146532 (729912), страница 3
Текст из файла (страница 3)
10







В
ИП
1с
2с
п/ст “б”
ТДН-10000/110
п/ст “д”
ТДН-40000/110
п/ст “г”
п/ст “а”
П/ст “в”
ТДН-16000/110
Рис. 4.1.а Схема электроснабжения по варианту 1
ариант 1
ТРДН-40000/220
ТРДЦН-100000/110
В
11









ИП
1с
2с
п/ст “б”
ТДН-10000/110
п/ст “д”
ТДН-40000/110
п/ст “г”
ТРДЦН-100000/220
п/ст “а”
П/ст “в”
ТДН-16000/110
Рис. 4.1.б Схема электроснабжения по варианту 2























ТРДН-40000/220



п/ст “а”
ТРДН-40000/110
п/ст “в”
ТРДН-25000/110
п/ст “г”
ТДН-16000/110
П/ст “б”
ТРДН-25000/110

























12
С
14
иловые выключатели по стороне низкого напряжения на подстанциях схем всех вариантов смонтированы в ячейках КРУ с выкатными элементами (на схемах не показаны). Для увеличения надежности трансформаторы подстанций ГПП схем всех вариантов подключены к разным секциям источника питания.При разработке схем предполагается, что мощность источника питания достаточна для покрытия нагрузок района и вопросы поддержания частоты не рассматриваются.
Проведем сравнение вариантов по упрощенным показателям. Проанализируем длины трасс, цепей и суммарный момент активной мощности. Результаты представлены в таблице 4.1.
Таблица 4.1. Сравнение вариантов по упрощенным показателям
Вариант | Длина трасс,км | Длина цепей,км | Суммарн. момент мощности, Мвткм |
1 | 196 | 233 | *** |
2 | 139 | 278 | 3151 |
3 | 161 | 322 | 3481 |
Для варианта 1 значение суммарного момента мощности не имеет физического смысла. Как следует из таблицы 4.1. схема варианта 2 имеет лучший показатель момента мощности по сравнению со схемой варианта 3.
Установим распределение потоков мощности в элементах сети для каждого из вариантов с учетом потерь мощности .
Рассмотрим отдельно схему кольца в варианте 1. Развернутая схема замещения изображена на рис.4.2.
ИП
lИП-а=50 км
r0 x0
Sa Sв Sг
lа-в=27 км
lв-г=40 км
lг-ИП =42 км




SИП-а
Sа-в
Sв-г
Sг-ИП
ИП
Рис.4.2. Развернутая схема замещения кольца по варианту 1
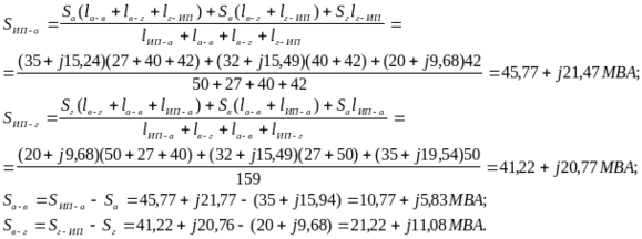
Определим приближенное потокораспределение в кольце с целью выявления точки потокораздела.
Расчеты показывают, что п/ст “в” является точкой потокораздела мощности.
Проверим правильность определения точки потокораздела мощности на головных линиях кольца по условию:
Определим мощность, поступающую с шин электростанции с учетом потерь мощности. Для этого ”разрежем” кольцо в точке потокораздела ( см. рис 4.3).
S’ип-а
S’а-в
S’в-г
S’’г-ип
S’’ ип-а
S’’а-в
S’’в-г
S’г-ип
15
r0 x0










в’ в’’
ИП
ИП
Sa Sв Sг
Р





lИП-а=50 км
lа-в=27 км
lв-г=40 км
lг-ИП=42 км



На рисунке 4.3. имеют место следующие обозначения:
S ‘ - мощность в начале линии;
S" - мощность в конце линии.
Нагрузки в узлах “в” и “в ” равны
Определим потоки мощности в линиях схемы с учетом потерь.
Потери мощности в линии определяются по формуле
где P - активная составляющая мощности в конце линии, МВт;
Q - реактивная составляющая мощности в конце линии, МВАр;
Uном - номинальное напряжение линии, кВ;
r0 = 0,2 Ом/км - усредненное активное сопротивление линии (по [1]);
x0 = 0,42 Ом/км - усредненное реактивное сопротивление;
l - длина линии, км.
Мощность в начале линии определяется как
Потоки мощностей с учетом потерь для линий ИП-б и ИП-д определяются аналогично.
В двухцепных линиях потоки мощности вначале линии определяем на одну цепь для последующего расчета тока и сечения провода (т.е. предполагая, что на одну цепь двухцепной линии приходится половина передаваемой мощности).
Зарядную мощность линий на данном этапе проектирования не учитываем, т.к. нам неизвестны марка проводов и удельные реактивные проводимости линий b0 .
Р
16
езультаты расчетов потоков мощностей для схем всех вариантов приведены в таблице 4.2.Таблица 4.2. Расчет потоков мощностей с учетом потерь для схем всех вариантов
Вариант | Участок сети | Мощность в конце линии S, МВА | Мощность в начале линии S, МВА | Потери мощности S, МВА | |||
Акт. cоставл. | Реакт. cоставл. | Акт. cоставл. | Реакт. cоставл. | Акт. cоставл. | Реакт. cоставл. | ||
ИП-а | 45,83 | 21,71 | 47,93 | 26,17 | 2,1 | 4,46 | |
а-в | 10,77 | 5,83 | 10,837 | 5,97 | 0,067 | 0,14 | |
в-г | 21,22 | 11,08 | 21,6 | 11,87 | 0,37 | 0,79 | |
I | ИП-г | 41,22 | 20,76 | 64,46 | 37,34 | 3,24 | 6,8 |
ИП-б | 30,0 | 12,77 | 30,77 | 13,76 | 0,47 | 1,0 | |
ИП-д | 80,0 | 29,03 | 81,2 | 31,54 | 1,19 | 2,51 | |
ИП-а | 35,0 | 15,94 | 36,2 | 18,48 | 1,21 | 2,55 | |
ИП-д | 80,0 | 29,03 | 81,2 | 31,54 | 1,19 | 2,51 | |
II | ИП-б | 82,0 | 37,94 | 85,6 | 45,58 | 3,63 | 7,64 |
б-в | 32,0 | 15,49 | 32,56 | 16,6 | 0,56 | 1,18 | |
5.Технико-экономическое обоснование вариантов. Выбор и обоснование оптимального варианта электрической сети.
Данный раздел проекта является основным. Из отобранных по результатам предварительного анализа трех вариантов необходимо выбрать наивыгоднейший.
Определим сечение проводов ЛЭП. Для электрических сетей и линий электропередач до 220 кВ включительно оно выбирается по экономической плотности тока jЭК (по табл. 8 [1]) из соотношения
где - расчетный ток соответствующий максимуму нагрузки, в нормальном режиме работы;
S - мощность в начале линии.
П
17
о таблице 8 [1] определяем значения экономической плотности тока для каждой из подстанцийjэка = 1,1 А/мм2;
jэкб = 1,0 А/мм2 ;
jэкв = 1,1 А/мм2;
jэкг = 1,0 А/мм2;
jэкд = 1,1 А/мм2.
Определим расчетные токи и сечения проводов линий для каждого из вариантов схем электрических сетей (по [4]). Результаты расчетов сведены в таблицу 5.1.