151018 (732883)
Текст из файла
Реферат
по дисциплине "Теплотехнические измерения"
на тему "Термометры сопротивления и измерительные приборы к ним"
Курчатов 2008
Содержание
Введение
1. Основные сведения о термометрах сопротивления и металлах, применяемых для их изготовления
2. Платина и изготовляемые из нее термометры сопротивления
3. Медь и изготовляемые из нее термометры сопротивления
4. Никель и изготовляемые из него термометры сопротивления
5. Устройство платиновых и медных термометров сопротивления
6. Измерительные приборы для работы с термометрами сопротивления
6.1. Автоматические компенсационные приборы для работы с малоомными термометрами сопротивления
6.2. Общие сведения об автоматических уравновешенных мостах
6.3. Логометры
Заключение
Список литературы
Введение
Термометры сопротивления широко применяют для измерения температуры в интервале от — 260 до 750°С. В отдельных случаях они могут быть использованы для измерения температур до 1000°С.
Действие термометров сопротивления основано на свойстве вещества изменять свое электрическое сопротивление с изменением температуры. При измерении температуры термометр сопротивления погружают в среду, температуру которой необходимо определить. Зная зависимость сопротивления термометра от температуры, можно по изменению сопротивления термометра судить о температуре среды, в которой он находится. При этом необходимо иметь в виду, что длина чувствительного элемента у большинства термометров сопротивления составляет несколько сантиметров, и поэтому при наличии температурных градиентов в среде термометром сопротивления измеряют некоторую среднюю температуру тех слоев среды, в которых находится его чувствительный элемент.
Термометры сопротивления из чистых металлов, получившие наибольшее распространение, изготовляют обычно в виде обмотки из тонкой проволоки на специальном каркасе из изоляционного материала. Эту обмотку принято называть чувствительным элементом термометра сопротивления. В целях предохранения от возможных механических повреждений и воздействия среды, температура которой измеряется термометром, чувствительный элемент его заключают в специальную защитную гильзу.
К числу достоинств металлических термометров сопротивления следует отнести: высокую степень точности измерения температуры; возможность выпуска измерительных приборов к ним со стандартной градуировкой шкалы практически на любой температурный интервал в пределах допустимых температур применения термометра сопротивления; возможность централизации контроля температуры путем присоединения нескольких взаимозаменяемых термометров сопротивления через переключатель к одному измерительному прибору; возможность использования их с информационно-вычислительными машинами.
При измерении температуры в промышленных условиях термометры сопротивления применяют в комплекте с логометрами, автоматическими уравновешенными мостами и автоматическими компенсационными приборами. При этом необходимо иметь в виду, что эти приборы снабжают шкалой, отградуированной в градусах Цельсия, которая действительна только для определенной градуировки термометра сопротивления и заданного значения сопротивления проводов, соединяющих термометр с измерительным прибором.
1. Основные сведения о термометрах сопротивления и металлах, применяемых для их изготовления
Металлы, предназначенные для изготовления чувствительных элементов (ЧЭ) термометров сопротивления, должны отвечать ряду требований. Они должны не окисляться и обладать высокой воспроизводимостью значений электрического сопротивления в интервале рабочих температур. Выбранный металл в диапазоне применяемых температур должен иметь монотонную зависимость сопротивления от температуры R = f (t) и достаточно высокое значение температурного коэффициента сопротивления α. Этот коэффициент в общем виде может быть выражен равенством:
Температурный коэффициент электрического сопротивления принято определять от 0 до 100°С. Для этого случая выражение (1.1) принимает вид:
где R0 и R100 – сопротивления образца данного металла, измеренные соответственно при 0 и 100°С.
Известно, что сплавы обладают меньшим значением температурного коэффициента сопротивления. Кроме того, воспроизводимость свойств сплавов далеко недостаточна по сравнению с чистыми металлами. Исследования показывают, что чем чище металл (при отсутствии в нем механических напряжений), тем лучше у него воспроизводимость термометрических свойств и больше значения отношения R100/R0 и α. Поэтому чистые металлы, предназначенные для изготовления взаимозаменяемых ЧЭ термометров сопротивления, должны иметь нормированную и при этом высокую чистоту. Следует указать, что значение R100/R0, так же как и α, являются общепринятыми показателями степени чистоты данного металла и наличия в нем механических напряжений. Для снятия механических напряжений в данном металле применяют определенные режимы отжига. При этом значение отношения R100/R0, а следовательно, и температурного коэффициента сопротивления образца возрастают до их предельного значения для данного металла.
Приведенным выше основным требованиям к металлам для изготовления ЧЭ термометров сопротивления в широком интервале температур удовлетворяет платина. Если верхний предел температуры применения термометра не высок, то указанным выше требованиям удовлетворяют также медь и никель. В отдельных случаях применяют для изготовления ЧЭ термометров сопротивления, но с ограниченной областью их использования, и другие металлы, например железо, вольфрам и молибден.
2. Платина и изготовляемые из нее термометры сопротивления
Чистая платина отвечает в наибольшей степени всем основным требованиям, предъявляемым к металлам для изготовления ЧЭ термометров сопротивления. Термометры с ЧЭ из платиновой проволоки диаметром от 0,05 до 0,1 мм применяются в лабораторной и промышленной практике для измерения температуры от –260 до +750°С.
При применении платиновых термометров сопротивления для измерения температуры от –260 до –180°С необходимо иметь в виду, что в этом случае приходится измерять весьма малые сопротивления, особенно в нижней части температурного интервала. Поэтому при измерении низких температур платиновыми термометрами сопротивления необходимо применять в комплекте с ними измерительные приборы, которые позволяют измерять с высокой точностью сотые доли Ома.
Платиновые термометры сопротивления в отдельных случаях используются для измерения и более высоких температур, например, в метрологической практике до 1065°С. При этом необходимо учитывать, что платина при высокой температуре (близкой к 1000°С) начинает распыляться. Поэтому для уменьшения влияния распыления платины, а следовательно, и увеличения срока службы чувствительный элемент термометра сопротивления, предназначенный для измерения температуры до 1100°С, изготовляют из платиновой проволоки диаметром около 0,5 мм.
Чистая платина в окислительной (воздушной) среде устойчива и длительное время сохраняет свои градуировочные данные. Однако такие условия применения платины при измерении температуры в практических условиях не всегда могут быть обеспечены. Поэтому чувствительный элемент термометра должен быть надежно защищен от возможного механического повреждения, попадания влаги, загрязнения платины, губительного действия на нее восстановительных и агрессивных газов, содержащихся в среде, температуру которой измеряют термометром.
К недостаткам платины следует отнести отклонение от линейного закона зависимости ее сопротивления от температуры (рис. 2.1). Однако все другие достоинства платины в достаточной степени искупают указанный недостаток, и позволяют считать платиновый термометр сопротивления наиболее точным из числа первичных преобразователей, предназначенных для измерения температур в той же области.
Платиновые термометры сопротивления в зависимости от их назначения разделяются на следующие три основные группы: эталонные, образцовые (1-го и 2-го разрядов) и рабочие.
Термометры рабочие в свою очередь подразделяются на термометры повышенной точности (лабораторные) и технические.
Рис. 2.1. Зависимость отношения Rt к R0 для некоторых металлов от температуры
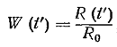
Эталонные платиновые термометры сопротивления служат для воспроизведения международной практической температурной шкалы МПТШ-68 в области температур от 13,81 (–259,34) до 903,89 (630,74) К (°С). Относительное сопротивление Wt термометра определяется по формуле
Wt = Rt / R0 (2.1)
где Rt — сопротивление термометра при температуре t, Ом; R0 — сопротивление термометра при температуре 0°С (273,15 К), Ом.
Относительное сопротивление термометра должно быть не менее 1,39250 при t = 100°С.
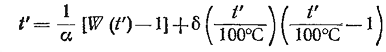
Для области от 0 до 630,74°С температуру t в градусах Цельсия рассчитывают по уравнению
где
здесь R (t') и R0 – сопротивления термометра при температуре t' и 0°С соответственно, Ом; α и δ — константы, определяемые измерением сопротивления термометра в тройной точке воды, точке кипения воды или затвердевания олова и точке затвердевания цинка.
Последнее уравнение (2.3) эквивалентно уравнению
(2.4)
где A = α(1+δ/ 100°С); B = -10-4αδ°С-2.
Для области от 13,81 (–259,34) до 273,15 (0) К (°С) температуру определяют по формуле
WT=Wст(T) + ∆W(Т) (2.5)
где WТ – относительное сопротивление платинового термометра; Wcт (Т) – относительное сопротивление, соответствующее стандартной функции.
Поправки ∆W(T) при температурах основных реперных точек получают из измеренных значений WТ и соответствующих значений Wст(T). Поправка ∆W(T) при промежуточных температурах определяют интерполяционными формулами.
До введения МПТШ-68 применялась шкала МПТШ-48. Чистота платины, из которой изготовляют эталонный термометр для воспроизведения шкалы МПТШ-48 в области от –182,97 до 630,5°С, должна быть такой, чтобы для него соблюдалось отношение сопротивлений R100/R0 ≥ 1,392.
Для интервала от 0 до 630,5°С МПТШ-48 используется интерполяционная формула
Rt = R0(1+At+Bt2), (2.6)
где Rt – сопротивление термометра при температуре t, Ом; R0 – сопротивление того же термометра при 0°С, Ом.
Для интервала от –182,97 до 0°С применяется уравнение
Rt = R0 [1 + At + Bt2 + Ct3 (t–100)]. (2.7)
Постоянные A, B и C определяются в точках кипения воды, серы (или в точке затвердевания цинка) и кислорода.
Образцовые платиновые термометры сопротивления 1-го и 2-го разрядов, применяемые от –182,97 до +630,5°С, изготовляют из чистой платины, позволяющей получить для них отношения сопротивлений R100/R0≥1,392 и R100/R0≥1,391 соответственно. Образцовые термометры 1-го разряда, поверяемые по рабочим эталонам, применяют для поверки образцовых термометров 2-го разряда, образцовых ртутных термометров, образцовых медь-константановых термоэлектрических термометров и для контроля температуры кипения или затвердевания веществ, применяемых при поверке термометров. Образцовые термометры сопротивления 2-го разряда служат для поверки рабочих термометров.
Значения сопротивлений образцовых термометров 1-го и 2-го разрядов в свидетельствах указываются с количеством значащих цифр, соответствующим точности градуировки.
Платиновые термометры сопротивления повышенной точности, применяемые для точных измерений температуры, изготовляют из той же платины, что и образцовые термометры. В зависимости от требований, предъявляемых к точности измерения температуры, термометры сопротивления повышенной точности поверяются по методике поверки образцовых термометров 1-го или 2-го разрядов.
Для области температур от 13,8 до 273,15 K применяют образцовые платиновые термометры ТСПН-1 (погрешность ±0,01 К). Изготовляют также для указанной области температур платиновые термометры повышенной точности ТСПН-2А и ТСПН-Б, различающиеся между собой защитными гильзами, в которых находятся чувствительные элементы.
Для измерения низких температур в области от –260 до +250°С изготовляют платиновые термометры повышенной точности типа ТСП-4050 и ТСП-8003, пределы допускаемой погрешности которых ±0,2°С, а также типа ТСП-9003 и ТСП-8004, погрешность которых лежит в пределах от –0,05 до +0,1°С.
Характеристики
Тип файла документ
Документы такого типа открываются такими программами, как Microsoft Office Word на компьютерах Windows, Apple Pages на компьютерах Mac, Open Office - бесплатная альтернатива на различных платформах, в том числе Linux. Наиболее простым и современным решением будут Google документы, так как открываются онлайн без скачивания прямо в браузере на любой платформе. Существуют российские качественные аналоги, например от Яндекса.
Будьте внимательны на мобильных устройствах, так как там используются упрощённый функционал даже в официальном приложении от Microsoft, поэтому для просмотра скачивайте PDF-версию. А если нужно редактировать файл, то используйте оригинальный файл.
Файлы такого типа обычно разбиты на страницы, а текст может быть форматированным (жирный, курсив, выбор шрифта, таблицы и т.п.), а также в него можно добавлять изображения. Формат идеально подходит для рефератов, докладов и РПЗ курсовых проектов, которые необходимо распечатать. Кстати перед печатью также сохраняйте файл в PDF, так как принтер может начудить со шрифтами.















