kontakt (731953), страница 5
Текст из файла (страница 5)
тырьмя выводами для того, чтобы можно было осуществить его включение в цепь двух-, трех- или четырехпроводной линией. Платиновые термометры могут в одном корпусе содержать два терморезистора, выходные величины которых используются в различных целях. Для специальных применений выпускаются также малогабаритные термометры сопротивления.
По величине сопротивления при О°С (R0) промышленные платиновые термометры изготавливаются трех типов: с R0 = 10 Ом (обозначение градуировки — гр. 20), с R0 = 46 Ом (гр. 21) и с R0 = 100 Ом (гр. 22). Первые предназначены для измерения температур от 0 до + 650 °С, термометры же градуировок гр. 21 и гр. 22 применяются для измерения температур от — 200 до + 500 °С. Медные термометры выпускаются с R0 = 53 Ом (гр. 23) и с R0 = 100 Ом (гр. 24) и применяются для измерения температур от — 50 до + 180 °С. Градуировочные характеристики термометров приведены в табл. 9. В этой таблице указаны значения температуры Θ в градусах Цельсия и сопротивления термометров различных градуировок в омах. Для термометров градуировки гр. 20 сопротивления при всех температурах в 10 раз меньше, чем для термометров градуировки гр. 22.
Таблица 9
| Обозначениеградуирорки | Температура Θ, °С | ||||||||||
| -200 | - 150 | -100 | -50 | -20 | 0 | 20 | 40 | 60 | 80 | ||
| гр. 21 | 7,95 | 17,85 | 27,44 | 36,80 | 42.34 | 16,00 | 49,64 | 53,26 | 58,86 | 60,43 | |
| гр. 22 | 17,28 | 38,80 | 59,65 | 80.00 | 9204 | 100,00 | 107,91 | 115,78 | 123,60 | 131,37 | |
| гр. 23 | — | — | — | 41,71 | 48,48 | 53,00 | 57,52 | 62,03 | 66,55 | 71,06 | |
| гр. 24 | — | — | — | 78.70 | 91,48 | 100.00 | 100,00 | 117,04 | 125,56 | 134,08 | |
| Обозначениеградуировки | Температура Θ, oС | ||||||||||
| 100 | 120 | 150 | 180 | 200 | 300 | 400 | 500 | 600 | 650 | ||
| гр. 21 | 63,99 | 67,52 | 72.78 | 77,99 | 81,43 | 98,34 | 114,72 | 130,55 | 115,85 | 153,30 | |
| гр. 22 | 139,10 | 116.78 | 153,21 | 169.54 | 177 | 213,79 | 249,38 | 283,80 | 317,06 | 333.25 | |
| гр. 23 | 75,68 | 80,09 | 86,87 | 93,64 | — | — | — | — | — | — | |
| гр.24 | 142.60 | 151,12 | 163,90 | 176,68 | — | — | — | — | — | — | |
Инерционность термопар и термометров характеризуется их постоянной времени Т, определяемой как время, необходимое Для того, чтобы изменение выходной величины преобразователя, перенесенного из среды с температурой 30—35 °С в сосуд с интенсивно перемешиваемой водой с температурой 15—20 °С, достигло 63% от установившегося значения перепада. Различают термопары и термометры сопротивления малоинерционные (Ттп < 40 с для термопары и Ттс < 9 с для термометра), средней инерционности Ттп < 60 с, Ттc < 80 с), большой инерционности (Ттп < 3,5 мин, Ттc < 4 мин) и ненормированной инерционности.
2. Методы контактных электроизмерений различных диапазонов температур.
2.1. МЕТОДЫ КОНТАКТНЫХ ЭЛЕКТРОИЗМЕРЕНИЙ
СВЕРХНИЗКИХ ТЕМПЕРАТУР
К сверхнизким, или «гелиевым», температурам относятся температуры, получаемые с помощью жидкого гелия (температура кипения около 4 К). Специфика методов измерения температур ограничивает этот диапазон значениями от 0 до 10 К.
Существующие методы контактного измерения сверхнизких температур распространяются лишь на отдельные участки этого диапазона. Так, для измерения температур от 1 до 4 К используются терморезисторы из фосфористой бронзы с мелкими включениями свинца. Свинец при температуре около 4 К переходит в состояние сверхпроводимости, и сопротивление терморезистора изменяется. Такие терморезисторы имеют максимальную чувствительность при температурах от 1,5 до 4 К, но их показания зависят от величины рабочего тока, протекающего через терморезистор, и внешних магнитных полей.
Для измерения температур ниже 1 К используются методы магнитной термометрии, основанные на зависимости объемной магнитной восприимчивости ряда парамагнитных солей от абсолютной температуры , описываемой законом Кюри—Вейсса: = С/( ‑ ), где С и — постоянные, характерные для используемой соли.
Термометр, осуществленный по этому принципу, представляет собой катушку индуктивности, внутри которой в достаточно однородном поле размещен образец из меднокалиевых или железоалю-миниевых квасцов. Катушка включается в мостовую цепь, и изменение температуры, вызывающее изменение . образца, приводит к изменению индуктивности катушки, пропорциональному измеряемой температуре.
Для измерения температуры выше 4 К используются термошумовые термометры. Область их применения простирается до 1300 К, и поэтому они описаны в следующем параграфе.
Основной трудностью при измерениях в области сверхнизких температур, кроме осуществления теплового контакта термометра и объекта измерения, являются методы градуировки используемой аппаратуры.
В диапазоне температур от 1 до 4 К базовым прибором для воспроизведения температурной шкалы является гелиевый газовый термометр. Примером такого термометра может служить прибор, созданный во ВНИИФТРИ и имеющий строго постоянный объем, давление в котором, изменяющееся линейно с температурой, измеряется точным мембранным манометром. Кроме того, в диапазоне температур от 1 до 5 К используются конденсационные термометры в основе которых лежит хорошо изученная зависимость давления насыщенных паров жидких газов от температуры. Точность, достигаемая при измерениях температуры с помощью конденсационных термометров, весьма велика. Так, при использовании жидкого гелия погрешность измерения не превышает 0,002 К.
Осуществление градуировки термометров в диапазоне температур от 4 до 10 К производится интерполяцией показаний платинового термометра, для чего используются угольные терморезисторы изготовленные из специально обработанного каменного угля. Используя эмпирические зависимости сопротивления от температуры в области выше 14 К и ниже 4 К и производя интерполяцию внутри этого диапазона температур, получают выражения, описывающие • температурную зависимость сопротивления угольных термометров для температур от 1 до 14 К, которая обеспечивает определение температуры с погрешностью, не превышающей ±:0,1К. При этом следует иметь в виду, что угольным терморезисторам свойственна сильная нестабильность, поэтому градуировку производят перед каждым измерением.
Для измерения сверхнизких температур от 4 до 14 К также применяются германиевые терморезисторы.
2.2. МЕТОДЫ КОНТАКТНЫХ ЭЛЕКТРОИЗМЕРЕНИЙ
НИЗКИХ ТЕМПЕРАТУР
Термин «низкие температуры» не имеет строго установленного значения. Обычно в понятие «низкие» включают область температур от 10 до 800 К. Для измерения таких температур используются металлические и полупроводниковые терморезисторы, термопары или термобатареи, описание принципов действия, электрических схем и погрешностей которых было дано в п. 1.
Достаточно точное измерение температур в диапазоне от 4 до 1300 К может быть основано на зависимости шумового напряжения Uш на резисторе R от температуры Средний квадрат напряжения шума по формуле Найквиста
, где k = 1,38∙10-23 Дж/К — постоянная Больцмана; f —полоса воспринимаемых частот. Практическая реализация метода заключается в сравнении шумов двух идентичных резисторов,один из которых находится при известной, а другой — при измеряемой температуре. Сравнение шумов резисторов осуществляется двумя методами: либо по величине шумового напряжения (усиленного и выпрямленного), если уровень шумов достаточно высок, что соответствует температуре выше 500 К, либо по числу шумовых импульсов — для более низких гемператур.
В первом случае датчик термометра выполняется из платиновой проволоки диаметром 2,5 мкм с платиновым экраном толщиной 50 мкм в кварцевой оболочке. Использование такого термометра позволяет производить достаточно точные измерения температуры (погрешность измерения = 1000 К составляет 1%). Во втором случае датчиком служит резистор типа УЛИ, МЛТ или БЛП, так как для увеличения уровня шума собственная емкость датчика должна быть минимальной, ибо она ограничивает частотную полосу шума f. В практических конструкциях ее величина не превышает 3 пФ.
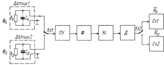
На рис. 12 приведена структурная схема импульсного термо-шумового термометра. Шумовое напряжение на резисторе Rx,находящемся при температуре х, включенном во входную цепь предусилителя ПУ, пропускается через полосовой фильтр Ф, усиливается до уровня 10 В и подается через дискриминатор Д на частотомер, измеряющий число шумовых импульсов. Шумовое напряжение от второго резистора Ro, находящегося при известной температуре
Рис. 12
Θ0, подается на ту же измерительную цепь (поочередно с напряжением от датчика). Переключение каналов производится ключами Кл1 и К.л2 через 25 с. Если значения сопротивлений резисторов подобраны таким образом, что R0Θ0 ≈ RхΘх, то показания
счетчиков Сч1 и Сч2 частотомера при работе обоих каналов будут близкими и измеряемую температуру можно найти как Θx = (Ro/Rx) Θо + δ, где δ = k (
).
Термометры ядерного квадрупольного резонанса (ЯКР) основаны на взаимодействии градиента электрического поля кристаллической решетки и квадрупольного электрического момента ядра, вызванного отклонением распределения заряда ядра от сферической симметрии. Это взаимодействие обусловливает прецессию ядер, частота которой называется частотой ЯКР, зависит от градиента электрического поля решетки и для различных веществ имеет значения от сотен килогерц до тысяч мегагерц. Градиент электрического поля решетки зависит от температуры, и с повышением температуры Θ частота ЯКР понижается.















