166230 (740169), страница 2
Текст из файла (страница 2)
для давления паров (P-в мм рт. ст., Т-в °C):
для плотности:
для поверхностного натяжения (30-90°C):
Распространенные в технике три основных процесса полимеризации стирола приводят к получению продукта, разного внешнего вида. При блочной полимеризации процесс ведут путем постепенного нагревания жидкого мономера. Температурный режим подбирают таким образом, чтобы полимеризующаяся масса все время находилась в вязкотекучем состоянии. Это означает, что в конце процесса, когда конверсия мономера достигает значения, близкого к предельному, температура расплавленного полистирола должна быть порядка 200–230 °С. Массу продавливают через фильеры путем экструзии и в горячем или холодном состоянии разрезают на гранулы. Путем повторной экструзии блочный полистирол окрашивают и используют для дальнейшей переработки в изделия.
Таблица 3 –Зависимость некоторых свойств стирола от температуры
| Температура, °C | Плотность, Мг/см3 | Вязкость, Па×с | Удельная теплоемкость, кДж/(кг×К) | Давление, мм рт.ст. | Теплота испарения, кДж/моль |
| 0 10 20 25 30 40 50 60 70 80 90 100 110 120 130 140 150 | 0,9238 0,9150 0,9063 0,9019 0,8975 0,8887 0,8800 0,8712 0,8624 0,8537 0,8449 0,8361 0,8274 0,8186 0,8098 0,8011 0,7925 | 9,76 8,77 7,81 7,30 6,94 6,21 5,52 4,90 4,38 3,92 3,48 3,12 2,78 2,48 2,21 1,96 1,75 | 1,634 1,660 1,686 1,700 1,719 1,748 1,781 1,809 1,843 1,884 1,927 1,980 2,042 2,110 2,165 2,240 2,320 | 1,3 2,6 4,9 6,6 8,8 15,2 25,0 39,8 61,0 92,0 134 196 270 371 500 665 880 | 44,6 44,2 43,8 43,6 43,3 42,9 42,5 42,0 41,6 41,2 40,7 40,2 39,7 39,3 38,7 38,2 37,6 |
Продукты, получающиеся в результате суспензионной и эмульсионной полимеризации, представляют собой шарообразные частицы, различающиеся размером. Суспензионный полистирол крупнее – средний размер частиц – 4×5 мм. Эмульсионный продукт – «бисер» – имеет средний размер частиц
1–10 мкм [3].
Таблица 4 – Основные физические свойства полистирола
| Плотность при 20 °C, г/см3 | 1,04–1, 965 (аморфного) 1,12 (кристаллического) |
| Удельная теплоемкость при 20 °C, кДж/(кг×К) | 1,258 (20 °C) 1,84 (100 °C) |
| Термический коэффициент объемного расширения при 25 °C, 1/°C | (1,7–2,1) ×10-4 при Т<Тст (5,1–6,0) ×10-4 при Т>Тст |
| Коэффициент теплопроводности, Вт/(м×К) | 0,1165 (50 °C ) 0,1276 (100 °C) |
| H сгорания, кДж/моль | – 434×10-3 |
| H растворения, кДж/моль | – 3,59 |
| H плавления кристаллов, кДж/моль | 8,373 |
| Вязкость расплава, Па×с при 217 °C | K=13,40 – 2,65 ×10-4 при Т<Тст – 6,05×10-4 при Т>Тст |
| Коэффициент преломления nD (в блоке) | 1,59–1,60 |
| Коэффициент Пуассона | 0,325 |
| Диэлектрическая проницаемость | 2,49–2,55 |
3.2. Химические свойства
Химические свойства стирола обусловлены высокой реакционной способностью боковой винильной группы. Фенильное ядро затрагивается в процессе термической полимеризации на стадии инициирования. При окислении стирола на воздухе происходит образование полимера, формальдегида и бензальдегида.
Полистирол относится к группе весьма инертных пластмасс. Он стоек к действию щелочей и галогеноводородных кислот. Нестоек к действию концентрированной азотной кислоты и ледяной уксусной кислоты.
Термическая деструкция полистирола с заметной скоростью протекает при температурах выше 200 °С. Основным продуктом разложения является мономерный стирол. Полистирол горюч. Для того чтобы понизить опасность возгорания, в него добавляют фосфорсодержащие соединения. Широкое использование полистирола в быту, строительстве, пищевой индустрии диктует необходимость максимального снижения содержания в нем остаточного мономера. По действующим нормам пищевой полистирол должен содержать менее 0,3% мономера [3].
4. Получение полистирола
Основным методом производства стирола в технике до сих пор является каталитическое дегидрирование этилбензола при высоких температурах. Этилбензол, в свою очередь, получают каталитическим жидкофазным алкилированием бензола этиленом на безводном AlCl3 в мягких условиях. Выход полупродукта и мономера в обоих процессах близок к 90 % от теории. Наибольшую сложность вызывает очистка конечного, продукта от этилбензола и побочных веществ (бензола, толуола и др.), которая производится многоступенчатой ректификацией смеси [3].
Исследования, проводящиеся крупнейшими фирмами-производителями стирола, позволяют постепенно совершенствовать технологию его производства. Применяются три типа реакторов дегидрирования – адиабатические с неподвижным слоем катализатора, трубчатые изотермические и секционные.
Поиски новых путей синтеза стирола, по-видимому, не являются совершенно безнадежными. Так, опубликовано сообщение о пуске в Испании установки производства стирола мощностью 79,4 тыс. т/год, работающей по следующей схеме: этилбензол в мягких условиях окисляется в гидроперекись этилбензола, которая затем взаимодействует с пропиленом в присутствии нафтената молибдена, образуя метилфенилкарбинол и окись пропилена. Метилфенилкарбинол выделяют и дегидратируют в стирол. Таким образом, установка производит стирол, и окись пропилена (50 % от выпуска стирола). Хотя запатентовано много других способов получения стирола, включая прямой пиролиз нефти, проблема выделения продукта из смеси компонентов с близкой температурой кипения до сих пор остается неодолимым препятствием для промышленного внедрения. Правда, и в этом; направлении возможны принципиально новые решения, например, японская фирма «Тогау» сообщила о разработке высокоэффективного процесса экстрактивной ректификации стирола из фракций, образующихся при пиролизе бензина в этилен и содержащих обычно до 30–35 % стирола, около 52 % ксилола и его изомеров, а также этилбензол и другие компоненты. Конкретные детали процесса неизвестны, но авторы утверждают, что при производстве мощностью 20 тыс. т/год себестоимость стирола, получаемого в этом процессе, будет на 30–40 % ниже обычной [3].
Товарный стирол обычно содержит 99,6–99,7 % основного продукта и в большинстве случаев используется для проведения полимеризации без какой-либо предварительной очистки. В лабораторных условиях, когда к воспроизводимости результатов предъявляют высокие требования, стирол очищают вакуум-перегонкой. Стирол весьма плохо растворяет воду (таблица 5), так что специальной очистки от нее при радикальной полимеризации обычно не требуется. Для проведения ионной полимеризации стирол осушают, используя слабощелочные осушающие реагенты – окись кальция, силикагель, сернокислый или хлористый кальций [7].
Ярко выраженная склонность стирола к спонтанной (термической) полимеризации, протекающей по радикальному механизму, часто заставляет
Таблица 5 – растворимость воды в стироле и стирола в воде
| Температура, °C | Растворимость воды, вес % | Растворимость стирола, вес % |
| 25 40 60 80 | 0,07 0,10 0,14 0,18 | 0,031 0,040 0,051 0,062 |
применять при его хранении ингибиторы типа гидрохинона (или n-mpem-бутилпирокатехина). Ингибиторы препятствуют также окислению стирола на воздухе и накоплению в нем перекисей, однако они эффективны при температурах ниже 100 °С [3].
Полимеризация стирола. Процесс состоит из трех стадий. Вначале в некоторых из многих молекул, содержащихся в реакционном сосуде, благодаря повышенной температуре и присутствию катализатора расщепляются двойные связи. Иными словами, эти молекулы активируются (первая стадия полимеризации). Затем активные частицы активируют следующие молекулы стирола, соединяются с ними, образуя цепь (следующая стадия).
Рост цепи прекращается, если соединяются две растущие цепи или если к растущей цепи присоединяется другой остаток, например фрагмент катализатора. Эта стадия называется обрывом цепи.
5. Структура полистирола
Первичные ламели имеют значительную поверхностную энергию, поэтому происходит их агрегация, приводящая к образованию монокресталов - более сложных надмолекулярных образований. При кристаллизации из расплава или концентрированного раствора полимера наиболее общего типа вторичного кристаллического образования является сферолит (рисунок 3), имеющий кольцевую или сферическую форму и достигающую гигантских размеров до 1см. В радикальных или сферических сферолитах каркас формируется из ленточных, кристаллических образований направленных от центра к периферии [6].
Рисунок 3 – Надмолекулярная структура полимеров: г) сферолитная лента (изотактический полистирол)
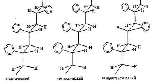
Полученные обычным способом поливинилхлорид, поливинилфторид и полистирол обладают гораздо меньшей степенью кристалличности и имеют более низкие температуры плавления; у этих полимеров физические свойства сильно зависят от стереохимической конфигурации. Полистирол, полученный методом свободнорадикальной полимеризации в растворе, является атактическим. Этот термин означает, что если ориентировать углеродные атомы полимерной цепи, придав ей, правильную зигзагообразную форму, то фенильные боковые группы окажутся распределенными случайным образом по одну и по другую сторону вдоль цепи (как это показано на рисунке 4). При полимеризации стирола в присутствии катализатора Циглера образуется изотактический полистирол, отличающийся от атактиче-ского полимера тем, что в его цепях все фенильные группы расположены по одну или по другую сторону цепи. Свойства атактического и изотактического полимеров различаются весьма существенно. Атактический полимер можно формовать при значительно более низких температурах, и он растворим в большинстве растворителей намного лучше изотактического. Существует много других типов стереорегулярных полимеров, один из которых назван синдиотактическим; в цепях этого полимера боковые группы расположены попеременно то по одну, то по другую сторону цепи, как это показано на рисунке 4 [5].
Рисунок 4 – Конфигурации атактического, изотактического и синдиотактического полистирола [5]
6. Способы отверждения, температура стеклования
Температура стеклования (Тст) соответствует температуре, при которой возникает подвижность сегментов полимерных цепей.














