Работу выполняют в двух вариантах - с внутренним стандартом или без него.
Раствор сорбита вносят в колбу пипеткой в объеме, соответствующем его массе, равной 2...5 мг. Колбу присоединяют к ротационному вакуумному испарителю и выпаривают раствор при температуре 40...42°С и остаточном давлении 0,5...1 кПа. Выпаривание производят досуха. Для удаления следов воды к упаренной пробе добавляют 2...3 раза по 1 см3 спиртотолуольной смеси, которую также удаляют упариванием. Затем сухой остаток в этой же колбе растворяют в 2 см3 свежеперегнанного сухого пиридина, добавляют 0,6 см3 гексаметилдисилазана и 0,3 см3 триметилхлорсилана. Колбу закрывают пробкой, энергично встряхивают 30 с и при комнатной температуре выдерживают реакционную смесь в течение 10 мин.
Если анализируемая проба плохо растворяется, колбу нагревают на водяной бане при температуре 75...85°С в течение 2...3 мин. Затем проводят упаривание пиридина из реакционной смеси на ротационном испарителе при температуре 40°С и остаточном давлении 0,5...1 кПа в течение 10 мин. Остаток растворяют в этой же колбе в 2 см3 "-гексана. В хорошо закрытых колбах ТМС-производные устойчивы в течение нескольких недель.
Массовую долю каждого моносахарида в гидролизате, %, рассчитывают по формуле
где т, - масса моносахарида в пробе гидролизата, мг; х - объем пробы гидролизата, см3.
По полученным значениям с, Для гидролизатов легко - и трудногидролизуемых полисахаридов рассчитывают массовые доли соответствующих полисахаридов в процентах по отношению к абсолютно сухой древесине.
По второму варианту рассчитывают долю каждого моносахарида в процентах от их обшей массы по методу нормировки площадей. Вычисляют сумму площадей всех пиков S и площади пиков каждого моносахарида S4.
















