151269 (732965), страница 3
Текст из файла (страница 3)
Проверим, выполняется ли при данном координатном преобразовании уравнений обобщенной машины требование инвариантности мощности. Для упрощения записи примем u2d=u2q=0. Тогда вся мощность поступает в машину со стороны статора:
Произведем в (2.21) замену переменных с помощью формул (2.17) и получим
Таким образом, условие инвариантности мощности при рассмотренном преобразовании переменных выполняется. Воспользуемся формулами преобразования для получения удобных для использования выражений электромагнитного момента двигателя. Для неявнополюсной машины уравнение момента получим, заменив в (2.11) реальные переменные на преобразованные по формулам (2.17):
В результате преобразований (2.22) с учетом (2.20) можно получить следующие формулы для определения электромагнитного момента обобщенной машины:
В справедливости формул (2.23) и (2.24) можно убедиться, выразив с помощью (2.20) потокосцепления через токи. Таким путем после преобразований все эти формулы приводятся к полученной выше формуле (2.22).
Объединив уравнения электромеханической характеристики (2.19) с уравнением электромагнитного момента (2.22), получим математическое описание механических характеристик двигателя в осях и, v:
Рассматривая эти уравнения, можно убедиться, что переход к модели со взаимно неподвижными обмотками существенно упрощает математическое описание динамических процессов электромеханического преобразования энергии. Коэффициенты взаимной индукции и потокосцепления взаимно неподвижных обмоток (2.20) становятся независимыми от механической координаты, а движение реальных обмоток и вращение координатных осей учитываются в уравнениях электрического равновесия введением дополнительных ЭДС вращения. Значительно упрощается уравнение электромагнитного момента двигателя, в котором устраняется непосредственная зависимость от угла фэл и электромеханическая связь проявляется посредством зависимости токов и потокосцеплений обмоток от скорости двигателя.
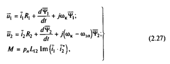
Построения на рис.2.3 свидетельствуют о возможности представления переменных обобщенной машины в комплексной форме и перехода к записи уравнений относительно результирующих векторов. Напряжения, токи, потокосцепления в (2.19) и (2.22) являются проекциями результирующих векторов, изображающих соответствующие величины, на ортогональные оси координат и, v. Если ось и принять за действительную, а ось v - за мнимую ось плоскости комплексного переменного, то изображающие векторы можно представить в виде
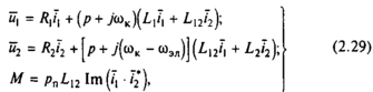
Уравнения (2.19) при комплексной записи изображающих векторов для оси и представляют собой действительную часть соответствующих комплексных уравнений статора и ротора, а для оси v - мнимую. Этому условию отвечают следующие уравнения динамической механической характеристики в комплексной форме:
где i*2 - величина, комплексно-сопряженная величине i2.
Векторы потокосцеплений могут быть выражены через результирующие векторы токов статора i1 и ротора i2:
Подставив (2.28) в (2.27), получим уравнения механической характеристики, выраженные через векторы результирующих токов статора и ротора:
где
р=d/dt.
Комплексное преобразование при эл=const дает возможность аналитическим путем исследовать зависимость момента машины от времени при электромагнитном переходном процессе и в дальнейшем изложении будет для этой цели использовано.
Рассмотренные вещественное и комплексное преобразования уравнений механической характеристики обобщенной машины в значительной степени облегчают анализ динамических режимов электропривода и во многих случаях позволяют при моделировании на ЭВМ вместо реальных переменных токов и напряжений обмоток оперировать соответствующими им после преобразования постоянными величинами. Этого в ряде случаев удается достигнуть удачным выбором угловой скорости координатных осей u, v. На практике широко используются следующие варианты выбора этой скорости.
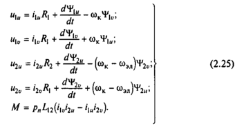
Выбор к=0 обеспечивает преобразование реальных переменных ротора, выраженных в осях d, q к неподвижным осям , , связанным со статором машины. Уравнения электромеханической характеристики в осях а, Р имеют вид
При преобразовании а, р напряжения и токи обмоток машины остаются переменными, но имеют одинаковую частоту, равную частоте тока статора.
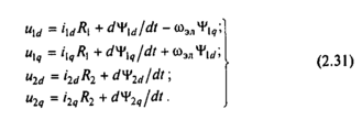
Выбор к=эл соответствует преобразованию реальных переменных машины к осям d, q, жестко связанным с ротором машины. Уравнения электромеханической характеристики в осях d, q принимают вид
Здесь также напряжения и токи являются переменными, но имеют как в роторной, так и в статорной обмотках частоту 2эл=0-эл т.е. частоту тока ротора. В синхронных машинах в статических режимах работы 0эл=эл, поэтому использование уравнений (2.31) позволяет оперировать соотношениями, аналогичными постоянному току, как показано для следующего варианта.
Если положить к=0эл, можно осуществить преобразование х, у - выражение всех переменных системы в осях х, у, вращающихся с синхронной скоростью поля машины, при этом уравнения электромеханической характеристики записываются так:
Пусть при этом к реальным обмоткам статора приложена симметричная двухфазная система напряжений:
С помощью формул прямого преобразования (2.15), положив к=0эл и фк=0эл·t, преобразуем напряжения u1, u1 в соответствующие им напряжения u1y, u1x:
Таким образом, в синхронно вращающихся осях х, у реальные переменные напряжения, приложенные к обмоткам статора, при принятой начальной фазе преобразуются в постоянное напряжение U1max=const, приложенное к обмотке, расположенной по оси х. Этот результат имеет физический смысл: вращающееся магнитное поле, создаваемое при неподвижных обмотках статора токами, вызванными напряжениями u1а, u1р, при переходе к обмоткам, вращающимся со скоростью поля, может быть создано постоянным напряжением U1max Во многих случаях при исследованиях динамики машин переменного тока возможность замены синусоидальных переменных постоянными, достигаемая преобразованием к соответствующим осям координат, существенно упрощает моделирование и анализ его результатов.
5. Фазные преобразования переменных
Из изложенного следует, что рассмотренное линейное преобразование переменных обобщенной машины имеет вполне определенный физический смысл. Переменные токи обмоток фаз обобщенной машины сдвинуты на электрический угол, равный 90°. На такой же пространственный угол смещены геометрические оси обмоток фаз, поэтому результирующая МДС вращается относительно создающих ее обмоток со скоростью, пропорциональной частоте тока.
Мгновенное положение вектора результирующей МДС определяется геометрической суммой векторов МДС соответствующих обмоток, поэтому токи этих обмоток можно рассматривать как проекции вектора результирующей МДС на их оси. Как следует из рассмотрения рис.2.3, один и тот же вектор результирующей МДС может быть создан парами как неподвижных, так и вращающихся обмоток. Формулы преобразования токов и устанавливают взаимосвязь между проекциями результирующего вектора тока на соответствующие оси а, , d, q или u, v.
Математическое описание механических характеристик получено для двухфазной модели машины. Реальные двигатели переменного тока чаще всего имеют трехфазную обмотку статора, поэтому возникает необходимость преобразования переменных трехфазной машины к переменным двухфазной модели и наоборот. Основой для такого преобразования может служить рассмотренный физический смысл координатных преобразований. Действительно, один и тот же результирующий вектор МДС может быть создан как двухфазной, так и трехфазной обмоткой, поэтому для получения формул двухфазно-трехфазных преобразований можно использовать тот же принцип, что и для получения формул координатных преобразований.
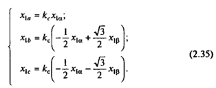
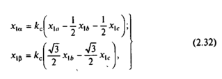
Итак, возникает задача преобразования реальных переменных x1a, x1b, х1с статора трехфазной машины к ортогональной системе координат , , т. е. к реальным переменным статора эквивалентной двухфазной машины. Решение этой задачи существенно осложняется в связи с необходимостью перехода от объекта с тремя фазами к обобщенной модели с двумя фазами, так как разница в числе фаз затрудняет выполнение условия инвариантности мощности. Учитывая это, представим реальные переменные трехфазной машины в виде векторов и будем полагать, что преобразованные переменные в осях , не равны, а пропорциональны сумме проекций реальных переменных x1a, х1b, х1с на оси , . На основании построения, показанного на рис.2.6,а, можно записать
где kc - согласующий коэффициент пропорциональности, выбор которого должен осуществляться из условия инвариантности мощности.
Рассмотрим наиболее распространенный в практике случай, когда переменные трехфазной машины подчиняются условию
С учетом (2.33) уравнения (2.32) преобразуются к виду
Переменные x2d, x2q для роторной цепи машины также определяются (2.33) и (2.34) при соответствующей замене индексов.
Формулы обратного преобразования можно получить аналогично с помощью рис.2.6,б:
При выполнении условия (2.33) третье уравнение системы (2.35) может быть получено с помощью первых двух, так как x1c=-(x1a+ x1b). Для определения согласующего коэффициента kс, обеспечивающего выполнение условия инвариантности мощности при преобразовании переменных, выразим с помощью (2.35) суммарную мгновенную мощность, потребляемую обмотками статора трехфазной машины через переменные эквивалентной двухфазной машины:
Следовательно, для выполнения условия инвариантности мощности согласующий коэффициент должен иметь значение kc =
, при этом















