165687 (739901), страница 3
Текст из файла (страница 3)
Більшість флавоноїдів — малотоксичні речовини, які легко засвоюються зі шлунка кишкового тракту і швидко окислюються. Разом з вітаміном С вони беруть участь в окислювально-відноплювальних процесах, гальмують дію гіалуронідази, виявляють антиоксидантні властивості та захищають від окислення аскорбінову кислоту (вітамін С) і адреналін. Недостатнє надходження вітаміну Р в організм людей і тварин приводить до підвищення ламкості стінок кровоносних судин, проникності капілярів і крововиливів.
Сполуки з Р-вітамінними властивостями, розповсюджені в природі, містяться в тих самих продуктах, що і вітамін С. У фармації виробляють індивідуальні препарати кверцетину, рутину, катехіну та комбіновані препарати вітаміну Р і С замість індивідуальних. Виробляють цитрин із відходів переробки лимонів; кверцетин та його глюкозид (рутин) одержують із зеленої маси гречки; катехіни — з чайних листків. У колишньому Радянському Союзі дослідження катехінів із чаю проводились під керівництвом академіка А.А. Курсанова. Вчені розробили і втілили у виробництво технологію одержання катехінів із відходів чайного виробництва.
Біофлавоноїди широко розповсюджені у рослинному світі, часто у вигляді жовтих пігментів у листках, плодах і ягодах. Вони входять також до складу барвників багатьох квітів, коренів і стебел рослин. Частіше вони розчинені в клітинному соці, рідше знаходяться в клітинних оболонках. Вміст вітаміна Р у ряді продуктів:
вишня – 1300-2500 мг;
чорна смородина – 1000-1500 мг;
шипшина (сухий) – 680 мг;
апельсин – 500 мг;
лимон – 500 мг;
перець червоний солодкий – 500 мг;
щавель – 500 мг;
виноград (чорний) – 250-430 мг;
клюква – 240-330 мг;
гранати – 200-700 мг;
кріп – 170 мг;
петрушка – 157 мг;
персики – 80-350 мг;
картопля – 15-35 мг;
яблука - 10-70 мг.
Препарати на основі біофлавоноїдів, успішно застосовуються при лікуванні хворих, що страждають підшкірними крововиливами, кровотечами зі слизової оболонки, тобто в тих випадках, коли спостерігається порушення проникності або крихкість капілярів. У цих випадках ефективно вживати разом препарати вітаміну Р та вітамін С. Як лікувальні засоби практичне застосування мають комбіновані препарати вітамінів С і Р. Вітамін P сприяє підтримці нормального тиску крові, проявляє протизапальну і антиалергічну дію, сприяє розширенню судин, надає протинабряклу і м'яку спазмолітичну дію. Висловлюється думка, що вітамін P може м'яко стимулювати функцію кори надниркових і тим самим збільшувати синтез глюкокортикоїдів, що надають лікувально-профілактичну дію при багатьох станах. Вважають, що вітамін Р при дозах до 60 міліграма в добу (при прийомі принаймні протягом чотирьох тижнів) здатний знижувати рівень внутрішньоочного тиску, що застосовується з профілактичною метою і для допоміжної терапії глаукоми. У клінічній практиці вітамін P застосовують при геморагічному діатезі, виразковій хворобі шлунку і дванадцятипалої кишки, гіпертонічній хворобі, атеросклерозі, ревматизмі і інших патологічних станах.
Лікувальна дія багатьох лікарських рослин та різноманітних препаратів із них, а також користь вживання чаю, саме і обумовлені великим вмістом в них біофлавоноїдів.
Добова потреба у вітаміні Р не визначена. Для лікування та профілактики людині рекомендовано, наприклад у Швейцарії, вживати щоденно вітаміну Р від 10 до 20 мг, в Росії — від 50 до 100 мг.
6. ХОЛІН
Попередні назви — нейрін, нейдрін, фагін, аматін) — широко розповсюджена сполука в тканинах живих істот. Як один із компонентів він входить до складу молекули фосфоліпідів (лецитинів та сфінгомієлінів), які, в свою чергу, є структурними складовими клітинних мембран. Крім участі у синтезі фосфоліпідів, холін є, як вже згадувалось, багатим донором метальних груп, а також попередником у синтезі нейромедіатору ацетилхоліну.
Холін є гідроокисом ((β-оксиетил)-триметиламонію, який містить три метильні групи при атомі азоту:
Гідроксильна група при азоті знаходиться в іонізованому стані, внаслідок чого холін є сильною основою. Емпірична формула холіну — С5Н15О2N. Це безбарвна сполука, яка погано кристалізується через високу гігроскопічність, тому зазвичай зустрічається у вигляді сиропоподібної рідини. Холін має здатність утворювати солі з багатьма органічними і неорганічними кислотами. Частіше використовується його хлористоводнева сіль. Як і холін, холінхлорид гігроскопічний, легко розчиняється у воді та спирті, його розчини нейтральні. Водні розчини холіну стійкі при нагріванні до температури 70 °С.
Холін — важливий фактор у харчуванні людей і тварин. Він синтезується в організмі та міститься в тканинах у досить великих концентраціях (35—100 мг на 1 кг ваги). Теоретично у здоровому організмі при збалансованому (за основними компонентами) харчуванні і наявності достатньої кількості фолієвої кислоти і вітаміну В12, які є кофакторами реакцій трансметилювання, організм не потребує обов'язкового надходження холіну з їжею. Але, у зв'язку з обмеженою здатністю нашого організму до синтезу метильних груп, в багатьох випадках така потреба виникає. Активації синтезу холіну в організмі сприяє введення з їжею інших донорів метильних груп, наприклад, метіоніну, якого багато в білках м'ясних та молочних продуктів.
При звичайному харчуванні немає підстав припускати, що у людини може виникнути первинна холінова недостатність. Але вона може виникнути при нестачі в їжі білків. Це попереження для вегетаріанців! Білкова недостатність може бути не тільки екзогенної природи, пов'язаною з обмеженим надходженням білка з їжею, але і ендогенного походження, коли через будь-які патологічні процеси в організмі порушується всмоктування та засвоєння білка. Експериментально доведено, що при недостачі холіну в організмі виникає порушення структури і функції нирок та жирова інфільтрація печінки (жирове переродження печінки), патоморфологічна картина якої подібна до жирового гепатозу в людини.
Потреба дорослої людини у холіні складає 0,5 — 1,5 г на добу. Звичайний харчовий раціон забезпечує надходження щоденно від 1,5 до 4 г холіну. Основна частина холіну надходить в організм людини з їжею, але частина його ще синтезується в організмі із етаноламіну і метіоніну. Холін широко розповсюджений в тваринних і рослинних продуктах, особливо його багато в яєчному жовтку, мозку, печінці, м'ясі великої рогатої худоби, нирках та серцевому м'язі, сирі та помідорах, зародках злаків, капусті, шпинаті.
В харчових продуктах рослинного і тваринного походження холін знаходиться (в мг/%):
-
яєчний жовток – 800 -1700 мг/%,
-
печінка – 350 – 650 мг/%,
-
зародки пшениці - 400 мг/%,
-
нирки – 300 мг/%,
-
соєва мука – 250 – 300 мг/%,
-
горох – 260 мг/%,
-
м'ясо птиці – 299 мг/%,
-
риба – 85 мг/%,
-
м'ясо – 70 – 85 мг/%,
-
зернові культури (овес, пшениця, ячмінь) – 140 мг/%,
-
рис – 75 - 78 мг/%,
-
кукурудза – 70 мг/%,
-
молоко – 15 мг/%.
Холін частково синтезується мікрофлорою кишечника людини (знаходиться як у вільному стані, так і у вигляді ефірів). Більше всього вільного холіну знаходиться у жовчі – до 550 мг у 100 мл. В плазмі крові дорослої людини концентрація вільного холіну складає в середньому 0,44 мг у 100 мл.
У фармакології холін є одним із основних представників так званих ліпотропних речовин, які попереджають або зменшують жирову інфільтрацію печінки. Препарати холіну використовуються при лікуванні захворювань печінки та інтоксикаціях: хворобі Боткіна, гепатитах, цирозі печінки (головним чином, на ранніх стадіях), гіпотиреозі, цистинурії, атеросклерозі, хронічному алкоголізмі. У медицині використовується холін хлорид, який одержують синтетичним шляхом.
При не достатку холіну у тварин уражаються нирки, порушується лактація, у деяких випадках розвивається параліч (схоже, що це пов’язано з участю ацетилхоліну у передачі нервових імпульсів). Хронічна недостатність холіну веде до анемії та гіпопротенемії.
В звичайних умовах життя практично не відмічені випадки ні гіпо- ні гіпервітамінозу вітаміну В4.
7. ПАНГАМОВА КИСЛОТА
Вітамін В15 широко розповсюджена у тваринному і рослинному світі, за що їй дали назву "пангамова" (пан—всюди, гам—насіння). Ніякої специфічної біохімічної функції для неї не знайдено. Завдяки наявності двох рухливих метильних груп пангамова кислота є активним їхнім донором у тканинах.
Пангамова кислота була вперше виділена з ядер абрикосових кісточок. Пізніше її виділили із інших рослинних та тваринних об’єктів. У 1953 р. речовині, яка була виділена із печінки, дали назву вітамін В 15. Як виявилось, за хімічним складом, вона подібна до пангамової кислоти. Кребс і співавтори у 1955 р. розшифрували склад пангамової кислоти і здійснили її синтез. Були отримані також аналогічні за будовою сполуки, але з більшою, ніж у природної пангамової кислоти, кількістю метильних груп (4, 8 і навіть 12). Експериментально доведено, що пангамова кислота зі збільшеною кількістю метильних груп, значно відрізняється за фізіологічною дією від природної.
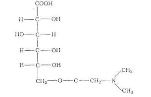
Пангамова кислота — це ефір D-глюконової кислоти і повністю алкілованої амінооцтової кислоти. Вона має таку структурну формулу:
Пангамова кислота має молекулярну масу 281. Солі пангамової кислоти легко кристалізуються.
Внаслідок найменшої гігроскопічності, в промисловості виробляють пангамат кальцію, який в основному і використовують в медицині. Він містить дві молекули пангамової кислоти. Його молекулярна маса 618, 7. В одній молекулі солі знаходиться чотири метильних групи. Важливою властивістю пангамової кислоти є те, що її метильні групи зв’язані з азотом. Це визначає їх лабільність, подібно метильним групам холіну та метіоніну. Кальцієва сіль пангамової кислоти також добре розчинна у воді, нерозчинна у спирті, ацетоні, органічних розчинниках, стійка в кислому середовищі.
Фармакопейні препарати пангамової кислоти позитивно впливають на обмін речовин: поліпшується ліпідний обмін, підвищується засвоєння кисню тканинами, збільшується вміст креатинфосфату в м'язах і глікогену в м'язах і печінці, усуваються явища гіпоксії. Завдяки здатності віддавати метильні групи пангамова кислота поліпшує ліпідний обмін, запобігаючи жировій інфільтрації печінки, активує детоксикацію під час отруєння хлорорганічними сполуками, антибіотиками тетрациклінового ряду, алкоголем, наркотичними речовинами.
Пангамова кислота міститься в дріжджах, крові бика, оболонках рису, печінці, бруньках, менше її в м'язах. В зв’язку з відсутністю методів визначення пангамової кислоти, більш детальні відомості про її вміст у харчових продуктах, відсутні. Потреба людини в пангамовій кислоті не встановлена, а з лікувальною метою її вводять у дозах 100—300 мг/добу.
8. ОРОТОВА КИСЛОТА
Вітамін В13 — вихідний продукт для синтезу уридинфосфату — компонента молекули нуклеїнових кислот. Оротова кислота (4-урацилкарбонова, або 2,4-діоксипіримідинкарбонова-6) належить до похідних піримідинових основ. У вільному стані вона являє собою кристали білого кольору з температурою плавлення 345 -346 ° С (з розкладанням). Молекулярна маса – 156,1. В кислотах вона нерозчинна, але добре розчиняється в лугах та гарячій воді (розчинність у воді при 18°С становить 0,2 %). Оротова кислота інтенсивно поглинає ультрафіолетове випромінювання (при рН 2,0: λmax=280 нм і λmin=240 нм, при рН=12 λmax=286 нм, λmin=243 нм) і має яскраво виражені кислотні властивості, легко утворюючи солі з металами.















