153057 (733983)
Текст из файла
Изучение возможности использования экстракта корня солодки голой как профилактического средства дизадаптации в спорте
Кандидат биологических наук, доцент Н.Г. Беляев, Ставропольский государственный университет, Ставрополь
Устойчивая адаптация к физическим нагрузкам формируется в результате многолетних тренировок и сопровождается рядом морфофункциональных изменений, расширяющих возможности организма занимающегося. При этом не только возрастает энергетическая емкость систем и их функциональных резервов, но и происходит перестройка регуляторных механизмов. В результате формируются иные взаимоотношения нервных центров, гормональных, вегетативных и исполнительных органов, необходимые для решения задач приспособления организма к конкретным видам спортивной деятельности.
В случае, когда объем тренировочных и соревновательных нагрузок превосходит возможности организма, развивается дизадаптация, характеризующаяся нарушением нейроэндокринной регуляции, перенапряжением адаптивных механизмов и компенсаторных реакций. Возможность предупреждения "срыва" адаптации во многом определяется пониманием интимных механизмов ее развития, что позволяет, используя различные фармакологические средства и изменяя методы тренировок, вносить соответствующие коррективы.
С биологической точки зрения вполне оправданно применение адаптогенов растительного и животного происхождения [1, 6, 8,16]. Перспективны в этом плане также препараты, получаемые на основе корня солодки голой [3 - 5, 7].
Критерием функционального состояния организма может служить не только уровень специальной работоспособности, но и биохимический статус организма. Представляемые результаты демонстрируют, что одним из таких компонентов может оказаться общий кальций (Са). Подобное предположение основывается на важной роли, которую Са выполняет в процессах мышечного сокращения, нервной импульсации, секреции гормонов, в том числе гормонов симпато-адреналовой и гипоталамо-гипофизарно -надпочечниковой системы [10]. Са и циклические нуклеотиды считаются главными компонентами внутриклеточной сигнальной системы во время действия гормонов, изменяющих конкретные метаболические процессы. Учитывая столь многогранную роль Са, в процессе эволюции выработались жесткие механизмы регуляции его гомеостаза [15]. Следовательно, нарушение обмена Cа нужно рассматривать как фактор риска в становлении многих патологических процессов, в том числе и состояния перетренированности.
Согласно литературным данным и результатам собственных исследований уровень Са в крови при мышечных нагрузках определяется характером, интенсивностью и продолжительностью последней. Так, начальный этап выполнения работы нетренированными животными характеризуется увеличением концентрации общего Са в крови. Затем через 30-40 мин работы уровень общего Са начинал понижаться и достигал гипокальциемических величин на 60-180-й мин бега [2, 11, 12]. Принципиально такие же результаты были получены при определении общего Са в плазме людей, выполнявших велоэргометрическую нагрузку в течение 3 ч [13]. При физических нагрузках обнаружено также увеличение ионизированного кальция (Са++) в крови нетренированных людей [18, 20]. Мы в своих предыдущих исследованиях отмечали однонаправленные изменения как общего, так и ионизированного Са в период выполнения нагрузки, а также в восстановительном периоде [2]. Однако большая часть имеющихся результатов отражает динамику кальциевого обмена при разовых нагрузках, не прослеживается его изменение в процессе становления адаптивных реакций и тем более их поломки.
Таблица 1. Схема тренировки крыс микроциклами в течение 9 недель (в минутах)
| Дни недели | Недели | |||||||||
| 1-я | 2-я | 3-я | 4-я | 5-я | 6-я | 7-я | 8-я | 9-я | ||
| Понедельник | 1 | 7 | 3 | 3 | 3 | 3 | 27 | 27 | 3 | |
| Вторник | 2 | 8 | 13 | 13 | 13 | 13 | 13 | 13 | 4 | |
| Среда | 3 | 9 | 12 | 27 | 3 | 27 | 27 | 27 | 5 | |
| Четверг | 4 | 10 | 3 | 27 | 13 | 27 | 3 | 3 | 5 | |
| Пятница | 5 | 11 | 27 | 3 | 3 | 3 | 27 | 27 | 5 | |
| Суббота | 6 | 12 | 13 | 12 | 12 | 13 | 3 | 27 | 6 | |
Примечание: 1-4-я недели - скорость бега 20 м/мин, 5-я неделя - 23 м/мин, 6-8-я недели - 25 м/мин, 9-я неделя - 20 м/мин.
Таблица 2. Динамика изменения работоспособности животных при моделировании состояния перетренированности
| Условия опыта | Дни наблюдений | ||||||||
| 1-й | 5-й | 10-й | 15-й | 18-й | 19-й | 20-й | 25-й | 30-й | |
| Продолжительность бега животных, мин контрольная группа | 40 | 90 | 140 | 190 | 203±7,8 | 175,4±6,3 | 170,1±6,4 | 89,6±5,8 | 32,8±3,6 |
| экспериментальная группа | 40 | 90 | 140 | 190 | 220 | 230 | 201,8±7,1 | 112±8,5 | 33,9±2,9 |
| Скорость движения ленты, м/мин | 20 | 25 | 30 | 35 | 38 | 39 | 40 | 30 | 25 |
С учетом этого обстоятельства целью данной работы было изучение концентрации общего Са, глюкозы, эритроцитов и белков плазмы ( общего белка, альбуминов) в процессе формирования адаптации и дизадаптации - перетренированности, а также изучение возможности использования экстракта солодки как средства, повышающего физическую работоспособность организма и предупреждающего возникновение состояния перетренированности.
Методы исследования. Экспериментальным материалом служили крысы линии Вистар, систематически выполнявшие мышечные нагрузки по методике, предложенной Ю.П. Похоленчуком [14]. В данной методике выделяются следующие этапы тренировочного цикла: I - подготовительный (1-4-я недели); II - разгрузочный (5-6-я недели); III - цикл интенсивной нагрузки (6-8-я недели); IV - цикл активного отдыха (9-я неделя). Схема тренировки представлена в табл. 1.
С целью повышения эффективности от используемых нагрузок мы внесли небольшие изменения в данную методику. В частности, во II и III циклах тренировок интенсивность нагрузки для животных была увеличена. Эксперимент проведен на предварительно подготовленных животных. С этой целью за 4-5 дней до основного эксперимента в течение 2-3 дней у животных вырабатывали условный рефлекс - бег по движущейся ленте. Для этого животных заставляли в течение 15-20 мин выполнять бег по движущейся ленте с невысокой скоростью. Животные, прекратившие передвижения по ленте, попадали на электростимулирующию решетку, роль которой заключается в выработке и подкреплении у крыс рефлекса "избегания". Тем самым формировался навык постоянного нахождения на движущейся ленте и выполнения заданной работы. Животные, у которых отмечалась низкая работоспособность или была затруднена выработка рефлекса бега по движущейся ленте, в эксперимент не включались. В том случае, если
у животных моделировалось состояние перетренированности, последний этап тренировочного микроцикла исключался. Начальная продолжительность бега для животных составляла 40 мин и затем постоянно увеличивалась при одновременном увеличении скорости движения ленты. В наших исследованиях работу подобного характера животные способны были выполнять в течение 17-20 дней (табл. 2), затем их работоспособность снижалась. Забор крови для биохимического анализа осуществлялся до начала тренировок, на различных этапах тренировочного цикла и через каждые 5 дней моделируемого состояния перетренированности. Определение концентрации общего Са осуществлялось методом тестирования [17], при подсчете эритроцитов использовалась камера Горяева. Общий белок, альбумины, глюкозу определяли с помощью прибора "Анализатор живых систем, ВТS-310" с использованием реактивов фирмы "Экомедполл", Москва.
Результаты исследования. Тренировка животных по предложенной схеме значительно повышала их работоспособность. Употребляемый экстракт корня солодки оказывался дополнительным стимулом в становлении и повышении адаптивных возможностей крыс. Так, если продолжительность бега в группе животных, находящихся на обычном пищевом рационе, возросла на 63,5%, то животных, получавших экстракт корня солодки в дозе 50 мг/кг массы тела, - на 120%.
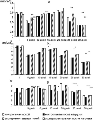
Биохимический анализ крови позволил установить следующую динамику изучаемых показателей. Концентрация общего Са в процессе тренировок повышалась. Степень гиперкальциемии коррелировала с объемом и интенсивностью нагрузок. Наиболее значительное повышение Са было отмечено в период окончания 3-го микроцикла. После 4-го, когда объем нагрузок значительно снижался, понижалась и концентрация общего Са (рис. 1 А).
Содержание эритроцитов (рис. 1 Б) в крови в процессе тренировок возрастало, уровень глюкозы (рис. 1 В) снижался в период интенсивных мышечных нагрузок.
Рис. 1. Динамика общего кальция (А), эритроцитов (Б) и глюкозы (В) на разных этапах тренировочного микроцикла.
Примечание: I - после мышечной нагрузки. Уровень достоверности отличий по сравнению с контролем: р<0,001 - *, р<0,01 - **.
Рис. 2. Влияние дозированной мышечной нагрузки на содержание общего кальция (А), эритроцитов (Б), глюкозы (В) в крови крыс.
Примечание: I - исходный уровень. Уровень достоверности отличий по сравнению с контролем: р<0,001 - *, р<0,01 - **, р<0,02 - ***, р<0,05 - ****.
В том случае, если параллельно с тренировками осуществлялось введение экстракта солодки, волнообразные изменения концентрации Са и глюкозы были незначительными, а прирост количества эритроцитов - достоверно выше. Учитывая роль Са в протекании физиологических функций в живых системах, а также в секреции катехоламинов и гормонов гипоталамо-гипофизарно-надпочечниковой системы, гиперкальциемию, возникающую как в начале однократной нагрузки, так и при интенсификации тренировочного процесса, следует рассматривать как фактор, способствующий активированию адаптивных процессов и компенсаторных реакций организма. Употребление корня солодки снижало степень напряжения компенсаторных механизмов.
Таким образом, употребление экстракта корня солодки значительно облегчает адаптации организма к мышечным нагрузкам. Дополнительным подтверждением может служить концентрация глюкозы. В период интенсивных тренировок она снижалась в крови животных, не принимавших экстракт, что свидетельствует о частичном истощении энергетических запасов в их организме. В 3-й группе колебания концентрации глюкозы были незначительными. Употребление экстракта солодки, по всей видимости, способствовало более экономному расходованию углеводов. Необходимо отметить, что большинство адаптогенов усиливает энергетическое обеспечение работающих органов, стимулируя аэробные окислительные реакции, что, в свою очередь, расширяет круг окислительных субстратов за счет использования липидов. Об усилении мобилизации липидов из жирового депо под влиянием адаптогенов свидетельствует повышение липолитической активности жировой ткани и увеличение в крови их основной транспортной формы - неэстерифицированных жирных кислот. Повышение содержания липидов и их йодного числа в печени свидетельствует об интенсивном использовании жиров работающими тканями [16].
Поступление липидов в печень имеет важное значение в энергетическом обмене, поскольку в этом органе липиды окисляются до легкоутилизируемых веществ, которые при выходе из печени используются мышцами.
0>0>Характеристики
Тип файла документ
Документы такого типа открываются такими программами, как Microsoft Office Word на компьютерах Windows, Apple Pages на компьютерах Mac, Open Office - бесплатная альтернатива на различных платформах, в том числе Linux. Наиболее простым и современным решением будут Google документы, так как открываются онлайн без скачивания прямо в браузере на любой платформе. Существуют российские качественные аналоги, например от Яндекса.
Будьте внимательны на мобильных устройствах, так как там используются упрощённый функционал даже в официальном приложении от Microsoft, поэтому для просмотра скачивайте PDF-версию. А если нужно редактировать файл, то используйте оригинальный файл.
Файлы такого типа обычно разбиты на страницы, а текст может быть форматированным (жирный, курсив, выбор шрифта, таблицы и т.п.), а также в него можно добавлять изображения. Формат идеально подходит для рефератов, докладов и РПЗ курсовых проектов, которые необходимо распечатать. Кстати перед печатью также сохраняйте файл в PDF, так как принтер может начудить со шрифтами.















