151269 (732965), страница 4
Текст из файла (страница 4)
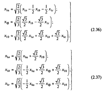
В более общем случае х1а+x1b+x1c0, и тогда приходится считаться с наличием переменных нулевой последовательности x0. В соответствии с [12] формулы прямого и обратного преобразования для этих условий имеют вид
Практически необходимость использования формул преобразования (2.36) и (2.37) возникает при строгом анализе несимметричных режимов работы симметричной трехфазной машины. При этом следует иметь в виду, что токи нулевой последовательности не влияют на момент, развиваемый двигателем, поэтому в большинстве случаев влияние переменных нулевой последовательности на динамику электромеханических систем может не учитываться.
При необходимости установления количественной связи между переменными трехфазной машины и ее двухфазной модели в статических режимах достаточно воспользоваться одним уравнением из систем (2.34) или (2.36). Для этого необходимо изображающий вектор переменной
совместить с осью модели и с совпадающей с ней осью а реальной машины, при этом х и связь между амплитудами переменных определяется первыми уравнениями систем (2.34) и (2.35):
где x1max(2ф) и x1max(3ф) – амплитуды соответственно двухфазной модели и трехфазной реальной машины.
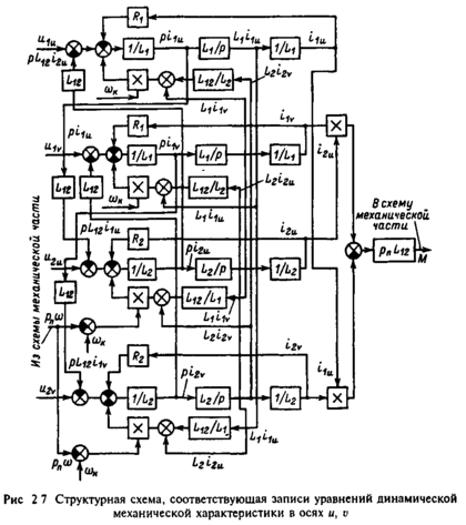
6. Структура и характеристики линеаризованного электромеханического преобразователя
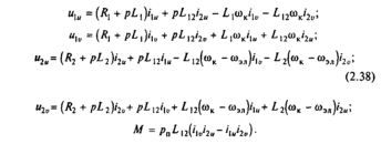
Уравнения механической характеристики двигателя с помощью выражений для потокосцеплений (2.20) можно представить в виде (здесь р=d/dt)
Уравнениям (2.38) соответствует структура преобразователя, представленная на рис.2.7. Здесь напряжения u1м, u1v, и2u, u2v есть преобразованные управляющие воздействия, связывающие двигатель с системой управления. Значение скорости вводится в структуру электромеханического преобразователя из структурной схемы механической части электропривода и отражает реальную электромеханическую связь, в результате которой развиваемый двигателем момент М зависит от условий движения механической части
Выходом структурной схемы преобразователя является электромагнитный момент М, который для механической части (см. гл. 1) представляет собой управляющее воздействие.
Анализ структуры на рис.2.7 показывает, что преобразование уравнений механической характеристики к осям м, v существенно упрощает математическое описание процессов электромеханического преобразования энергии, однако оно остается достаточно сложным в связи с нелинейностью основных связей. Нелинейности вида произведений переменных эл·ii и ii·ij практически исключают возможность получения аналитических решений, удобных для изучения динамических свойств преобразователя Поэтому уравнения (2 38) и их выражения через другие переменные используются при исследовании динамики электромеханических систем с помощью ЭВМ.
При изучении динамических свойств электромеханических преобразователей и систем электропривода используется общий прием исследования нелинейных систем - линеаризация уравнений механической характеристики. С этой целью система уравнений преобразуется к одному нелинейному уравнению, связывающему момент и скорость машины в динамических процессах, и осуществляется разложение этого уравнения в ряд Тэй-лора в окрестности точки статического равновесия. В результате преобразований линеаризованное уравнение механической характеристики приводится к виду
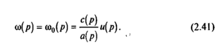
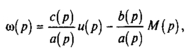
где (p), М(р), и(р) - изображения по Карсону механических переменных и управляющего воздействия; а(р), b(р), с(р) - операторные коэффициенты при соответствующих переменных.
Для получения структурной схемы линеаризованного преобразователя, аналогичной исходной схеме рис.2.7, необходимо решить уравнение (2.39) относительно момента:
Уравнение (2.40) устанавливает аналитическую связь между электромагнитным моментом машины М(р), угловой скоростью ротора (р) и управляющим воздействием и(р). Структура линеаризованного электромеханического преобразователя, соответствующая уравнению механической характеристики (2.39), представлена на рис.2.8,a. Сравнивая рис.2.7 и 2.8,a, можно наглядно представить, в какой степени упрощается анализ динамических свойств преобразователя при линеаризации.
Е
сли решить уравнение (2.39) относительно скорости можно установить, что при идеальном холостом ходе двигателя, когда М(р)=0,
И
звестно, что скорость идеального холостого хода для машин постоянного тока определяется приложенным напряжением ия(р), а для машин переменного тока - частотой приложенной системы напряжений, которой пропорциональна угловая скорость поля. Поэтому в наиболее общем виде уравнение механической характеристики линеаризованного электромеханического преобразователя может быть представлено так:
Уравнению (2.42) соответствует структурная схема рис.2.8,б. Эта структура показывает, что изменения скорости электропривода для электромеханического преобразователя являются возмущениями, определяющими изменения электромагнитного момента при данном управляющем воздействии. Передаточная функция электромеханического преобразователя по возмущению называется динамической жесткостью механической характеристики:
Динамическая жесткость механической характеристики (2.43) позволяет анализировать реакцию электромеханического преобразователя на изменения скорости во всех режимах работы на основе частотного метода теории автоматического управления. Уравнение АФХ динамической жесткости
определяет зависимость модуля динамической жесткости от частоты колебаний
и сдвиг по фазе между колебаниями момента и скорости (). Статическому режиму работы (р=0) электромеханического преобразователя соответствует модуль статической жесткости
а фаза (0)=-. В этом можно убедиться, записав (2.42) для статического режима (р=0):
Продифференцировав (2.47) по скорости, получим
Модуль статической жесткости механических характеристик электропривода р показывает, как изменяется момент двигателя при изменениях скорости, обусловленных изменениями статической нагрузки в механической части электропривода. В теории электропривода этот показатель имеет весьма важное значение, так как требования к жесткости механических характеристик в различных режимах работы определяются технологическими требованиями к электроприводу со стороны приводимой в движение машины. Частотные характеристики динамической жесткости (2.43) позволяют оценивать, в какой полосе частот для анализа режимов работы электропривода можно пользоваться статическими механическими характеристиками. Кроме того, они характеризуют точность поддержания установленных значений скорости или момента в динамических процессах работы электропривода.
Механические статические характеристики и частотные характеристики динамической жесткости в дальнейшем изложении используются в качестве основного инструмента для анализа электромеханических свойств различных двигателей и систем электропривода.
7. Режимы преобразования энергии и ограничения, накладываемые на их протекание
Режимы работы электромеханического преобразователя, возможные с точки зрения направления потоков энергии, представлены на рис.2.9.
Процессам преобразования электрической энергии в механическую, т. е. двигательному режиму преобразователя, соответствуют направления потоков мощности, показанные на рис.2.9,0. При этом поступающая из сети электрическая мощность Рс в основном преобразуется в механическую Pмех и частично теряется в виде теплоты в активных сопротивлениях и стали машины.
Электрическая машина обратима, поэтому, если подвести к ее валу механическую мощность Рмех, она может работать генератором электрической энергии параллельно с сетью, отдавая в сеть мощность - Рс. При этом часть поступающей в машину механической мощности также теряется в виде тепловых потерь РТ (рис.2.9,б). Этот тормозной режим работы двигателя параллельно с сетью иногда называют режимом рекуперативного торможения.
На рис.2.9,в показан режим работы преобразователя, при котором машина потребляет мощность как из сети, так и с вала, причем вся поступающая в машину энергия преобразуется в теплоту. Такой режим работы называется генераторным режимом последовательно с сетью или режимом торможения противовклю-чением.
Режим работы двигателя автономным генератором (не связанным с сетью) представлен схемой на рис.2.9,г. В этом режиме, называемом режимом динамического торможения, подводимая к валу механическая мощность преобразуется в электрическую и затем выделяется в виде теплоты в сопротивлениях силовых цепей и стали машины.
На рис.2.9,д показаны статические механические характеристики двигателя, соответствующие двум направлениям вращения его ротора. В первом и третьем квадрантах механическая мощность Pмех=М· положительна - эти квадранты соответствуют двигательным режимам работы электромеханического преобразователя. Во втором и четвертом квадрантах мощность Рмех отрицательна, эти квадранты определяют область тормозных режимов работы преобразователя.
Процессы электромеханического преобразования энергии сопровождаются неизбежными потерями энергии в активных сопротивлениях обмоток машин, в стали магнитопроводов, а также механическими потерями. Энергия потерь выделяется в виде теплоты в соответствующих элементах двигателя и вызывает его нагревание. Известно, что потери энергии в двигателе можно представить в виде суммы постоянных и переменных потерь. Постоянные потери РС от момента, развиваемого двигателем и соответственно от токов, протекающих по его силовым обмоткам, практически не зависят. Переменные потери Pv представляют собой потери в активных сопротивлениях силовых цепей, которые пропорциональны квадрату тока I протекающего по этим сопротивлениям. Следовательно,















