166414 (740250)
Текст из файла
Реферат
Легко- и трудногидролизуемые полисахариды
Тамбов, 2009
Содержание
Введение
1. Методы определения редуцирующих веществ в гидролизатах
2. Определение легкогидролизуемых полисахаридов
3. Определение трудногидролизуемых полисахаридов
4. Определение массовой доли PB в гидролизатах по методу Макэна и Шоорля
5. Определение массовой доли PB в гидролизатах эбулиостатическим методом
6. Анализ гидролизатов методом газожидкостной хроматографии
Введение
Определение легко - и трудногидролизуемых полисахаридов в древесине основано на реакциях их гидролиза с последующим нахождением общего количества образовавшихся моносахаридов по редуцирующей способности. Для определения содержания отдельных моносахаридов в гидролизатах - гексоз и пентоз - используют хроматографический анализ.
Легко- и трудногидролизуемые полисахариды разделяют, используя различные условия гидролиза. Для гидролиза легкогидролизуемых полисахаридов применяют обработку древесины разбавленными минеральными кислотами, а для гидролиза трудногидролизуемых полисахаридов - обработку концентрированной кислотой при температуре 20...25°С. Для полного гидролиза полисахаридов древесины вместо серной кислоты можно использовать трифторуксусную кислоту.
Гидролиз полисахаридов разбавленной кислотой идет в гетерогенной среде, а гидролиз концентрированной кислотой - в гомогенной. В концентрированной кислоте полисахариды сначала набухают и растворяются, а затем уже происходит их гидролитическая деструкция. Однако в связи с недостатком воды в реакционной смеси продуктами гидролиза в концентрированной кислоте являются не моносахариды, а олигосахариды.
Они образуются, во-первых, при частичном гидролизе полисахаридов, а во-вторых, в результате реверсии моносахаридов - реакции обратной гидролизу. Для доведения гидролиза до конечной стадии - получения моносахаридов - проводят дополнительный гидролиз - инверсию. Раствор олигосахаридов в концентрированной кислоте разбавляют и кипятят в течение 3...5 ч.
При анализе малоизученного сырья рекомендуется проводить предварительные опыты для установления необходимой продолжительности стадии дополнительного гидролиза до достижения максимального выхода моносахаридов.
При слишком длительной стадии дополнительного гидролиза начинается распад моносахаридов, а также происходит реакция реверсии.
1. Методы определения редуцирующих веществ в гидролизатах
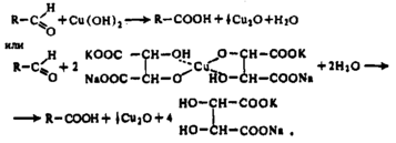
Для определения общего количества легко - или трудногидролизуемых полисахаридов находят концентрацию редуцирующих веществ в гидролизатах. Определение легко - и трудногидролизуемых полисахаридов по концентрации редуцирующих веществ не является вполне точным. В гидролизатах редуцирующими веществами будут не только моносахариды, но также и продукты их распада в кислой среде. В гидролизатах трудногидролизуемых полисахаридов PB состоят главным образом из глюкозы и небольших количеств маннозы, ксилозы, фруктозы. В гидролизатах легкогидролизуемых полисахаридов состав PB более разнообразен: глюкоза, манноза, галактоза, ксилоза, арабиноза, рамноза, глюкуроновая и галактуроновая кислоты, продукты распада моносахаридов. Все вещества имеют различную редуцирующую способность. Учесть эти различия при расчете результатов анализа практически невозможно. Поэтому принято концентрацию PB в гидролизатах определять чаще всего в пересчете на глюкозу. Для определения общего выхода PB пользуются методом Бертрана или эбулиостатическим методом, основанными на реакции окисления Сахаров медно-щелочным раствором, в результате которой двухвалентная медь Cu2+ переходит в одновалентную Cu+ и выпадает в осадок в виде оксида меди Cu2O. В качестве медно-щелочного раствора используют реактив Фелинга, который получают непосредственно при проведении анализа смешиванием растворов сульфата меди и щелочного раствора сегнетовой соли, в результате чего получается растворимый комплекс, содержащий Cu2+,
Упрощенно окисление альдоз реактивом Фелинга можно представить схемой
В действительности же окисление редуцирующих Сахаров медно-щелочным раствором представляет не одну определенную реакцию, а множество реакций, происходящих одновременно. При этом носителями редуцирующих свойств являются не только сами сахара, но и продукты их дальнейших превращений и распада. Таким образом, здесь нельзя ожидать стехиометрически протекающей реакции и написать точное уравнение реакции фактически невозможно. Поэтому для пересчета массы восстановленной меди в массу Сахаров пользуются эмпирическими таблицами.
Первоначально при определении PB методом Бертрана осадок Cu2O взвешивали. Впоследствии количество восстановленной меди стали определять титриметрическими методами - прямого или обратного титрования.
В прямом методе осадок Cu2O растворяют в растворе додекагидрата сульфата железа - аммония NH4Fe2 · 12Н20 в присутствии серной кислоты. При этом Cu+ окисляется в Cu2+, a Fe3+ восстанавливается в Fe2+ по уравнению
Раствор FeSO4 титруют раствором перманганата калия
По количеству перманганата калия, израсходованного на реакцию окисления железа, вычисляют массу меди в Cu2O и по эмпирической таблице находят массу Сахаров в пересчете на глюкозу.
Ввиду того, что оксид меди легко окисляется на воздухе, определение Сахаров приводит к неточным результатам. Кроме того, для метода Бертрана характерно большое число операций. При нагревании медно-щелочного раствора возможно его самовосстановление. Самовосстановление меди можно учесть, если провести контрольное определение.
Более точный и простой метод обратного титрования был разработан Макэном и Шоорлем. Этот метод основан на йодометрическом определении избытка реактива Фелинга.
Самовосстановление в этом методе учитывают, так как расход реактива Фелинга определяют по разности между результатами контрольного и рабочего титрований.
В обоих методах взаимодействие PB с реактивом Фелинга происходит при свободном доступе кислорода воздуха, и необходимо пользоваться эмпирическими таблицами. Этих недостатков лишен эбулиостатический метод, основанный на прямом титровании горячего медно-щелочного раствора исследуемым раствором сахара в специальном приборе - эбулиостате, позволяющем производить анализ в токе водяного пара, т.е. без доступа воздуха. Эмпирические таблицы не требуются. Устанавливают титр медно-щелочного раствора по раствору глюкозы известной концентрации.
Общий выход PB при количественном гидролизе определяют как сумму редуцирующих веществ, полученных при определении легко - и трудногидролизуемых полисахаридов. Наиболее точное представление о качественном и количественном составе редуцирующих веществ гидролизатов получают с помощью хроматографических методов анализа.
2. Определение легкогидролизуемых полисахаридов
Методика анализа. Навеску воздушно-сухих опилок массой около 5 г помещают в коническую колбу вместимостью 500 см3, добавляют 200 см3 2% -ной HCI и кипятят с обратным холодильником на электрической плитке в течение 3 ч. Для регулирования кипения под колбу подкладывают асбестовую сетку или колбу приподнимают над плиткой. Все опилки должны находиться в кислоте. Для этого после разогрева содержимое колбы осторожно перемешивают. По окончании гидролиза отфильтровывают опилки на воронку Бюхнера с бумажным фильтром с отсосом. Остаток на фильтре промывают горячей водой до отрицательной реакции на кислоту по индикатору метиловому оранжевому и используют для определения трудногидролизуемых полисахаридов. Фильтрат и промывные воды переносят в мерную колбу вместимостью 500 см3, доводят раствор после охлаждения дистиллированной водой до метки и тщательно перемешивают. В полученном растворе определяют массовую долю PB в процентах.
Массовую долю легкогидролизуемых полисахаридов, % к абсолютно сухой древесине, рассчитывают по формуле
где с" - массовая доля PB в гидролизате легкогидролизуемых полисахаридов, %; V - объем гидролизата, V=500 см3; k" - коэффициент пересчета моносахаридов в полисахариды; g - масса абсолютно сухой навески древесины, г.
Коэффициент пересчета k" вычисляется на основании реакций гидролиза полисахаридов. Для пентозанов 1гл-132/150=0,88, а для гексозанов A1 = 162/180 = 0,90, где 132 и 162 - молекулярные массы звеньев соответствующих полисахаридов, а 150 и 180 - молекулярные массы пентоз и гексоз. Принимая содержание гексоз и пентоз в гидролизатах древесины хвойных пород примерно равным, для расчета используют значение коэффициента £, = 0,89; для гидролизатов древесины лиственных пород берут = 0,88.
3. Определение трудногидролизуемых полисахаридов
Методика анализа. Остаток древесины после гидролиза легкогидролизуемых полисахаридов и промывки количественно переносят с фильтра в стакан вместимостью 100 см3 и подсушивают при 50...60°С примерно до воздушно-сухого состояния, а затем обрабатывают 35...40 см3 80% -ной H2SO4 при комнатной температуре в течение 3 ч, периодически перемешивая стеклянной палочкой. Смесь из стакана количественно переносят в коническую колбу вместимостью 1000 см3, смывая дистиллированной водой в количестве 600 см3. Колбу присоединяют к обратному холодильнику и кипятят на электрической плитке в течение 3 ч. После окончания дополнительного гидролиза фильтруют раствор через воронку Бюхнера с бумажным фильтром с отсосом. Остаток на фильтре промывают небольшими порциями горячей воды до отрицательной реакции на кислоту по индикатору метиловому оранжевому. Фильтрат и промывные воды переносят в мерную колбу вместимостью 1000 см3. После охлаждения доводят объем раствора до метки дистиллированной водой и тщательно перемешивают.
Из полученного раствора отбирают пипеткой 50 см3 в мерную колбу на 100 см3 и осторожно при постоянном перемешивании нейтрализуют 20% -ным раствором NaOH по метиловому оранжевому. Объем раствора доводят до метки дистиллированной водой. В нейтрализованном растворе определяют концентрацию PB.
Массовую долю трудногидролизуемых полисахаридов, % к абсолютно сухой древесине, рассчитывают по формуле
где ст - массовая доля PB в разбавленном нейтрализованном гидролизате, %; V - общий объем кислого гидролизата, V= = 1000 см3; з - разбавление гидролизата при нейтрализации, л= 100/50 = 2; kT - коэффициент пересчета моносахаридов в полисахариды, равный 0,90; g - масса абсолютно сухой навески древесины, г.
Коэффициент пересчета берут равным 0,90, поскольку основным сахаром в гидролизате трудногидролизуемых полисахаридов является глюкоза.
4. Определение массовой доли PB в гидролизатах по методу Макэна и Шоорля
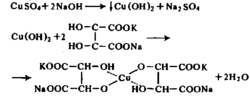
Для получения реактива Фелинга готовят два раствора А - 69,3 г CuSO4 5Н20 в 1 дм3 водного раствора; Б - 346 г сегнетовой соли и 100 г NaOH в 1 дм3 водного раствора.
Методика анализа. В коническую колбу вместимостью 250 см3 вливают пипеткой 10 см3 раствора А, затем 10 см3 раствора Б и 20 см3 гидролизата легкогидролизуемых полисахаридов или нейтрализованного гидролизата трудногидролизуемых полисахаридов. Смесь разбавляют дистиллированной водой до общего объема 50 см3 и хорошо перемешивают. Ставят колбу на горячую включенную электроплитку, нагревают смесь до кипения в течение 3 мин и кипятят точно 2 мин, считая с момента появления первого пузырька на поверхности раствора.
Под колбу рекомендуется подложить асбестовую пластинку с круглым вырезом диаметром около 6 см. Кипение должно быть умеренным, чтобы объем жидкости в колбе оставался примерно постоянным. Для уменьшения испарения в горло колбы вставляют маленькую конусообразную стеклянную воронку.
При недостатке реактива Фелинга, о чем свидетельствует исчезновение синей окраски раствора после кипячения, объем пробы гидролизата уменьшают, добавив при разбавлении соответствующий объем воды. По окончании кипячения колбу быстро охлаждают холодной водой до 25°С, добавляют раствор KI и 10 см3 25% -ной H2SO4 и сразу же при непрерывном перемешивании титруют выделившийся иод раствором тиосульфата натрия концентрацией 0,1 моль/дм3 до перехода коричневой окраски в светло-желтую.
Характеристики
Тип файла документ
Документы такого типа открываются такими программами, как Microsoft Office Word на компьютерах Windows, Apple Pages на компьютерах Mac, Open Office - бесплатная альтернатива на различных платформах, в том числе Linux. Наиболее простым и современным решением будут Google документы, так как открываются онлайн без скачивания прямо в браузере на любой платформе. Существуют российские качественные аналоги, например от Яндекса.
Будьте внимательны на мобильных устройствах, так как там используются упрощённый функционал даже в официальном приложении от Microsoft, поэтому для просмотра скачивайте PDF-версию. А если нужно редактировать файл, то используйте оригинальный файл.
Файлы такого типа обычно разбиты на страницы, а текст может быть форматированным (жирный, курсив, выбор шрифта, таблицы и т.п.), а также в него можно добавлять изображения. Формат идеально подходит для рефератов, докладов и РПЗ курсовых проектов, которые необходимо распечатать. Кстати перед печатью также сохраняйте файл в PDF, так как принтер может начудить со шрифтами.
















