165338 (739517), страница 2
Текст из файла (страница 2)
Уголь, как это изложено ниже, служит важным источником сырья для получения ароматических соединений.
Рисунок 3 Вариант молекулярной модели низкосортного угля. Уголь представляет собой сложную смесь химических веществ, в состав которых входят углерод, водород и кислород, а также небольшие количества азота, серы и примеси других элементов. Кроме того, в состав угля в зависимости от его сорта входит различное количество влаги и различных минералов.
Рисунок 4 Углеводороды, встречающиеся в биологических системах.
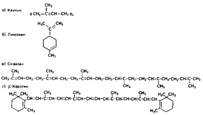
Углеводороды встречаются в природе не только в горючих ископаемых, но также и в некоторых материалах биологического происхождения. Натуральный каучук является примером природного углеводородного полимера. Молекула каучука состоит из тысяч структурных единиц, представляющих собой метилбута-1,3-диен (изопрен); ее строение схематически показано на рис. 4. Метилбута- 1,3-диен имеет следующую структуру:
Натуральный каучук. Приблизительно 90% натурального каучука, который добывается в настоящее время во всем мире, получают из бразильского каучуконосного дерева Hevea brasiliensis, культивируемого главным образом в экваториальных странах Азии. Сок этого дерева, представляющий собой латекс (коллоидный водный раствор полимера), собирают из надрезов, сделанных ножом на коре. Латекс содержит приблизительно 30% каучука. Его крохотные частички взвешены в воде. Сок сливают в алюминиевые емкости, куда добавляют кислоту, заставляющую каучук коагулировать.
Многие другие природные соединения тоже содержат изопреновые структурные фрагменты. Например, лимонен содержит два изопреновых фрагмента. Лимонен является главной составной частью масел, извлекаемых из кожуры цитрусовых, например лимонов и апельсинов. Это соединение принадлежит к классу соединений, называемых терпенами. Терпены содержат в своих молекулах 10 атомов углерода (С10-соединения) и включают два изопреновых фрагмента, соединенных друг с другом последовательно («голова к хвосту»). Соединения с четырьмя изопреновыми фрагментами (С20-соединения) называются дитерпенами, а с шестью изопреновыми фрагментами -тритерпенами (С30-соединения). Сквален, который содержится в масле из печени акулы, представляет собой тритерпен. Тетратерпены (С40-соединения) содержат восемь изопреновых фрагментов. Тетратерпены содержатся в пигментах жиров растительного и животного происхождения. Их окраска обусловлена наличием длинной сопряженной системы двойных связей. Например, β-каротин ответствен за характерную оранжевую окраску моркови.
Глава 3. ПРОМЫШЛЕННОЕ ПОЛУЧЕНИЕ УГЛЕВОДОРОДОВ
Алканы, алкены, алкины и арены получают путем переработки нефти (см. ниже). Уголь тоже является важным источником сырья для получения углеводородов. С этой целью каменный уголь нагревают без доступа воздуха в ретортной печи. В результате получается кокс, каменноугольный деготь, аммиак, сероводород и каменноугольный газ. Этот процесс называется деструктивной перегонкой угля. Путем дальнейшей фракционной перегонки каменноугольного дегтя получают различные арены (табл. 3). При взаимодействии кокса с паром получают водяной газ:
Таблица 3 Некоторые ароматические соединения, получаемые при фракционной перегонке каменноугольного дегтя (смолы)
| Фракция | Диапазон температур кипения, °С | Главные компоненты |
| Легкое масло | 80-170 | Бензол, метилбензол (толуол) |
| Среднее масло | 170-230 | Фенол, нафталин |
| Тяжелое масло (креозот) | 230-270 | Фенол, нафталин, антрацен |
| Зеленое масло | 270-400 | Антрацен |
| Остаток | >400 | Пек |
Из водяного газа с помощью процесса Фишера-Тропша можно получать алканы и алкены. Для этого водяной газ смешивают с водородом и пропускают над поверхностью железного, кобальтового или никелевого катализатора при повышенной температуре и под давлением 200-300 атм.
Процесс Фишера - Тропша позволяет также получать из водяного газа метанол и другие органические соединения, содержащие кислород:
Эта реакция проводится в присутствии катализатора из оксида хрома(III) при температуре 300°С и под давлением 300 атм.
В промышленно слаборазвитых странах такие углеводороды, как метан и этилен, все больше получают из биомассы. Биогаз состоит главным образом из метана. Этилен можно получать путем дегидратации этанола, который образуется в процессах ферментации.
Дикарбид кальция тоже получают из кокса, нагревая его смесь с оксидом кальция при температурах выше 2000°С в электрической печи:
При взаимодействии дикарбида кальция с водой происходит образование ацетилена. Такой процесс открывает еще одну возможность для синтеза ненасыщенных углеводородов из кокса.
Глава 4. ПЕРЕРАБОТКА НЕФТИ
Сырая нефть представляет собой сложную смесь углеводородов и других соединений. В таком виде она мало используется. Сначала ее перерабатывают в другие продукты, которые имеют практическое применение. Поэтому сырую нефть транспортируют танкерами или с помощью трубопроводов к нефтеперерабатывающим заводам.
Переработка нефти включает целый ряд физических и химических процессов: фракционную перегонку, крекинг, риформинг и очистку от серы.
§ 1. Фракционная перегонка
Сырую нефть разделяют на множество составных частей, подвергая ее простой, фракционной и вакуумной перегонке. Характер этих процессов, а также число и состав получаемых фракций нефти зависят от состава сырой нефти и от требований, предъявляемых к различным ее фракциям.
Из сырой нефти прежде всего удаляют растворенные в ней примеси газов, подвергая ее простой перегонке. Затем нефть подвергают первичной перегонке, в результате чего ее разделяют на газовую, легкую и среднюю фракции и мазут. Дальнейшая фракционная перегонка легкой и средней фракций, а также вакуумная перегонка мазута приводит к образованию большого числа фракций. В табл. 4 указаны диапазоны температур кипения и состав различных фракций нефти, а на рис. 5 изображена схема устройства первичной дистилляционной (ректификационной) колонны для перегонки нефти. Перейдем теперь к описанию свойств отдельных фракций нефти.
Таблица 4 Типичные фракции перегонки нефти
| Фракция | Температура кипения, °С | Число атомов углерода в молекуле | Содержание, масс. % |
| Газы | <40 | 1-4 | 3 |
| Бензин | 40-100 | 4-8 | 7 |
| Лигроин (нафта) | 80-180 | 5-12 | 7 |
| Керосин | 160-250 | 10-16 | 13 |
| Мазут: Смазочное масло и воск | 350-500 | 20-35 | 25 |
| Битум | >500 | >35 | 25 |
Рисунок 5 Первичная перегонка сырой нефти.
Газовая фракция. Газы, получаемые при переработке нефти, представляют собой простейшие неразветвленные алканы: этан, пропан и бутаны. Эта фракция имеет промышленное название нефтезаводской (нефтяной) газ. Ее удаляют из сырой нефти до того, как подвергнуть ее первичной перегонке, или же выделяют из бензиновой фракции после первичной перегонки. Нефтезаводской газ используют в качестве газообразного горючего или же подвергают его сжижению под давлением, чтобы получить сжиженный нефтяной газ. Последний поступает в продажу в качестве жидкого топлива или используется как сырье для получения этилена на крекинг-установках.
Бензиновая фракция. Эта фракция используется для получения различных сортов моторного топлива. Она представляет собой смесь различных углеводородов, в том числе неразветвленных и разветвленных алканов. Особенности горения неразветвленных алканов не идеально соответствуют двигателям внутреннего сгорания. Поэтому бензиновую фракцию нередко подвергают термическому риформингу, чтобы превратить неразветвленные молекулы в разветвленные. Перед употреблением эту фракцию обычно смешивают с разветвленными алканами, циклоалканами и ароматическими соединениями, получаемыми из других фракций путем каталитического крекинга либо риформинга.
Качество бензина как моторного топлива определяется его октановым числом. Оно указывает процентное объемное содержание 2,2,4-триметилпентана (изооктана) в смеси 2,2,4-триметилпентана и гептана (алкан с неразветвленной цепью), которая обладает такими же детонационными характеристиками горения, как и испытуемый бензин.
Плохое моторное топливо имеет нулевое октановое число, а хорошее топливо-октановое число 100. Октановое число бензиновой фракции, получаемой из сырой нефти, обычно не превышает 60. Характеристики горения бензина улучшаются при добавлении в него антидетонаторной присадки, в качестве которой используется тетраэтилсвинец(IV), Рb(С2Н5)4. Тетраэтилсвинец представляет собой бесцветную жидкость, которую получают при нагревании хлороэтана со сплавом натрия и свинца:
При горении бензина, содержащего эту присадку, образуются частицы свинца и оксида свинца(II). Они замедляют определенные стадии горения бензинового топлива и тем самым препятствуют его детонации. Вместе с тетраэтилсвинцом в бензин добавляют еще 1,2-дибромоэтан. Он реагирует со свинцом и свинцом(II), образуя бромид свинца(II). Поскольку бромид свинца(II) представляет собой летучее соединение, он удаляется из автомобильного двигателя с выхлопными газами.
40>














