165213 (739362)
Текст из файла
МОСКОВСКИЙ ГОСУДАРСТВЕННЫЙ ТЕКСТИЛЬНЫЙ УНИВЕРСИТЕТ им.А.Н.КОСЫГИНА
КАФЕДРА ХТВМ
Курсовая работа на тему:
«Крашение натурального шелка активными бромакриламидными ланазолевыми красителями»
Работу выполнил: студент гр.26-99 Белая В.В
Научный руководитель: Балашова Т.Д.
Москва 2003 г.
Оглавление
1. Введение стр.3
2. Натуральный шелк стр.6
2.1. Фиброин стр.7
2.2. Серицин стр.12
3. Активные красители стр.15
3.1. Фиксация активных красителей волокном стр.16
3.2. Массоперенос красителя из внешней фазы к активным центрам волокна стр.18
3.3. Сорбция активных красителей волокном стр.20
3.4. Гидролиз активных красителей стр.21
4. Химизм взаимодействия активных красителей с белковыми волокнами стр.23
5. Технология крашения натурального шелка стр.27
5.1. Подготовка натурального шелка стр.28
6. Крашение натурального шелка стр.29
6.1. Бромакриламидные ланазолевые красители стр. 30
6.2. Технология крашения бромакриламидными красителями стр.32
7. Вывод стр.33
8. Литература стр.34
Введение
Красителями называются органические соединения, обладающие способностью интенсивно поглощать и преобразовывать энергию электромагнитных излучений (световую энергию) в видимой, ближних ультрафиолетовой и инфракрасных областях спектра и применяемые для придания (сообщения) этой способности другим телам.
В мае 1956 г. на заседании Лондонского общества было сделано сообщение, что фирмой ICI выпущены первые три марки нового класса активных (Procion) красителей, образующих в процессе крашения ковалентную связь с целлюлозным волокном.
Это событие ознаменовало начало бурного развития в области химии активных красителей. С их помощью оказалось возможным получать на волокнистом материале яркие и исключительно прочные к мокрым обработкам окраски.
Промышленное производство первых активных красителей начато под маркой М (mildкрасители окрашивают волокно в мягких условиях).
В 1957 г. выпускаются той же фирмой ICI активные проционовые красители с маркой Н (heatтребуют нагревания при крашении) и швейцарской фирмой Cibaцибакроновые красители.
Ассортимент активных красителей за последние годы сильно расширился и включает группы красителей, предназначенных специально для крашения целлюлозных красителей, печатания тканей из целлюлозных волокон, активные дисперсные красители для колорирования изделий из полиамидных волокон, металлосодержащие активные красители для шерсти, и т.д.
Быстрое внедрение активных красителей в технологию отделочного производства обусловлено следующими свойствами:
-
Высокая прочность окраски к мокрым обработкам, сравнимая с прочностью окрасок, получаемых при использовании кубовых красителей.
-
Яркость окрасок, не уступающая получаемым с помощью кислотных и основных красителей.
-
Сравнительно невысокая стоимость, по сравнению с кубовыми.
-
Простота и, следовательно, дешевизна технологии применения.
Неослабевающий интерес к активным красителям со стороны анилинокрасочной промышленности как производящей эти красители и текстильной промышленности как потребителя могут быть охарактеризованы числом патентов и публикаций по синтезу и применению активных красителей.
Устойчивость окраски к различным физико-химическим воздействиям зависит от природы связи красительсубстрат.
Все красители, используемые в колорировании волокнистых материалов, удерживаются на волокне межмолекулярными силами взаимодействия четырех типов: 1) водородные связи, 2) полярные и неполярные силы Ван-дер-Ваальса, 3) ионные силы, 4) координационные силы.
Применение активных красителей показало, что окраска, полученная фиксацией красителя на волокне за счет ковалентной химической связи, характеризующейся энергией разрыва 50-100 ккал/моль, будет отличаться более высокой устойчивостью к действию различных физикохимических факторов.
Исследования по окрашиванию волокон путем введения красителя в состав макромолекул волокнистого полимера велись в основном в трех направлениях.
-
Введение различными путями в состав волокнистого полимера ароматических аминов, способных диазотироваться и сочетаться с азосоставляющими, в результате чего проявляется окраска.
-
Введение в макромолекулу полимера активных группировок, способных взаимодействовать с функциональными группами красителей.
-
Синтез красителей, содержащих атомы или группы, реакционноспособные по отношению к функциональным группам волокнистого полимера.
Так, появление активных красителей было закономерно и обусловлено значительными успехами в области химии высокомолекулярных соединений, в частности химии целлюлозы и белков, а также достижениями в области синтеза красителей.
Натуральный шелк
Шелк относится к белковым волокнам, отличается от других природных волокон (хлопковых, льняных, шерстяных) отсутствием клеточного строения. Шелк обнаруживает большое сходство с искусственными и синтетическими волокнами.
Нить, отделенная от тутового шелкопряда, состоит из двух рядом лежащих нитей фиброина, покрытых снаружи и соединенных между собой шелковым клеем-серицином. Освобожденное от серицина неповрежденное шелковое волокно имеет вид гомогенной бесструктурной нити. С помощью химических и механических (раздавливание, трение) воздействий можно вызвать продольное расщипление волокна на более тонкие волоконца фибриллы.
Помимо фиброина и серицина веществ белковой природы в состав коконной нити входит небольшое количество соединений, извлекаемых эфиром и этиловым спиртом. В шелковом волокне, имеющем естественную окраску (желтую, зеленую и др.), содержится небольшое количество красящих веществ. После сжигания шелкового волокна остается немного золы. Содержание всех этих веществ непостоянно, а изменяется в довольно широких пределах, зависящих от природы шелкопряда, а также от места и условий выкормки. Так, в состав коконной нити может входить 7075 % фиброина, 2530 % серицина, 0,50,6 % веществ, извлекаемых эфиром, 1,52,5 % веществ, извлекаемых спиртом, и 11,7 % минеральных веществ.
Натуральный шелк благодаря амфотерным свойствам и способности фиксировать красители путем адсорбции окрашивается красителями многих классов: кислотными, основными, прямыми, активными, кубовыми, хромовыми.
Наибольшее применение при крашении тканей находят прямые, кислотные и активные красители.
В данной работе будет рассмотрено крашение натурального шелка активными бромакриламидными ланазолевыми красителями.
Фиброин
Строение фиброина
Фиброин относится к фибриллярным белкам. Не растворяется в обычных растворителях, растворим в этилендиаминовом растворе гидроокиси меди или в концентрированных растворах йодистого и роданистого лития. Молекулярная масса по скорости осаждения в ультрацентрифуге 84 000, по вязкости 55 000. Молекулярная масса, рассчитанная по данным определения конечных аминокислот, оказалась 84 000 100 000.
Особенностью фиброина является высокое содержание главным образом глицина и аланина, а также серина и тирозина; суммарный выход глицина и аланина из 100 г фиброина составляет 75 г.
В настоящее время первичная структура фиброина полностью не расшифрована. Решение вопроса о конечных аминокислотах усложняется трудностью удаления серицина без деструкции фиброина. В полипептидной цепочке фиброина имеются участки, в построении которых принимают участие простейшие по структуре аминокислоты. (глицин, аланин, серин), а также участки, в построении которых принимают участие и другие, более сложные, аминокислоты, входящие в состав фиброина.
В результате рентгенографических исследований обнаружена относительно высокая ориентация полипептидных цепей вдоль оси волокна; ориентированные участки составляют 4060 % его общей массы.
Более ориентированные (кристаллические) участки волокна состоят из полипептидных цепей, содержащих глицин, аланин и серин. Они построены по схеме:
Группы, расположеные в аморфных участках, более доступны действию химических реагентов, поэтому полное насыщение основных групп, какими-либо кислотами или кислотными красителями возможно без изменения ренгенограммы волокна. Наоборот, гидроксильные группы остатков серина менее доступны действию химических реагентов.
Важнейшим свойством фиброина является легкость изменений формы молекулы, связанная с особенностями его аминокислотного состава и отсутствием внутри частиц связей более стойких, чем водородные.
Другой важной особенностью фиброина является высокое содержание в нем простейших аминокислот аланина и глицина, что придает устойчивость образовавшейся -конфигурации, возможность высокой ориентации полипептидных цепей в волокне и и эффективного межмолекулярного взаимодействия.
Свойства фиброина
Набухание и растворение. Фиброин не растворим в спирте, петролейном эфире, сероуглероде и других органических растворителях. Практически нерастворим в воде, но набухает ограниченно: при температуре 18 С поперечный размер волокна увеличивается на 16-18 %, маса волокна на 30-35 %.Удлинение же нити при этих условиях равно 1,2 %.
Набухание усиливается в растворах щелочей и кислот.
В концентрированных растворах некоторых солей фиброин неограниченно набухает и образует вязкий раствор, из которого может быть регенерирован.
Фиброин легко растворяется в медно-аммиачном растворе, щелочном медно-глицериновом расворе, этилендиаминовом расворе гидроокиси меди, аммиачно-никелевом расворе, в растворе крепких кислот фосфорной, серной, соляной, дихлоруксусной и муравьиной.
Реакции фиброина. Для фиброина характерны реакции превращения, обусловленные наличием в его структуре химически активных функциональных групп. Возможно ацелирование фиброина, бензоилирование, ацетилирование. При этом в реакцию вступают гидроксильные группы и аминогруппы волокна.
Фиброин можно алкилировать.
Химические связи между смежными цепями образуются при действии на шелк формальдегида за счет участия в реакции содержащихся в боковых радикалах H2N-групп, возможно и НО-групп, а также имидных групп NH- пептидных связей.
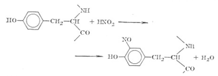
При действии азотистой кислоты происходит дезаминирование фиброина:
RNH2+ONOHROHN2+H2 O.
В реакцию вступают концевые аминокислоты полипептидных цепей и -аминогруппы остатков лизина. Одновременно происходит нитрозирование фенольных ядер остатков тирозина
При действии азотной кислоты на фиброин происходит нитрование ароматических ядер остатков фенилаланина и тирозина (ксантопротеиновая реакция на белки):
Исключение взаимодействие с HNO3.
Действие на фиброин гидролизующих реагентов. Являясь белковым веществом, фиброин обладает характерной способностью к гидролитическому распаду, который через ряд промежуточных продуктов (полипептидов) приводит к образованию аминокислот по схеме
H2O
СОNH COOH +H2O.
Уже продолжительное кипячение в воде вызывает некоторый гидролиз, резко усиливающийся в присутствии кислот и щелочей.
В 5 % NAOH фиброин растворяется при кипячении, а в концентрированной при 25 С .
кислота
H2Nшелк СООНHN+шелк COOH3NшелкCOOH
щелочь
H2NшелкСООН
К кислотам фиброин несколько более устойчив, чем к щелочам. Растворы даже сильных минеральных кислот в низких концентрациях при нагревании не оказывают заметного разрушительного действия на волокно. Это свойство используют при крашении шелка. После отварки или крашения шелк обрабатывают кислотами, в результате чего он приобретает характерный скрип, возникающий в результате трения одних волокон о другие.
В более высоких концентрациях и при высокой температуре кислоты разрушают фиброин. Концентрированная серная и соляная кислоты растворяют шелк на холоду в течении короткого времени. Более устойчив фиброин к слабым минеральным кислотам фосфорной, сернистой, уксусной, щавелевой, муравьиной.
Особенностью фиброина является его устойчивость к протеолитическим ферментам.
Отношение к окислителям и восстановителям. Соли хлорноватистой кислоты и хлор даже в растворах слабой концентрации повреждают фиброин. По аналогии с другими белками в этом случае можно ожидать образование хлораминокислот и далее кетонокислот и хлорамина.
Шелк отличается относительно низкой устойчивостью к фотохимическому окислению (разрушение на свету при действии кислорода воздуха).
Характеристики
Тип файла документ
Документы такого типа открываются такими программами, как Microsoft Office Word на компьютерах Windows, Apple Pages на компьютерах Mac, Open Office - бесплатная альтернатива на различных платформах, в том числе Linux. Наиболее простым и современным решением будут Google документы, так как открываются онлайн без скачивания прямо в браузере на любой платформе. Существуют российские качественные аналоги, например от Яндекса.
Будьте внимательны на мобильных устройствах, так как там используются упрощённый функционал даже в официальном приложении от Microsoft, поэтому для просмотра скачивайте PDF-версию. А если нужно редактировать файл, то используйте оригинальный файл.
Файлы такого типа обычно разбиты на страницы, а текст может быть форматированным (жирный, курсив, выбор шрифта, таблицы и т.п.), а также в него можно добавлять изображения. Формат идеально подходит для рефератов, докладов и РПЗ курсовых проектов, которые необходимо распечатать. Кстати перед печатью также сохраняйте файл в PDF, так как принтер может начудить со шрифтами.















